意见领袖 | 蒋飞
►►►核心观点
本文注重研究宏观税负对一国经济的影响。根据拉弗曲线的理论,当税率在一定的限度以下时,提高税率能增加政府税收收入,但超过这一限度时,再提高税率反而导致政府税收收入减少。由于在最大化税收之前经济增速率先出现最大值,此时的税率被称为最优税率(宏观税负),因此本文主要研究该税率水平。
根据Scully模型,我们研究发现美国最优税率低于实际宏观税负,历史经验表明降低税率有利于提高潜在经济增速,当前美国政府的最优政策选择就是缩减政府开支;中国最优税率也低于实际宏观税负,但是否与美国一样需要缩减政府开支,还需进一步研究。
由于中国生产函数并未完全市场化,Scully模型在中国适用的条件不成熟,数据时间序列也不全等等因素,都会影响本文测算结果的准确性。同时测算最优税率的模型较多,本文只选择一种模型,测算结果只作为参考。
正文
我们已经在《财政政策和货币政策的配合(2)》中分析了积极的货币政策对于维持财政可持续性的重要性,但如果财政盈余能够自主恢复,财政可持续性就可以由弱转强。财政盈余等于财政收入-财政支出,我们已经在《中国财政乘数估算》里分析过财政支出的作用,本文将重点分析宏观税负对经济的影响?是应该提高还是降低宏观税负?
1拉弗曲线
中国正处于经济转型的关键时期,人均GDP按美元计价正好与1984年的美国水平相当。当时美国也处于利率市场化的关键时期,70年代开始的中东石油危机让美国经济出现了前所未有的滞涨问题。80年代高通胀和高失业率让当时的美国总统里根抛弃了主流的凯恩斯经济学,选择供给学派经济政策。供给学派经济学认为,凯恩斯经济学只强调财政政策对总需求的影响,却忽视了总供给的影响,而决定经济长期增长的恰恰是供给方面的因素。因此,供给学派主张采取各种手段提高总供给,这其中最重要的手段就是减税。作为供给学派经济学奠基人之一的阿瑟·拉弗提出最出名的理论就是拉弗曲线。
所谓拉弗曲线,是指当税率在一定的限度以下时,提高税率能增加政府税收收入,但超过这一限度时,再提高税率反而导致政府税收收入减少。因为较高的税率将抑制经济的增长,使税基减小,税收收入下降,反之,减税可以刺激经济增长,扩大税基,税收收入增加。拉弗认为繁荣的关键是激励人们增加储蓄和投资,资本形成,提高技术进步和生产力,这可以通过减税、取消管制、自由贸易和其他激励措施来实现,这样国家才能迅速发展,提高所有公民的福利。

为了形象描述拉弗曲线的形状,假设纳税总额与税率之间是纳税收入函数为线性函数

其中τ为税率。税收为

所以拉弗曲线函数为:

拉弗曲线是与税率有关的二次抛物线。且当

T最大。此时,

如果纳税收入函数是非线性函数,比如

其中e是税收税率弹性,则

化简后得到:

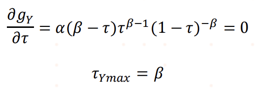
实际上大多数税收收入函数并非线性函数,在税收最大化之前,随着税率提高,经济产出增速会逐渐提高到最高点,然后不断下降,即g的最高点会在税收之前,如图表2。也就是说在税收最大化之前经济增速可以先实现最大化,而这就提出了新的政策目标:最优税率。
理论界主要有两个模型研究经济增速最大化的情况:Barro模型和Scully模型,其中Barro模型是在AK生产函数的基础上引入政府公共支出,该模型公式如下:

其中

是最优政府支出规模。
Scully模型认为平均税率与经济增长速度之间存在相关关系,该模型公式如下:

其中

是经济增速,最大化条件是:

求解模型可以转化为:

这就是拉弗曲线的重要意义,当税率高过最高税收时的税率水平

,经济产出Y和税收T都会下降;当税率低于最高产出时的税率水平



2美国最优税率的选择
在经济“滞胀”的现实背景下,里根总统认同供给学派和拉弗曲线理论,于1981年8月签署经济复兴税收法案(ERTA),该法案大幅降低了个人所得税,最高税率从70%降至50%。1986年的税收改革法案又将企业所得税最高税率从46%下降至34%。但减税的效果在学术界并没有得到认可,2013年美国联合经济委员会专门召开了一场里根减税政策的经验讨论会,赞同和反对的声音都存在。赞同者认为减税提高了经济增速,但反对者认为加剧了贫富差距和增加了赤字。

我们在测算里根总统时代减税的政策效果时,运用以上方法来测算最优税率,并与当时的税率水平比较。在测算最优税率上,Scully使用预期税率的角度来测算,也即使用G/Y来代替T/Y,这寓意着合理的最优政府支出对应的税率水平,也即赤字为零情况下的财政收入。本文沿用上述方法用(GDP政府消费和投资支出+财政的转移支付)/国内生产总值作为宏观税负(平均税率),计算结果如下:


