意见领袖 | 蒋飞
►►►核心观点
所谓财政可持续性,主要是指政府的未来财政收入偿还未来的债务的能力。这几年我国财政收入增速不断下降,财政刚性支出增加,赤字水平持续提升,导致财政收支矛盾突出。对于未来财政政策取向,社会上对此分歧较大。
在测算中国财政可持续性时,中国特色的财政和政府债务促使本文选择两个口径来分析:狭义的财政收支和公开的政府债务;广义的财政收支和包含城投债务的政府债务。根据实证研究,我们发现狭义的财政可持续性仍较安全,但债务空间在不断缩小;广义的财政可持续性已经连续多年处于警戒线下,可持续性存在压力。
基于研究,建议政策上:在经济体制改革的体系下进行加快财税体制改革,同时提出整体的和谐化债方案,配套的经济发展规划,以及破产制度建立。另外由于政府没有公布隐性债务过去完整的时间序列,以上测算仅是在假设条件下做的预估,不能作为财政准确的可持续性评估结果。对A0=0所需P值条件仅是评估财政可持续性的方法之一,后续还需和其他方法综合分析。
正文
所谓财政可持续性,主要是指政府的未来财政收入偿还未来的债务的能力。这是从债务的角度来分析,不仅仅体现在政府的偿债能力上,也会体现在当前的融资能力上,同时也体现在以政府信用为基础的货币价值上。财政可持续性关系到财政安全、政策制定和国家发展战略。2024年中央经济工作会议指出,我国经济运行仍面临不少困难和挑战,主要是国内需求不足,部分企业生产经营困难,群众就业增收面临压力,风险隐患仍然较多。这几年我国财政收入增速不断下降,财政刚性支出增加,赤字水平持续提升,导致财政收支矛盾突出。
在中央政府实施一揽子化债政策以及保持经济长期稳定增长的双重要求下,财政政策不断发力同时又要提质增效。学界对财政政策取向上分歧较大,有的专家认为“内债不是债”,应尽早实施大规模财政刺激,不要被较高的财政赤字率或宏观杠杆率所束缚;有的专家认为我国财政可持续性遇到严重挑战,财政空间逐渐缩小,未来面临巨大的养老金缺口等压力,应对财政风险未雨绸缪。
1
理论分析
Bohn(1998、2005)提出将基础盈余与政府债务联系起来,基础盈余率是政府负债率的线性函数,政府跨期预算满足IBC条件。该条件规定,初始债务水平应等于未来盈余的现值,即政府当前和预期债务必须由预期的未来现金流偿还。Ghosh et al(2013)提出财政空间的理论分析模型,随着政府债务增加,基础盈余将无法平衡利息支付,因此存在一个政府负债率的上限水平,超过这一水平,政府债务将阻碍经济增长。国内学者对此讨论已经较多,比如李丹等(2017)研究结果表明我国初现“财政疲劳”迹象,且经济低迷时增长滞缓会进一步缩减财政空间;白积洋、刘成奎(2022)计算发现地方政府债务与经济增长之间呈现倒“U”型关系,这一阈值是143.5%(财政空间占GDP比重);毛捷、马光荣(2022)总结了一下研究财政可持续性的方法分为四种:直接使用债务比率指标测算;通过地方政府面对债务压力的自身财政调整行为来衡量财政可持续性;构建指标体系以系统度量财政可持续性;预测未来的财政收支,进而评估未来的财政收入是否能支持未来的财政支出;吕冰洋等(2024)测算结果认为狭义政府债务仍具有可持续性,但空间在逐渐缩小。
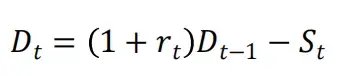
财政可持续性研究作为经济研究的一类内容,具有较为清晰的测算方法和研究体系。我们根据Ghosh et al(2013)的分析框架,政府跨期预算约束(IBC)条件如下:

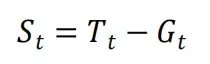
其中,Dt为政府债务余额,t为时间,rt为债务利率,St为基础财政盈余

其中,Tt为当期财政收入,Gt为当期财政支出。
在测算财政可持续性上,我们需要将政府债务累积求值:

可持续性的条件(非庞氏骗局条件)就是:

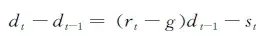
Bohn(1998、2005)认为,如果市场足够完善,就会存在金融资产中共同的贴现因子,作为不同时间点间预算约束的横截条件成立的充分条件。将以上指标均除以当期的国内生产总值Y,并令


,就可以得到政府负债率的动态方程:

其中,d为政府负债率,g是实际国内生产总值的增长率,s是基础盈余率。由该式我们可以看出,只要当年政府债务付息成本与经济增长红利的差小于当年的财政盈余,那么政府债务就可以减少。如果r大于g,那么s必须为正,而且大于

才能保证政府债务不增加。此种情况下,虽然政府无需确保每年财政收支平衡,但需要满足跨时预算约束。即使当前发生了财政赤字,存在政府债务,未来也需要创造财政盈余,以冲抵债务的增量。
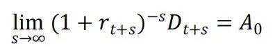
在实践中,我们假设末期债务的贴现值不等于0,等于

,即:

那么针对不同时期p来说,我们可以得出该期的债务率:

