意见领袖 | 蒋飞、刘畅
►►►核心观点
在以前DSGE模型讨论财政政策的文章里,我们均没有讨论到物价在其中的作用。这里存在着一个区别于李嘉图等价理论的现代观点——价格的财政决定理论(FTPL)。该理论是对应“通货膨胀是货币现象”货币数量理论的,其认为在宏观调控中财政政策占主导,经济波动和物价走势均由财政支出的活动来决定,货币政策只是起到配合和协助作用。
本文基于Leeper(1991)的理论模型将财政政策和货币政策区分为主动(积极)和被动(消极),通过DSGE模型将李嘉图等价理论和FTPL分类到其中的两种组合。FTPL是积极的财政政策和消极的货币政策组合。
通过比较可以发现,FTPL模型(a=1,γ=0.01)让货币政策接近失效(a<1就会失效),财政纪律临近缺失(γ越小、债务越失控),债务容易发散增长,通胀持续上行。泰勒规则要求a>1,这样央行才有能力控制通胀,不让货币脱锚;γ>r-g(实际利率-经济增速,这里实际利率=1/β-1=0.0101⋯,经济增速g=0),这是财政纪律的保障,也是财政可持续性的要求。而这个就是李嘉图等价模型。因此最佳的政策组合就是积极的货币政策和审慎的财政政策。
正文
在前面DSGE模型讨论财政政策的文章里,我们均没有讨论到物价在其中的作用。这里存在着一个区别于李嘉图等价理论的现代观点——价格的财政决定理论(FTPL)。该理论是对应“通货膨胀是货币现象”货币数量理论的,其认为在宏观调控中财政政策占主导,经济波动和物价走势均由财政支出的活动来决定,货币政策只是起到配合和协助作用。
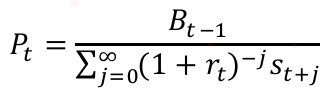
所以FTPL认为,政府的跨期预算约束在一般均衡中不是一个必须恒成立的会计恒等式,而是一个均衡条件,通过价格水平𝑃𝑡的调整来实现。政府不承诺通过未来税收完全偿付当前债务,债务的价值取决于市场对其实际价值的认可。即使按照未来财政盈余的折算现值会低于当前政府债务的价值,财政也不会崩溃,反而会通过通货膨胀的方式缩减当前政府债务价值,使之达到平衡。相反,如果以财政稳定为目的减少财政赤字,物价水平就会下跌并导致通货紧缩。
这就相当于在《财政支出与居民消费的关系(下)》里第一个无资本模型中,将实际政府预算函数变成名义政府预算函数:
由

变为:

其中𝐵𝑡 =𝑃𝑡𝑏𝑡,由此可以推导:

这就是FTPL理论的核心公式。
一战给法国带来了严重的创伤,为了打赢战争,法国背负了巨额的债务。1919年举行巴黎和会时,法国债务大约是2000亿法郎,年利率为4%,每年的利息支出为80亿法郎。但当时法国政府和国民的偿付能力综合为32亿法郎,不足以支付利息。不得已,法国政府只能用通胀来稀释债务,通胀的上升又导致利率的回升,当市场利率升至6%时,法国债务达到平衡。根据FTPL定理,此时法国物价应上涨3.75倍(2000亿*6%/32=3.75)。我们用法国货币来验证一下,1919年时法郎还可兑换0.15美元,但恶性通胀会将其贬值到0.04(0.15/3.75=0.04)。实际上,1926年时法郎兑美元的汇率确实是0.04。为了偿还高的离谱的债务,不得不超发货币,让通胀每年增长21%。
更为极端的案例是它的邻国德国,战争已经让德国政府背负了繁重的债务,1918年政府债务超过1000亿马克,比战争初期的52亿相比增长了20倍。但战败的赔款让德国的负担又增加了1320亿马克,并且要求每年偿还20亿,66年还清。这一要求明显超过了德国的偿付能力,1921年德国政府仅能支付10亿马克,到1922年赔偿还未支付完,政府就已经无法运转。不得已,德国央行疯狂印钞:1923年货币供应量从4月的8.6万亿马克飙升至11月的400万亿兆马克,直接让债务清零(

,当p无限大的时候,实际债务余额趋于0),但国家也已经破产。
这些都是极端的案例,却天然的为验证FTPL理论提供了试验场。难以偿还的债务,相当于一个苛刻的财政政策,货币政策要为其服务,必然会造成赤字货币化。现实中不会突然出现难以偿还的债务,更可能的是债务不断地增长,直到突然一次经济危机,国家丧失了偿债能力。这也为我们考察以财政为主导的政策对通货膨胀的影响提供了模板。
我们以Leeper(1991)的模型为基础,探讨FTPL理论的影响。该模型政策分为“主动”和“被动”,其区别在于对通胀和政府加杠杆的响应程度。
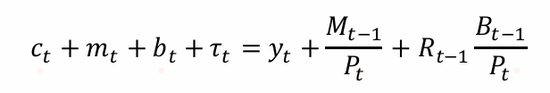
假设一个无限期生存的代表性消费者每期获得的收入为y,其中政府征用g来采购商品和服务,剩余的c全部用于消费。这是一个典型的无资本模型和MIU模型(Money-in-Utility),消费者的最大化效用函数为:

其中𝛽为贴现因子,𝑚𝑡为实际货币余额,是名义货币余额𝑀𝑡和价格水平𝑃𝑡的比值。这个效用函数并非中国目前实际的效用函数,本文主要用于模型推研。
消费者预算条件为

其中,𝐵𝑡和𝑏𝑡为名义债券量和实际债券量,𝑅𝑡为总无风险回报率,𝜏𝑡为人均税负。
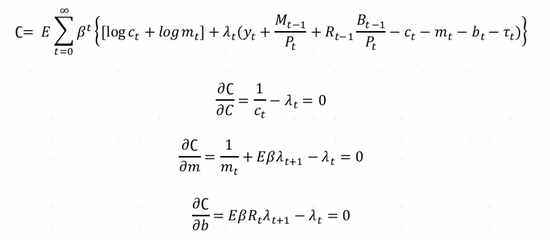
根据家庭效用最大化的拉格朗日函数:

由此可得:

由此,我们就得出了货币政策和财政政策的偏离方程,根据对𝜋̂𝑡−1和𝑏 ̂𝑡−1系数的分析来判断货币政策对通货膨胀、财政政策对政府债务的反应程度,继而可以判断谁主动、谁被动。
在这里,货币政策关注的系数就是𝑎𝛽,财政政策关注的系数就是


>1,财政政策是主动的和积极的,反之是被动的和消极的。货币政策的主动反映的是其能够主动控制物价,让通货膨胀不发生或者发生之后可以逐渐控制住,因此其被动的意思就是任其发展;财政政策的被动反映的是其对债务融资的发生都会承诺未来提高税收用于偿还,因此其主动的意思就是无节制的举债或赤字。
,如果𝑎𝛽>1,则货币政策是主动的和积极的,反之是被动的和消极的;
两种政策和两种状态就组成了四个政策组合,(1)货币政策积极、财政政策消极;(2)货币政策消极、财政政策积极;(3)两者均积极;(4)两者均消极。其中只有(1)和(2)才能让经济经受住冲击,重新回到之前的稳定状态;而(3)和(4)存在不确定性,可能无法让经济稳定下来。
FTPL 理论就是这四个组合里的其中一个,也即财政政策是主动的,而货币政策是被动的。用经济术语来说,也就是这种政策组合下,积极的财政政策通过举债和赤字来扩张信用,而未来并不准备偿还;由此带来的通胀压力交给货币政策处理,而消极的货币政策并不准备控制通胀,而是放任其发展,由此带来通胀的大行其道。
下面我们将通过DSGE模型来模拟一下各政策组合的效果。
本文基于上述理论建立的DSGE模型,全部使用八个模型函数,分别是:

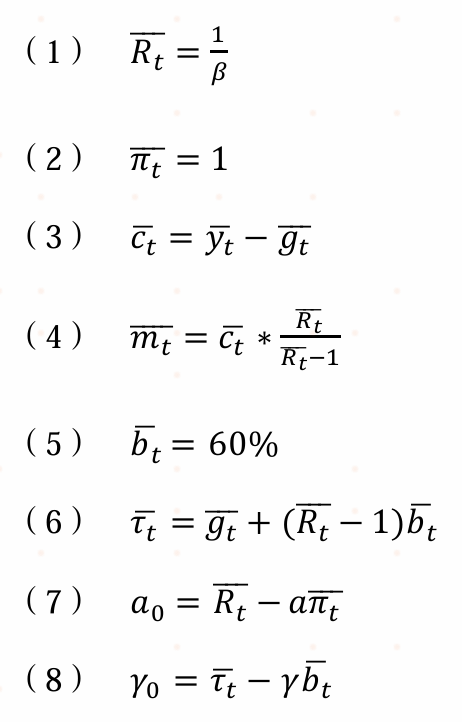
在经济达到稳态时,各变量分别为:

其中,我们将平衡状态下的产出y设为1,g为产出的20%,也即0.2,那么稳态时c就为0.8。同时,我们假设稳态时政府债务率为60%。
首先,我们选择政策组合(1)积极的财政政策和消极的货币政策。(假设a=1,𝛽=0.99,γ=0.01)

从图中我们可以看出,财政冲击带来的通胀上升幅度并不明显,但其消退的时间却很漫长,要等到400个时间单位才消失为零。虽然货币供给量已经大幅收缩,利率也同等幅度的上升,仍然无法快速的控制通胀。
如果我们将冲击性质从临时转变持续,通胀上升的幅度加大了,但控制的时间并未改变。

如果我们比较财政冲击和货币冲击,可以发现赤字货币化会让通胀大幅增加。(系统中的货币冲击是指利率上升,而赤字货币化对应的是利率降息,所以𝜋𝑡会大幅上升)这就证实了在财政政策占主导的情境下,被动的货币政策会让通胀大幅上行,验证了FTPL理论的存在。