ADF检验表明残差是平稳的。

Scully(1995)测算1949-1989年美国的经济增速最大化税率在21.5%-22.9%之间,Scully(2003)运用Barro模型和其自己模型测算结果分别为25.1%和19.3%,Scully(2006)再次测算1929-2004年的美国经济增速最大化税率为23%。本文测算的结果是23.12%,几乎与Scully(2006)测算的结果一致。
如果我们将最优税率与名义财政总收入占GDP比重和名义财政总支出占GDP比重相比较,可以发现美国的宏观税负明显高于最优水平。无论是实际的财政收入还是财政支出,都远远高于最优的税率水平,由此看来美国政府缩减政府开支和减税是最优选择。
由于美国地方政府自负盈亏,允许破产,可以被当作私人部门看待,如果我们单独对联邦政府的财政收支情况也做相应的最优税率测算,可以得到如下结果:


ADF检验表明残差是平稳的。

由上图可以看出,在里根总统时期供给侧改革的减税政策并没有降低联邦政府的宏观税负,大幅增加的财政支出和赤字远离了最优税率水平,拉低了潜在经济增长水平;而克林顿时期的缩减财政开支政策靠近了最优税率水平,不但没有拉低反而提升了潜在经济增长水平,同时实现了财政盈余。凑巧的是最优税率水平和财政收入占GDP比重中枢水平相一致,由此我们可以看出美国联邦政府并无减税的必要(减税的责任应该由美国的州和地方政府承担),更加重要的是减少财政支出,量入为出,实现财政平衡。这既有利于降低财政风险,又能提升经济增速。
特朗普上台伊始,就宣布致力于缩减政府开支。新上任的财政部长斯科特·贝森特提出“3-3-3”经济政策口号——把财政赤字占GDP的比例从近年来的6%以上降至3%,把石油日产量提高300万桶,把经济增长率维持在3%,其中就把缩减开支作为重要内容。马斯克领导的政府效率部制定的计划是削减2万亿美元的政府开支,以精简政府机构、提升政府效率。这些都是遵循了上述经济规律。
当然由于美国作为世界第一大国,美元作为全球货币在各国之间贸易和储备,美国国债不仅仅代表了本国的债务水平,也作为全球其他国家的储备资产起到了稳定世界金融秩序的作用。所以还需综合考虑美国财政政策的作用。
3最优税率在中国的实践
为了比较中美的宏观税负,我们需要选择相同的统计口径。在《中国财政可持续性分析》中所述,我国财政口径并不统一,财政收支分狭义收支和广义收支,税和费、基金都是企业面临的负担。而且美国的财政支出包括联邦政府和州地方政府,其中社会保险属于财政收支内容。所以中国的财政支出口径为广义口径-四本预算支出与美国的联邦+州财政支出口径一致。
但在中国四本帐的财政支出规模远远大于政府消费和投资在GDP中的贡献规模,而且并不是所有支出都算入GDP中的政府支出。根据统计局对支出法GDP核算的介绍,政府消费支出是指政府部门为全社会提供公共服务发生的消费支出和免费或以没有显著经济意义的价格向居民提供货物和服务的净支出。由于政府提供的公共服务、以免费或无经济意义的价格提供给个人消费的货物或服务,不存在或者很难找到对应的价格,因此一般采用成本法间接核算政府消费支出,依据的基础资料主要是财政部门的财政收支数据。
我们在《中国的“李嘉图等价”是否成立?》中已经分析,公共财政支出基本上分为政府消费性支出和政府投资性支出,政府投资性支出的95%被计入国有资产投资中。四本帐中除公共财政支出的部分大多是政府补贴、社会福利以及资本转移等形式出现,我们认为这些可以归类为转移支付。所以公共财政支出可以作为政府支出的替代指标。

因此要计算中国的最优税率,按照scully模型我们应该使用四本帐的财政支出,但由于数据时间序列较短,不得不退而求其次使用一般财政预算支出。测算结果如下:


ADF检验表明残差是平稳的。

对于一般财政预算收支,最优税率为16.19%,与美国联邦政府测算结果相近。改革开放前十年,实际宏观税负高于最优税率,但经济改革不断降低了宏观税负;1991年到2001实际宏观税负低于最优税率,促使分税制改革启动;2002年之后宏观税负不断上升,2015年见顶之后回落,但还高于最优税率。不过若以财政收入占GDP比重来看,目前已经达到最优税率水平。
这是否就说明,中国应同美国一样缩减政府开支,以换取更高的经济增速呢?显然这与当下私人需求不足、政府不断提高赤字的基本状况相违背。在节俭悖论还未出现的情况下,降低宏观税负有利于提高潜在经济增速,我们提倡的改革方向“有为政府、有效市场”就是基于最优宏观税负较低的现实证据上;但在节俭悖论出现的条件下,扩大政府开支有利于稳定短期经济增长。下一阶段我们将通过研究中国的节俭悖论来做进一步的补充。
当然,本文测算结果只作为参考,测算最优税率并非一个模型方法,而且中国生产函数并未完全市场化,scully模型在中国适用的条件不完善,数据时间序列不全等等,都是影响本文测算结果的因素。
参考文献:
Scully, G.W. (1995). The ‘growth tax’ in the United States. Public Choice 85: 71–80
Scully G.W. (2003):Optimal Taxation, Economic Growth and Income Inequality,Public Choice 115: 299–312
Scully, G. W.(2006):Taxes and Economic Growth, National Center for Policy Analysis,
Policy Report No.292
风险提示
国内宏观经济政策不及预期;数据提取不及时;财政政策、货币政策超预期;模型假设较现实条件更严格;模型本身与真实世界存在偏差的风险。
(本文作者介绍:长城证券宏观经济学家)