文/余永定
“消费驱动”的增长方式并不存在
关于“消费驱动”这一说法,谈论最多的是美国经济学家。一位著名美国经济学家声称,中国长期以来“投资驱动”的增长方式使中国经济濒临金融危机的边缘;另一位著名美国经济学家则认为,中国“投资驱动”的增长模式已经走到了尽头。
在讨论“投资驱动”还是“消费驱动”的选择时,首先要明确我们所讨论的是长期经济增长问题还是短期宏观调控问题。西方学界谈论中国的“投资驱动”时,实际上是指中国的经济增长战略和增长模式,即所谓的Growth Strategy或Paradigm。
如何实现中国经济的长期稳定增长(发展)同在某个特定年度如何使中国经济增速实现某个特定经济增速目标,如2025年如何实现5%的GDP增速目标,是两个性质完全不同的问题。前者关注中长期经济增长,研究的是供给方问题;后者侧重短期调节,研究的是需求方问题。
作为长期经济增长问题,根本不存在“消费驱动”这样一种经济增长方式。
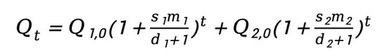
以马克思主义的再生产理论为例,将马克思两大部类再生产理论数学化后可以得到:

其中,Q代表社会总产品,下标1、2代表部类。d和m分别是资本有机构成和剩余价值率,s是储蓄率。

在上述社会总产品等式中,储蓄全部转化为投资,储蓄率越高,社会总产品的产量增长越快,有逻辑的结论当然是“消费率”越高,社会总产品的增速越低。
以列宁的再生产理论为例,列宁在23岁时在一篇题为《论市场》的文章中同民粹派进行论战,用“数例”构建了一个实质上是一个差分方程组的增长模型。列宁利用这个模型证明,尽管俄罗斯贫困、消费不足——第二部类得不到发展,但由于有机构成在不断提高,第一部类可以脱离第二部类增长缓慢的束缚而增长。因而,俄罗斯必然进入资本主义社会,社会主义革命不可避免。
资本积累驱动经济增长不仅是传统马克思主义政治经济学的核心观点,在新古典主义经济增长理论中,情况亦是如此。例如,在最早的现代经济增长理论模型——哈罗德–多马模型中,“经济增速=储蓄率/资本产出率”。由于假设储蓄完全转化为投资,储蓄率=投资率。该模型表明:经济增长由投资率与投资效率决定,消费的增加意味着储蓄和投资的减少。在其他因素给定条件下,消费的增加将导致经济增速的下降。
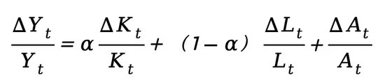
从标准生产函数(规模报酬不变的考布-道格拉斯生产函数)推导出的经济增速为:

其中,α=资本产出弹性,1-α=劳动产出弹性,A=全要素生产力(技术进步)。
该模型表明,给定资本产出弹性和劳动产出弹性,经济增速是投资、劳动力投入和技术进步的函数。显然,对于决策者而言,投资、劳动力投入和技术进步都是十分重要的,必须掌握好三者的比例关系。
当前,中国政府十分强调产业和产品创新,把技术进步对经济增长的推动作用放在十分突出的位置。就这种情况而言,可以说中国存在“投资驱动”和“技术进步驱动”之间的选择,但技术进步不是从天而降的,技术进步离不开各种形式的投资。因而,也可以说中国面临“一般性投资驱动“和“注重创新的投资驱动”之间的选择。
可以对生产函数加以扩展,把制度变迁、人力资本等因素包括进去。人力资本的改善同教育、健康等因素有关,如果说消费对经济增长存在拉动作用,那么这种拉动应该是通过人力资本改善实现的。但消费-人力资本改善-经济增长的传递机制需要具体的量化研究,不是简单说说就可以得出结论的。同时,能够改善人力资本的消费是某些特定类型的消费,而这种能够改善人力资本的特定类型消费的提供,是同传统意义的投资密不可分的。