其次,我们再分析一下政策组合(2)消极的财政政策和积极的货币政策。(假设a=1.5, β =0.99,𝛾 =0.1)

从上图可以看出,财政冲击对𝑅𝑡、𝑚𝑡、𝜋𝑡几乎没有影响,这正好反映了李嘉图等价理论的内容。由于货币反应系数较高,控制住了通胀,对冲了财政冲击。而财政反应系数也较高,让减税的影响很快消失掉。

货币冲击带来的结果既在金融指标,也能在政府层面上产生影响,突然的加息会大幅缩减物价,然后就是转向宽松货币政策,让各经济指标逐渐回归稳态。税收出现了三个阶段的波动,先减少,后增加,最后再减少。这就是政府在应对货币供应量变化以及政府债务变化过程中被动的表现。
最后,我们再比较(a=1.5,𝛾= 0.01)和(a=1,𝛾 =0.1),DSGE模型均得不到稳态值,无法给出脉冲效果图。
通过比较可以发现,FTPL模型(a=1,𝛾 =0.01)让货币政策接近失效(a<1就会失效),财政纪律临近缺失(𝛾越小、债务越失控),债务容易发散增长,通胀持续上行。泰勒规则要求a>1,这样央行才有能力控制通胀,不让货币脱锚;𝛾>𝑟−𝑔(实际利率-经济增速,这里实际利率=1/𝛽 −1=0.0101⋯,经济增速g=0),这是财政纪律的保障,也是政府债务可控的要求。而这个就是李嘉图等价模型。因此最佳的政策组合就是积极的货币政策和审慎的财政政策。
如果私人部门的债务已经高到无法还清,利率降至零,需求都没出现怎么办呢?根据以往的分析,政府只有通过非常规货币政策+积极的财政政策来刺激经济。在流动性陷阱下,名义利率降为0,也即R=1,常规模式下的模型不再适用:

公众在长期通缩的预期下,愿意持有任意数量的货币供给量。
下面我们将DSGE模型修改为:

其中h为连接货币供给增速与通胀的系数,在流动性陷阱中,货币需求无限大,平衡值将由货币供给决定,因此货币需求函数失效,模型取决于货币供给规则。流动性陷阱发生的原因是在于长期通缩,也即通胀预期等于消费者的主观贴现率(此时名义利率为0),实际货币需求量等于通胀预期,也即所需货币是不断减少的。由于利率为零,政府债务也无利息需要支付,稳态时债务将不再增长,所以财政支出等于财政收入。
此时的稳态值:

在进行脉冲响应之前,我们必须指出,在该系统中𝛾必须小于 0,也即在流动性陷阱中,政府只能增加支出或减税,不可能再实施紧缩性政策,否则经济会螺旋式收缩下去,达不到稳态值。除此之外,其他指标与上文一致。
根据以上内容,进行DSGE模型构建,并对财政支出和货币供给增加进行模拟分析,结果如下:

由上图可以看出,减税可以带来物价的回升,由于稳态机制,税率会回升以降低新增的债务,在这个过程物价再次回到稳态值。我们再分析一下如果持续减税,物价是否能够保持增长呢?由下图可以看到,物价并不能保持增长,新增的政府债务和之后的加税却能保持较长时间。

我们再比较一下突然增加货币供给量会发生什么情况?

由上图可以看出,货币供给量的增加还是可以提高物价的,所以通胀目标制+长期财政刺激是走出长期通缩的重要政策组合。当然为了维持物价持续上涨,在达到通胀目标之前,政府不能让经济处于当前限制的稳态系统内,也即不得不牺牲𝑏𝑡 ̅ 和𝑚𝑡 ̅。政府债务率会持续上升,货币供给余额也不断增长,这其实也是FTPL现象的一种。
价格的财政决定理论(FTPL)是一种区别于货币数量理论的物价决定理论,在世界经济史上发生过或大或小的这类现象,一战之后的欧洲发生过赤字货币化引发的恶性通胀现象,就属于这一理论。这两个理论的区别在于货币政策的反应系数和财政政策的反应系数,不同的系数组合就造就了不同的物价决定体系。
根据 Leeper(1991)模型,𝑎𝛽 >1,是货币政策主动和积极的表现;

,是财政政策主动和积极表现。但在实践中,𝑎>1和𝛾>𝑟−𝑔才是两个政策均积极的表现。货币政策积极的表现是其控制通胀的能力,财政政策积极的表现是其降低债务的能力,所以这与我们俗称的积极的货币政策和财政政策是相反的。
价格的财政决定理论(FTPL)是积极的财政政策和消极的货币政策,而李嘉图等价理论是消极的财政政策和积极的货币政策。FTPL 处于失控的边缘,在双积极和双消极的政策组合下经济很容易失去控制。这也是宏观杠杆率持续上升的原因。从长远利益来说,李嘉图等价理论是最优选择。
风险提示
国内宏观经济政策不及预期;数据提取不及时;财政政策、货币政策超预期;模型假设 较现实条件更严格;模型本身与真实世界存在偏差的风险。
(本文作者介绍:长城证券宏观经济学家)