意见领袖 | 蒋飞
►►►核心观点
我们已经分析了中国的财政可持续性,现在再来分析美国的财政可持续性。2020年疫情爆发之前,美国的国债规模已经不断创历史新高,政府负债率接近100%;疫情爆发之后直接上升到120%。市场早已担心美国的财政可持续性问题,学术界也已研究美国的财政可持续性问题。
我们通过泡沫项检验、协整关系检验以及Bohn检验得出美国财政不存在稳固的可持续性,部分检验支持其具有较强的可持续性,比如泡沫项检验和财政收支的协整检验;但也有部分检验否定了其可持续性,比如Bohn检验。在财政可持续性的强弱关系上,最强的是无负债率和无赤字,最弱的是保证负债率不再增加。要想政府负债率不增加,需要让

由此我们看出,r-g<0对于债务有着重要的意义。
美国在2013年之后政府杠杆率保持稳定(除去2020年疫情爆发时期),同时财政赤字大幅增加,即使从救市政策退出之后赤字规模依然高于疫情前。这归功于在这个期间,美国平均实际利率r为-0.45%,平均实际经济增速g为2.45%,r远远小于g。由此看出,只要符合这一条件,赤字率会提高,但不会爆发债务危机,符合较弱的财政可持续性条件。
正文
我们已经分析了中国的财政可持续性,现在再来分析美国的财政可持续性。2020年疫情爆发之前,美国的国债规模已经不断创历史新高,政府负债率接近100%;疫情爆发之后,美国政府出台巨额救市计划,政府负债率(名义价值)快速上升,2020年底直接上升到120%。之后经济迅速复苏,政府负债率逐渐下降,到2023年已降至112.3%,仍高于2020年之前。

市场早已担心美国的财政可持续性问题,2011年国际三大信用评级公司标普将美国的主权评级从3A下调至2A+,就是基于美国财政前景黯淡。2023年另外一个国际信用评级公司惠誉将美国长期外币发行人评级从“AAA”降至“AA+”,也是基于美国财政状况日益恶化,沉沦于债务泥潭之中。2020年疫情爆发之后,市场对于美国国债违约的担忧不断上升,美国崩溃论更是甚嚣尘上。目前特朗普第二阶段任期即将开始之后,市场担心减企业税+加关税的政策组合会使得财政赤字继续扩大,所以当前对美国财政可持续性研究具有重要的实际意义。
学术界早已研究美国的财政可持续性问题,Hamilton和Flavin(1986)通过泡沫项验证法证明了美国财政不可持续,Bohn(1998)运用财政反应函数证明了美国财政可持续性;2012年时任美联储主席伯南克在国会听证会将财政问题描述为“财政悬崖”,直指问题的严重性,而最激进的经济学家克鲁格曼在其著作《现在终结萧条!》里则强调:在流动性陷阱中,需要各国政府增加开支,引领我们走出萧条。其在2023年的时候直接表示:美国应废除债务上限,不必还清所有债务。2024年6月美国国会预算办公室(CBO)预测巨额赤字将公众持有的联邦债务推高至2034年GDP的122%,2034年赤字率达到7.1%。IMF在2024年10月《财政监测报告》里认为全球公共债务可能比看起来更糟糕,其中美国未来债务稳定的概率较低,这份预测直到2029年都很低。宾夕法尼亚沃顿商学院预算模型(PWBM)和CBO使用的OLG模型版本都基于 Nishiyama和Smetters(2005年、2007年、2014)的理论,PWBM模型告诉我们公众持有的美国债务也不能超过GDP 的200%左右。我们下面开始对美国财政可持续性作实证研究。

1
可持续性分析
2023年美国政府债务总额33.17万亿美元,但公众持有的规模只有26.24万亿美元,剩余的部分由社会保障基金、退休基金、医疗保险等持有,这一部分当作政府自己持有,再做财政分析时给与剔除。美国国会预算办公室公布的数据就是公众持有的政府债务总额和这一部分的净利息支出,所以我们选择CBO公布的数据。

泡沫项检验
时间段选择1962-2023年,名义融资利率以5年期国债收益率为代表,物价指数为PCE,美国经济分析局公布的GDP不变价增速。测算时间是2008年至2023年,由于时间跨度较大且市场化程度高,本文选择的公式如下:

同样,在公式中测算p期的A0的值,如果拒绝A0=0的原假设,就可以判断该期的债务率不可持续。

由上图可以看出,2012年之后美国的财政可持续性比较稳定,其中2012-2018年之前弱于中国。
协整检验
对财政可持续性的分析还有更为严格的检验方法:协整检验。理论上如果财政收入和财政支出存在协整关系,就说明财政可持续;或者基本盈余和公共债务存在协整关系,也可以说明财政可持续。本文用协整检验的方法来进一步验证美国财政可持续性。
公式如下:

其中Tt为当期财政收入,Gt为当期财政支出,两者满足协整关系,且b=1。

其中st为基础盈余率,dt为政府负债率,且β=r。
首先进行ADF单位根检验,结果如表7所示,对于财政收入和财政支出序列,绝对值中除了财政收入的一阶差分是平稳的,其他都是非平稳的。占GDP比例序列中无论是绝对值还是一阶差分都是平稳的;对于财政基本盈余和公共债务序列,绝对值和一阶差分均非平稳。占GDP比例序列除负债率非平稳,其他均平稳。所以除了基本盈余率和负债率序列不可能存在协整关系之外,其他均有可能。

其次进行Johansen协整检验,结果如表8所示,对于财政收入和财政支出的绝对值序列以及基本盈余和债务的绝对值序列都有协整关系,而且基本盈余和债务之间可能不止1个协整关系,这说明美国财政可持续性较强。