总之,对决策者来说,在不同时期,由于条件不同,经济增长对投资、劳动投入和技术进步的依赖程度会有所不同,在不同时期的增长模式可以贴上“投资驱动”、“劳动力驱动”或“技术进步驱动”的标签。但不管怎么说,不存在“消费驱动”这样一种经济增长方式和战略。
东亚金融危机爆发前,一位美国经济学家批评东亚经济的增长仅仅依赖资本和劳动投入而不是技术进步。他的说法是否正确姑且不论,但他当时也并未主张东亚国家应该实施“消费驱动”的增长战略。
一项经济活动可能同时兼有投资和消费的双重性质,一件产品也可能兼有投资品和消费品的性质。如登山、健身的支出,既可以看作是纯粹消费支出也可以看作是人力资本投资。一辆汽车既可能是消费品也可能是投资品(取决于汽车的用途)。
不可否认,某些类型的消费作为人力资本投资,对经济增长具有驱动作用。这种类型的消费对经济增长的作用到底有多大,还需要通过经验研究加以确定。但无论如何,在不加严格限定的情况下,把消费说成是经济增长的“驱动力”,提倡中国的经济增长方式应从“投资驱动”变换为“消费驱动”,在理论上是完全错误的,其后果也是不难想见的。
否定“消费驱动”增长模式的存在并非意味着投资越多越好。投资同经济增长之间的关系并非是线性的。在给定条件下,投资率存在一个理论最优值。以哈罗德-多玛模型为例,投资率(储蓄率)太高可能导致资本-产出率的上升,因而过分提高投资率可能导致经济增速下降而不是上升。
当然,资本-产出率上升也不一定是投资率过高造成的。由于某种原因导致资本-产出率上升,为了维持目标经济增速,政府还可能不得不进一步提高投资率。在改革开放前,中国曾片面强调提高储蓄率和投资率,结果导致经济效率下降、资本-产出率上升,这种经验教训是不应该忘记的。
消费和投资之间的关系
当期消费和投资之间存在非此即彼的取舍关系,但长期消费和投资的关系则是相辅相成、相互促进的。生产的最终目的是消费,给定收入,把更多资源配置于投资,消费就会减少,反之则反。但从长期看,投资和消费之间的关系实质上是“现在就消费,还是现在少消费但在未来更多消费”之间的选择。
如何在消费和投资之间进行取舍,一直是马克思主义政治经济学的一个重要研究课题。苏联经济学家菲尔德曼于1936年提出的菲尔德曼模型建立在马克思再生产理论基础之上。其中,作为第二部类产出Y2的消费总量可以表示为:

其中K为资本、V为资本-产出率,下标1、2分别代表第一和第二部类。该模型要解决的核心问题是“现在多消费”还是“现在少消费以实现未来多消费”。模型中的参数r代表用于第一部类的投资I1在总投资I(第一部类产出)中的占比。

r取值的不同决定了未来消费路径的不同,从长期的观点来看,要想使消费品的增长速度和整个经济的增长速度达到尽可能高的水平,就必须尽可能提高用于第一部类生产的生产资料在作为第一部类产出的全部生产资料中所占的比重r,尽管这样做会影响近期生活水平的提高。
菲尔德曼等认为,计划者最重要的任务是正确决定如何在两大部类间分配投资,即选取适当的r值。带入具体数值可以验证:如果r值较高,即现在用于生产资本品的投资较多、生产消费品的投资较少,当期消费品产量较小。由于用于生产消费品的生产资料增速较高,随着时间推移,消费品的生产会迅速增长,并在某个时点上超过初期选择较高r值所对应的增长路径提供的消费品,取得“先苦后甜”的结果。
消费和投资之间的取舍关系也是新古典增长理论的重要研究领域。早在1920年代,拉姆齐就对这个问题进行了开创性研究。拉姆齐-卡斯-库普曼斯模型证明:投资并非越多越好,资本积累存在最优水平,在这一水平下,人均消费可以实现最大化。但这类模型的推导都依赖一些十分严格的假设,且一些参数难以确定(如“时间偏好”和“消费贴现率”)。这些理论可作为经济政策制定的参考,但实用价值不大。
索罗的经典增长理论模型假定:给定生产函数、劳动力增长速度和资本折旧率等因素,在由不同储蓄率定义的不同经济增长路径上,都存在由人均资本量和人均收入定义的某一点,在这些点上都存在一个人均产出、人均资本、人均消费增长率都为零的稳定状态(steady state)。
在索罗模型基础上,埃德蒙菲尔普斯提出所谓“资本积累的黄金规则”,即如果在对应于由某一储蓄率定义的增长路径中的稳定状态下,人均消费水平大于所有其他稳定状态下的人均消费水平,该储蓄率所决定的人均资本量就是资本积累的最佳水平。对应于最佳资本积累水平,人均资本的边际产出等于劳动增速加折旧率。“资本积累的黄金规则”仅仅是关于如何实现人均消费水平最大化的理论,对经济政策的制定有一定的参考作用,但同“消费驱动还是投资驱动”的讨论没有什么关系。
除理论之外,西方经济学家也对经济增长和消费之间的关系进行了经验研究。例如,巴罗在他的著名教科书《经济增长》一书中明确指出,跨国的经验证据表明,消费支出量对经济增长的影响是负面的。他还指出,总投资对GDP之比与体现为教育和健康的初始人力资本存在正向关系。
罗思义(John Ross)等人最近对大量经验数据的研究证明,GDP增长与消费增长之间存在超高的相关性。固定资本形成净额占GDP比重与消费增长高度相关,且经济规模越大,相关性越强。这些经验研究的结果也说明,消费与投资的关系并非对立的非此即彼的关系,而是“现在多消费、未来少消费,还是现在少消费、未来多消费”的关系。
就中国国情而言,国民普遍重视养老保障、倾向为子孙后代留下一定积蓄,因此消费倾向相对较低,投资率相对较高。这种偏好并无所谓“好”或“坏”,如何在“现在”与“未来”之间取得平衡,是一个公共选择问题。
一般而言,随着人均收入水平的提高,投资率(资本形成/GDP)会出现逐步下降的倾向。但政府很难确定投资率的最优水平,更难于直接决定整个经济的投资率。政府所能做的,是在坚持市场经济原则的同时,运用宏观经济政策工具,实施逆周期调节,熨平经济波动,稳定消费者和投资信心。
“消费拉动经济”的说法只有在有效需求不足的情况下才是有意义的。由于有效需求不足,经济增速受到需求面的制约,我们可以根据国民收入恒等式对某一年度GDP增长的原因或可能性展开分析。根据支出法,GDP=C+I+X-M。这里C、I、X-M分别为最终消费、资本形成和净出口;政府支出G被分解到作为GDP构成部分的其他部分中。
基于支出法的GDP增长率的公式为:

在西方经济增长理论中,为简化分析而做的隐含假设是“有供给就有需求”。在短期宏观分析中,因为供给不可能立即产生,所以假定供给是给定的,“有需求就有增长”。中国目前的情况是有效需求不足,因而可以暂时不考虑供给约束和供给结构问题,而先抓主要矛盾的主要方面——总需求不足。

短期宏观经济调控的目的就是使由上式决定的GDP增速=潜在GDP增速。如果由消费需求、投资需求和净出口决定的经济增速低于潜在经济增速,政府就应该采取扩张性财政货币政策,提高消费、投资和净出口的增长速度,使实际经济增速=潜在经济增速。
“消费拉动(或驱动)经济增长”的说法,仅仅在增加消费需求可以弥补有效需求不足,使实际经济增速等于或更为接近潜在经济增速的意义上才是正确的。但如果总需求超过潜在增速,就会引发通货膨胀。在这种情况下,政府就需要抑制消费需求或其他总量需求,以便把通货膨胀控制在事前制定的通货膨胀率目标上下。
中国的消费率是否过低?