最后,根据检验结果,我们可以直接回归,得到如下方程:

和

从这两个方程,我们可以看出财政收支的协整关系较强,且系数为正,满足财政可持续性要求;但基本盈余和公共债务的协整系数为负,不满足债务可持续性条件,同时由于财政收支的协整系数为0.69小于1,说明政府具有一定的纠错能力,但相对较弱。
Bohn检验
Bohn(2007)时指出,只要公共债务序列有限次差分后是平稳的,或者财政收入和指出序列任意阶差分后是平稳的,就不需要两者满足协整关系,也能满足跨期预算约束条件。鉴于此,Bohn创造了财政反应函数。该函数的理念是,在财政赤字占GDP比重(基本盈余率)和公共债务占GDP比重(负债率)的关系中,加入临时性政府支出和经济周期波动作为控制标量,就可以分离出被政府支出和经济周期波动所掩盖的两者真实关系。
我们用线性财政反应函数来估计公共债务对财政盈余的反应系数:

其中GVARt为政府支出波动变量,YVARt为经济周期波动变量。
我们可以看出,这里的ρ其实就相当于上面的β,由于在上面β为负,这次我们需要从财政反应函数里观察的ρ值是否也为负。时间序列依然是1962-2023年,GVAR选择的是政府支出的循环项,YVAR选择的是真实产出缺口,计量结果如下:

由此可以看出,这里的ρ仍然为负,对财政盈余的反应并不积极,Bohn(2007)认为如果财政基本盈余对债务毫无反应,则用未来的基本财政盈余填补债务的增加就毫无希望,财政很难保持可持续性。
综合以上分析,美国的财政可持续性并不确定,部分检验支撑了其可持续性,比如泡沫项检验和财政收支的协整检验;但也有部分检验否定了其可持续性,比如Bohn检验:财政基础盈余和政府债务余额之间存在着明显的负关系。这就需要我们重新审视对财政可持续性的要求。
一般来说,最严格的财政可持续性要求是政府负债率为零且财政盈余为正,古典经济学派就持有这种财政保守主义;但这种要求限制了政府调控经济的能力,随着凯恩斯主义的兴起,政府负债率逐渐攀升,相对严格的财政可持续性要求就应运而生,也即政府负债率相对较低,财政盈余保持动态平衡,凯恩斯主义就持有这种观点;但随着全球经济的繁荣和地缘政治的影响,大国的政府负债率均不断超过警戒线并还在继续飙升,这就让财政可持续性的要求继续降低。
在这个角度下,我们就可以看出,ρ值为正属于相对严格的财政可持续性要求,而ρ值为负属于偏弱的财政可持续性要求,而且也要有一定的条件。
2
r-g<0对债务的重要性
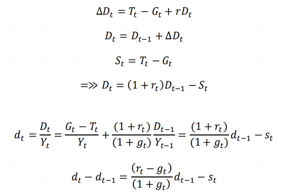
我们再回顾一下政府债务动态方程:

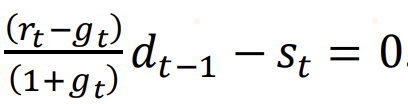
其中,Y为产出,d为政府负债率,g是实际国内生产总值的增长率,s是基础盈余率。由上述公式可以看出,要想政府负债率不增加,也即


。由此我们看出,r-g<0 对于债务有着重要的意义。在财政基本盈余无法为正的前提下,如果r-g>0,政府债务率将以r-g的速率呈指数级增长,除非政府想让债务率呈爆炸式增长,否则迟早要增加税收,也即提高s实现财政盈余为正,这就相当于实施了紧缩的财政政策;如果r-g<0,政府就可以有较充足的财政空间实施积极刺激政策,达到赤字不断扩大但负债率保持稳定的状态。正如前面泡沫项验证过程中,我们得出的r-g的系数为零的概率一样,证明了美国的r-g支持了其财政的可持续性。国际货币基金组织原首席经济学家奥利维尔·布兰查德的《低利率时代的财政政策》对此做了详细的论述。
,那么就需要让
美国在2013年之后政府杠杆率保持稳定(除去2020年疫情爆发时期),同时财政赤字大幅增加,即使从救市政策退出之后赤字规模依然高于疫情前,就可以被看作处于这种状态。2013年时美国政府杠杆率已经达到100%,赤字规模也达到4380亿美元左右,赤字率为2.5%,相对安全。在随后的十年里,赤字规模增加至1.86万亿美元,赤字率达到6.6%的历史高位,但政府杠杆率仅上升了3.5个百分点到103.5%(2024年中期数据),保持了相对稳定。这归功于在这个期间(2015年至2023年),美国平均实际利率r为-0.45%,平均实际经济增速g为2.45%,r远远小于g。由此看出,只要符合这一条件,赤字率会提高,但不会爆发债务危机,符合较弱的财政可持续性条件。因此,如果我们将债务可持续性视为不会爆发债务危机,那么在r-g<0的假设下,债务和盈余能够达到动态平衡。

参考文献:
秦卫波、王立荣、李成宇:《论美国政府公共债务的可持续性》,《东北大学学报》,2016年7月
李婧、伊楠:《美国公共债务可持续性的实证研究》,《华东师范大学学报(哲学社会科学版)》,2014年第3期
CBO:《Options for Reducing the Deficit: 2025 to 2034》,2024
IMF:《财政监测报告》,202410
James D.Hamilton and Marjorie A.Flavin:《On the Limitations of Government Borrowing:A Framework for Empirical Testing》,1985
加藤久和:《财政可持续性和财政管理评估》,《泡沫/通缩时期的日本经济与经济政策》
奥利维尔.布兰查德:《低利率时代的财政政策》,中信出版集团,2024年10月
(本文作者介绍:长城证券宏观经济学家)