许多人认为中国的消费率过低。从数据来看,以2022年为例,中国最终消费是美国的43%(汇率1:7),2022年中国最终消费63.8万亿,在GDP中占比为53.2%(=63.8/120);同年美国最终消费21.08万亿美元,在GDP中占比为82.9%(=21.08/25.44)。2022年中国社会零售商品支出为44万亿元,按1:7汇率为6.29万亿美元,同年美国的商品(Goods)消费支出和餐饮消费(Food services and Accommodations)分别为5.94万亿美元和1.25万亿美元,加总为7.2万亿美元。中国社会零售商品支出是美国的87.4%(=6.29/7.2)(不完全直接可比)。
造成中国最终消费对美国最终消费之比同中国社会零售商品支出对美国商品+餐饮支出之比之间的巨大差距(43%对87.4%)的主要原因,是美国最终消费中消费服务所占比重远高于中国,而美国的消费服务价格又远高于中国。
在美国,服务消费在最终消费中的占比通常在60%-70%之间,新冠疫情前美国服务消费占比为69%,服务消费明显高于商品消费。而中国的消费结构则完全不同。2022年,全年全国居民人均消费支出24538元,其中人均服务性消费支出10590元,占居民人均消费支出的比重为43.2%。中国服务消费支出对GDP之比明显小于美国服务消费支出对GDP之比。虽然其中多少是由于量、多少是由于价格导致,需进一步研判。
众所周知,美国服务消费的价格远高于中国,我们自身的经验也可使我们感知美国和其他西方国家服务(如家政、房屋维修、快递、影剧院、律师费等)的价格明显高于中国。例如,美国洛杉矶救护车每程服务费平均约为1200-1300美元,而广州救护车单纯出车一趟(包括5公里左右运送、医生护士各一名出诊、两名担架员费用及院前抢救费等)收费仅148元。
从消费品支出对GDP比的角度看,中国明显超过美国。2022年中国GDP是美国GDP的70%左右;社零是美国商品消费支出(包括餐饮)的87.4%。换言之,从拥有消费品(汽车、电视机、空调等)的角度看,中国的消费支出对GDP之比明显超过美国。此外还存在许多统计口径和方法问题。这些问题都倾向低估中国最终消费对GDP之比。
因此,在考虑消费结构与价格差异后,中国与美国在统计意义上所呈现出的消费支出对GDP之比的差距,实际远没有数据所展示的那么显著。粗略估算显示,以商品消费占GDP之比衡量,中国大约是美国的1.25倍。

简言之,中国居民更倾向于购买实物消费品,如汽车、电视等;而美国居民则更倾向于服务消费,如法律服务等。因此,从消费品拥有量角度来看,中国消费在GDP中的占比实际可能是超过美国的。
最后,一个不应忽视的事实是,长期以来,中国房地产投资对GDP之比远超过一般国家,但房地产投资中的很大一部分应该是为了满足购房者的消费需求而不是投资需求。如果把这类房地产消费计入居民消费,经过调整后的中国消费率将会比现在统计局公布的数字要高许多。
不同民族、文化、制度下和不同代际间,居民的时间偏好(或消费贴现率)都会有相当的不同,因而储蓄率也各不相同。例如,东亚国家普遍储蓄率较高,这是东亚奇迹发生的重要原因之一。储蓄率(投资率)较高、消费率较低本身不一定是个问题,相反,低消费率和高储蓄率可能是一个发展中国得以赶超发达国家的巨大优势。一切要具体问题具体分析,而不应一概而论。
首先,储蓄不应该是政府强制(forced savings),而是居民自主决定的储蓄。如果公众认为中国目前的储蓄率过高(消费率过低),希望提高消费率,没有任何问题。反之,如果公众希望维持中国目前的储蓄率,也应该没有任何问题。
第二,居民可支配收入对GDP之比应该适当,既不能过高也不能过低。但何为适当,则不仅是经济问题,也是地缘政治问题。
第三,储蓄率可以分解为由文化、社会和经济增长趋势决定的基本储蓄率和由经济周期性波动导致的储蓄率波动。如果储蓄率较高是因为基本储蓄率高于世界其他国家,政府无需刻意降低储蓄率。如果储蓄率的提高是“周期性”原因(如受到某种冲击,经济增速下降,收入预期恶化,居民减少消费——凯恩斯的储蓄悖论,Paradox of Thrift)导致,政府就需要进行逆周期调节,提高消费率、降低储蓄率。
“中国居民可支配收入偏低”似乎是学界的另一个共识。这一共识通常引用的是2022年中国居民可支配收入占GDP比重为43%的数据,而其他国家的这一比重普遍在60%以上。
事实上,国家统计局公布的居民可支配收入有两套口径:一套基于入户调查,另一套基于资金流量表。2022年,基于资金流量表的计算,住户部门可支配收入占GDP比重为59.3%,二者差距显著。入户调查数据存在系统性偏差,因为入户调查需填写问卷,补贴金额有限,低收入群体更愿意参与,导致调查样本更多为低收入者。此外,部分居民在填写时还有“向外低报”的倾向。
与其他国家相比,2022年日本的居民可支配收入占GDP比重为56.22%,丹麦为46.1%,都低于中国按资金流量表计算的59.3%。英国为61.47%,仅略高于中国。各国国情不同,简单比较还不足以说明问题。尽管中国居民可支配收入水平确实偏低,但也并不像某些观点所表达的那样严重偏低。由于统计数据本身存在不准确性,我们不应该对部分统计结果过度解读。
同世界其他国家相比,中国居民可支配收入对GDP之比偏低,但政府收入对GDP之比也偏低。中国国民收入分配的最突出特点应该是企业未分配利润对GDP之比明显高于其他国家。如果希望提高居民可支配收入对GDP之比,显然不能依靠降低政府收入对GDP之比。在这种情况下,唯一可能的选择是降低企业未分配利润对GDP之比。
企业可支配收入=税后利润+折旧-分红。中国企业未分配利润对GDP之比偏高是中国的经济体制、税制、逆周期宏观经济调节政策等多重因素决定的。中国企业留利较高,也可能意味着企业需要足够的资金进行技术创新(当然也存在上市公司不分红问题)。中国最近一段时间之所以有大量企业实现重大技术突破,离不开这些企业的大量投资。
与此同时,中国企业的负债率明显高于一般国家。在这种情况下,中国企业未分配利润对GDP之比是否应该下调、如何下调是个复杂问题,需要单独论证。声称中国居民可支配收入对GDP之比太低,并暗示政府收入对GDP之比过高,至少是证据不足的。应该说,在当前情况下,调整居民可支配收入对GDP之比并非我们的当务之急。
从实物消费量进行比较,中国生命预期高于美国(2021年78.2岁对76.1岁);在实物指标方面,中国居民消费并不低于发达国家,在有些方面甚至领先于美国。例如,卡路里摄取量、蛋白质摄取量、儿童身高、城镇居住面积、住房拥有率、教育年限、奢饰品销售、人均肉类消费等。
如果考虑到社会实物转移(STIK),世界银行2021年ICP价格(International Comparison Program 2021 prices)显示,中国在居住、教育、休闲和医疗方面的消费量是用市场汇率度量的消费量两倍多,考虑到最近三年中国的低通胀状况,中国在这些领域的消费量还要更高。
中国当前最大的问题在于收入分配差距过大,基尼系数虽然有所下降,但仍处于较高水平。招商银行数据显示,2.4%的金葵花客户拥有81.8%的储蓄资产。根据李实教授的研究,在过去20年当中,中国收入差距出现了一个先上升、后下降、现在基本处在一个相对稳定的高位水平。
2008年的基尼系数是0.491,接近0.5的水平,如果一个国家收入差距的基尼系数超过0.5,会被国际社会认为是一个收入分配极端不平等的国家。我国基尼系数达到0.5之前出现了一个转折,收入差距的基尼系数出现了缓慢下降期,但下降的幅度并不大,7年的时间下降幅度不到3个百分点。
2016年开始,我国基尼系数处在相对稳定的于0.46-0.47之间波动的状态,意味着2016年开始我们的收入差距没有出现进一步缩小的趋势,而且收入差距仍然处在一个高位水平。尽可能缩小收入差距,不仅关乎社会公平与正义,而且有助于提高整个社会的边际消费倾向。
综上所述,从消费对GDP之比的角度来看,中国与多数国家的差距并不像有些自媒体宣传的那么显著,但在追求共同富裕目标方面,我们确实仍有许多工作要做。
如何提高消费需求
根据DeepSeek,中国最终消费(包括居民消费和政府消费)占GDP之比在过去十年(2014-2023年)的平均值约为54%。2010年中国最终消费率(最终消费占GDP比重)跌至改革开放以来的历史低点49.1%。2023年,这一比值回升到53.7%。
与此相对比,全球平均最终消费率约为56.5%,高收入国家则普遍在70%以上。简单的国际比较只能作为参考,说明不了什么问题。例如,2010年中国最终消费率仅为49.1%的重要原因是中国当时执行了扩张性财政刺激计划,2010年GDP增速为10.6%,固定资产投资增速则高达23.8%。2010年中国消费率跌至49.1%,反映了扩张性财政政策的后果,并不说明中国居民消费倾向有什么变化。
全球金融危机之后,中国消费对GDP之比呈上升趋势;投资和净出口对GDP之比呈下降趋势。在有效需求不足状态下,消费、投资和净出口在GDP中占比的此消彼长,反映了宏观经济变量的内生变化和政府宏观经济政策的影响。
根据笔者的估算,2024年最终消费、资本形成、净出口对GDP之比分别为56.2%、40.4%和3.4%。同2023年相比,2024年需求结构的主要变化是净出口增速大大超过GDP增速,从而提高了净出口对GDP之比;房地产投资增速急剧下跌,基础设施投资增速的提高尚不足以抵消房地产投资增速下降对投资增速的拖累,因而投资增速低于GDP增速,在GDP中占比有所下降。
制定宏观经济政策时,无需过度关注这些占比的变化,重要的是确定可控性较强且对实现经济增速目标最有帮助的需求变量。最近一段时期,中国经济的最大亮点是中国制造业不断攻城略地,突破美国的技术封锁,使中国产业链的自主、安全性不断提高。对此,中国制造业企业在最近十余年中维持了7%-8%年均投资增速功不可没。政府应该尽量减少对企业投资决策的干预,应该相信企业最了解行业和产业的发展前景,最有能力做出正确的投资决定。
2025年我国设定的经济增长目标为5%,但净出口对GDP增长的贡献可能会由2024年的1.5个百分点降为0,甚至更低。消费在GDP中的占比接近60%。若消费增速低于5%,实现全年5%的经济增长目标将面临较大困难,提高投资增速的压力就会大幅度上升。因此,作为短期内宏观经济政策的重要一环,采取各种措施大力推动消费增长是完全必要的。
问题是,消费是收入、收入预期和财富或永久性收入的函数。从个体居民户的角度来看,增加消费,必须首先增加收入。从总体居民部门的角度来看,增加消费,需要实现收入分配的均等化——进一步实现共同富裕。一个经济体的收入分配越是平等,这个经济体系的总体边际消费倾向就越高。
关于具体的促消费措施,学者的建议主要包括发消费券、降低个人所得税、改革社保制度等。通过刺激消费刺激经济增长的主张往往陷入循环论证:为了提高经济增速,需要扩大消费;为了扩大消费,则需要提高经济增速。到底应该从哪里入手呢?
发放消费券的主张在逻辑上是自洽的。发钱或消费券之类的办法可以使收入暂时增加,但这一作用的实际效果与可持续性仍然存疑。2024年1月-11月增速低于3.5%的消费品类别,由低到高顺序排列为:金银珠宝类(-3.3%)、建筑及装潢材料类(-2.3%)、化妆品类(-1.3%)、文化办公用品类(-1.3%)、汽车类(-0.7%)、服装鞋帽针织纺织品类(0.4%)、石油及制品类(0.6%)、日用品类(2.7%)、家具类(2.9%)。增速高于3.5%的消费品类别为:药品类、食品饮料烟酒类、通信器材类、家用电器和音像器材类和体育、娱乐用品类。不难看出,增速下降最多的是奢侈品,其次是非生活必需品,生活必需品增速则基本与GDP增速同步或高于GDP增速。在这种背景下,消费券是否能够显著带动消费增长存在不确定性。
第一,消费需求减少可能主要是中高收入阶层的高档消费品需求减少导致的,而这又可能是因为中高收入阶层高档消费需求受资产价格(如股票价格下跌和房地产价格下跌)变化的影响较大。
第二,中低收入和低收入阶层的消费需求增速比较稳定。中低收入和低收入阶层的消费需求受收入水平变化的影响较小,即便收入下降,他们仍必须保持必需品消费水平不变。
总之,消费券对高收入和中高收入阶层的支出行为难以产生显著影响;而中低收入和低收入阶层,出于对未来不确定性的担忧,更倾向于将获得的额外资金用于储蓄而非用于消费。因而,消费券发放可能不会对总体消费水平和增速产生重要影响。
在减税方面,降低个人所得税的主要问题是中国的税收制度是以增值税为主体的,个人所得税的总量有限。2023年,中国个人所得税总量为1.4万亿元。降低税率、提高征税门槛对消费增长的作用比较有限。但对于企业,特别是中小企业应该考虑减税。
在社保体系方面,中国的五项社会保险(养老、医疗、生育、失业、工伤)基本都是以精算为基础的,原则上不应因需要执行扩张性财政政策就改变各种保险金的缴费和发放规则。但其中的一些构成部分同财政支出密切相关,例如,中国养老保险体系中的城乡居民养老保险(以农民参保为主)85%的资金来自财政转移支付,应该提高城乡居民养老保险金的发放标准,逐步减小城乡养老保险差距。
此外,社保体系中的最低生活保障覆盖范围和标准可以进一步提高。截至2023年末,最低生活保障惠及663.6万城市人口和3399.7万农村人口,全国城市最低生活保障平均标准为每人每月785.9元,全国农村最低生活保障平均标准为每人每月621.3元。虽然改善社保体系的举措主要是为了减少贫富差距、维护社会公平与正义,同宏观调控并无直接关系,但由于低收入群体边际消费倾向高,这些举措对增加居民消费能发挥一定作用。同时,政府也应该考虑发放生育补助的可能性。
“以旧换新”政策同发放消费券的性质接近,肯定会对刺激消费起到积极作用。但是这种政策的效果有多大,也值得进一步研究。不仅如此,“以旧换新”还是一种产业政策,产业政策可能带来的负面影响也必须注意。
为了避免“要增加收入就要增加消费,为了增加消费就要增加收入”的循环论证,我们必须找到一个“第一推动力”。这个第一推动力只能是由政府提供融资的基础设施投资。
一笔基础设施投资会立即产生等量收入,这笔收入随即通过新的投资和消费又会产生派生收入。对于消费而言,会出现“基础设施投资导致收入增加→收入增加导致消费支出增加→消费支出增加导致收入增加”的良性循环。最初的一笔基础设施投资最终将产生数倍于初始投资的收入。
通过增加基础设施投资启动消费,不仅可能比通过发放消费券等方式更为有效,而且还将提高潜在经济增长速度。除基础设施投资外,政府还可以通过实施产业政策的方式,支持企业特别是创新企业投资。
从“促消费”的角度来看,可以考虑的基础设施投资领域包括:一是同消费没有直接关系的基础设施投资。这类投资虽然同消费没有直接关系,但可以通过增加居民的永久性收入,进而增加消费。
二是满足未来消费需求的基础设施投资,例如以人为本的新型城镇化建设、不同类型养老院建设、专业陪护人员培训和工资补贴、医院建设、托儿所。这种着眼于未来消费的投资,既有益于弥补当前的总需求不足,又可以提高服务消费(没有养老设施就没有养老支出)在消费中的占比;不仅可以增加当前就业,而且可以增加未来就业(劳动密集性产业的比重提高)。
三是从供给方改善消费品和消费服务(如餐饮、旅游等),这类供给可以创造需求。
大力发挥基础设施投资
稳经济促增长的作用
在中国的特定制度环境下,基础设施投资是一个宏观调控当局可以直接控制的政策变量,除了能在当前弥补总需求不足,还能提高中国潜在经济增速。把基础设施投资而不是某一具体制造业部门投资作为政策变量,是由基础设施的“基础性、公益性和长期性”决定的。
经济的长期增长离不开投资,虽然决策者可以根据现有信息对未来产业的发展趋势有个大体的判断,但除在个别情况下外,很难具体决定如何为“高新产业”(如半导体与芯片、高端工作母机、大飞机、大数据、人工智能和机器人、新能源、大健康与生物科技、量子计算与太空经济、跨境电商与全球化服务)和占制造业产出80%的“传统产业”(如机械、电子、化工、冶金、建材、轻工、纺织)的发展以及相应的具体产品的生产配置投资资金。
政府主导的基础设施投资不但可以为这些产业的发展提供重要支持,而且可以避免因为错误决策而导致行业和产品“产能过剩”。例如,政府可能事先不知道人工智能将成为最重要的新兴产业,也不知道电动汽车会取代燃油汽车成为汽车行业的主流,但是政府知道电力供应对经济发展的重要性,所以长期以来坚持对火电、水电、核电、风光、特高压、充电桩、综合能源等新、旧基础设施的投资。而这种大规模的电力基础设施投资为中国制造业的发展——无论这种发展采取什么形式——打下其他国家难以匹敌的坚实基础。
反对政府通过提高基础设施投资增速促进经济增长的一个重要“理由”是中国基础设施“接近饱和”。这种观点值得商榷。CF40研究团队测算,未来5年中国至少还有约31万亿的增量公共投资空间(详见CF40季度报告《公共投资的潜力与空间》)。某权威研究机构的一份报告指出,仅城市地下管道排水系统所需的基础设施投资资金就高达4.5万亿元。
2024年12月12日中央经济工作会议提出要“提高投资效益”。投资效益既包括商业回报,也包括经济和社会效益。由于基础设施的“公益性、长期性和基础性”,基础设施投资项目是否成功要看它们的外溢效应。
以5G为例,我国5G建设已累计投资超过7300亿元,截至2024年7月末,5G基站总数达到404.2万个,5G移动电话用户达9.66亿户。投资主要由中国移动、中国联通、中国电信承担(一些互联网公司和设备制造商也参与5G基站的投资),政府也提供了部分支持。没有基站建设,阿里、腾讯、华为的发展是不可能的;没有巨大的发电能力,何来大数据算力?何来相关初创企业的发展?
不能要求公共投资项目自身在短期内取得商业回报。从事基站建设的三大电信运营商盈利良好,其他一些项目,如高铁,根据国铁集团财报数据,2023年以前亏损情况比较严重,但高铁网络的修建改变了整个中国的经济与社会生活,其社会效益难以估量。
中国基础设施投资和建设能力是中国的制度优势,总需求不足时期恰恰是最大限度发挥这种优势的时期。当经济充分恢复自主增长之后,政府主导的基础设施投资可以随宏观经济刺激政策的退出而逐步退出。
不可否认的是,以往的基础设施投资中确实存在严重浪费和重复建设等问题。2024年12月国办发布了地方政府专项债券禁止类项目清单,这类清单十分必要,应该把这个清单作为基础设施项目审批的重要标准。大规模的基础设施投资项目甚至可能滋生腐败,但这类问题是可以通过法律和政治手段加以解决的,不能因噎废食。
美国前总统经济顾问委员会主席弗曼在2016年的一篇文章中指出:同1994-2004年相比,2004-2014年几乎所有G7国家的资本深化率和全要素生产率增速都出现明显下降。按索罗增长理论的分析框架,劳动生产率是资本密度(或人均资本装备程度)和全要素生产率决定的。G7国家的总需求和劳动生产率增速同时下降不是偶然的,需求不足导致投资严重不足,资本密度增速的下降是G7国家劳动生产率增速下降的最重要原因。其中,日本资本密度增速下降幅度最大,为3%。[1]弗曼的研究表明,增加总需求而非降低投资增速是提高劳动生产率(亦即人均GDP)的必要条件。
2025年,政府已经制定了扩张力度远大于以往的财政政策,一般公共预算赤字率首次定为4%。但鉴于2025年中国面对的严峻外部挑战,中国财政政策的扩张力度是否已经足够大似乎还有讨论的余地。在“十五五规划”期间,政府是否可以安排一些同当年执行四万亿刺激计划时期类似的大项目。例如,进一步推进西部大开发战略,沿河西走廊向中亚进一步开展大规模基础设施投资,并建立相应的经济走廊。
中亚位于欧亚大陆的中心区域,是连接欧亚大陆心脏地带和边缘地带的关键区域,把西部大开发同建设中亚经济走廊相联系,对于刺激内需、对于加强中国的国内安全和地缘政治地位都具有重要意义。
在西部,存在大量的可投资领域。正如朱云来先生所说的,“中国西北地区在太阳能资源方面拥有得天独厚的优势,那里日照充沛,且多为平坦又暂无太大其他经济价值的戈壁地貌,极其适宜建设大型光伏基地。一条长达3000公里的输电线,每日可实现2亿度的电力输送。而中国的日均用电量约为274亿度,理论上,100条这样的输电线路便能满足全国的用电需求。尤为引人注目的是,当前光伏发电成本已大幅降低,总体成本仅为火电系统的一半。加之通过电池储能技术,也有望实现光伏发电的全天候稳定供电。”像这样一举多得的基础设施投资,现在不做更待何时?
我们期待发改委尽快推出“十五五规划”期间的项目清单。
本文系作者在CMF宏观经济热点问题研讨会(第105期)发言基础上,增补而成。
(本文作者介绍:中国社会科学院学部委员、研究员、博导、中国世界经济学会会长)