根据该公式,我们可以测算p期的

的值,如果拒绝

=0的原假设,就可以判断该期的债务率不可持续。
2
数据准备
由于上述公式中涉及财政收入、财政支出、政府债务以及政府融资利率、经济增长速度,我们需要对这些数据作相应的分析。针对财政收支,分为广义和狭义。杨志勇在《中国政府资产负债表(2019)》里指出:“广义政府部门由几种常住机构单位组成:一是所有的中央、省级或地方政府单位;二是所有政府单位控制的非市场非营利机构;三是社会保障基金,无论该基金是作为机构单位还是作为中央、省级或地方政府单位的一部分。”
在我国目前财政预算体系下,政府预算“四本账”由一般公共预算、政府性基金预算、国有资本经营预算、社会保险基金预算四本预算构成。第一本账是一般公共预算,安排用于保障和改善民生,推动经济社会发展,维护国家安全,维持国家机构正常运转等方面的收支预算。税收收入以及教育、科技等重要支出就在这本账里。这就是俗称的“狭义”财政收支。第二本账是政府性基金预算,依照法律行政法规的规定,在一定期限内向特定对象征收收取或者以其他方式筹集的资金,专项用于特定公共事业发展的收支预算。铁路建设基金、民航发展基金、土地出让收入和专项债也纳入在该本预算里。第三本账就是国有资本经营预算,是对国有资本收益作出支出安排的收支预算。企业向国家上交的国有资本收益及其支出就在这本账里。第四本账是社会保险基金预算,是对社会保险缴款一般公共预算安排和其他方式筹集的资金,专项用于社会保险的收支预算,比如企业职工基本养老保险基金收入,城乡居民基本医疗保险基金收入等。“四本账”虽然对应不同的用途,但彼此间可以存在一定资金往来:“第一本账”可以从“第二本账”与“第三本账”调入资金;“第二本账”在特殊情况下会从“第一本账”调入资金;“第四本账”可以接受来自一般公共预算的财政补贴,但“第四本账”不能调出资金,即专款专用,只进不出。我们按照狭义和广义两种口径来分析财政收入。

针对政府债务,中国政府债务主要来自于两个部门:中央政府和地方政府。按照杨志勇(2019)的说法:“当前中国还未完全建立政府财务会计制度体系。所以缺乏现实渠道来获取全面的政府资产负债相关信息,甚至连政府本身也不清楚自己所持有资产和所承担负债的状况。”我们无法使用权威的政府债务数据,目前可以得到的数据主要来自于杨志勇、NIFD(国家金融与发展实验室)和国际清算银行。杨志勇的广义政府负债范围最为广泛,包括外债以及或有负债、准公共部门发行的债券、地方政府或有负债、国有金融机构的不良资产以及社保基金缺口都囊括到政府负债中。但该数据时间序列较短,无法满足经济计量要求。

《中国政府资产负债表(2019)》又将狭义政府负债划分为:直接显性负债、或有和隐性负债两个部分。显性负债就是中央政府发行的国债和地方政府发行的一般债、专项债以及特殊再融资债等具有政府信用的政府债。

财政部并未完整公布我国政府隐性负债的历史数据,目前仅公布了几个年份的数据。比如在2024年11月4日在第十四届全国人民代表大会常务委员会第十二次会议《关于提请审议增加地方政府债务限额置换存量隐性债务的议案的说明》里公布的,截至2023年末全国地方政府隐性债务余额14.3万亿元;2015年8月24日在第十二届全国人民代表大会常务委员会第十六次会议上《关于提请审议批准2015年地方政府债务限额的议案的说明》里公布的,2014年末全国地方政府或有债务为8.6万亿;2013年《全国政府性债务审计结果》就提到截至2013年6月底,地方政府隐性债务(担保及或有偿还责任的债务)达9.58万亿元;2012年底为8.70万亿元。之前还有2011年的全国地方政府性债务审计,公布了2010年地方政府隐性债务(担保及或有偿还责任的债务)为4万亿元。杨志勇指出2014年以后,在各种公开数据中无法获得地方政府或有负债的全面数据。
市场上对中国地方政府隐性债务进行推测的机构较多,杨志勇(2019)认为国内的代表性研究主要是曹远征、马骏和李扬分别牵头的三个团队的研究。但最终持续跟踪和公布数值的只有李扬等公布的《中国国家资产负债表》(NIFD)。实际上除此之外IMF和国际清算银行也都有跟踪和计算。2021年12月IMF(国际货币基金组织)的《IMF国别报告第22/22号》,在“重新审视地方政府融资平台”指出中国2020年显性+隐性政府债务规模达94.9万亿元,其中地方隐性债务规模为48.6万亿元。
统计局给出的定义显示,宏观杠杆率用于衡量债务的可持续性,通常用债务余额与 GDP 之比来计算。用NIFD和国际清算银行公布的政府杠杆率可以倒推其统计的政府债务余额以及隐性债务规模。NIFD和国际清算银行在2015年之前统计口径一致,2015年之后两者分道扬镳,NIFD的政府杠杆率倒推后可以看出其政府债务接近于政府公开债务。李扬、张晓晶等在《中国国家资产负债表(2020版)》里指出,由于2015年《预算法》明确规定,除地方政府债券外,地方政府及其所属部门不得以任何方式举措债务。因此城投公司、PPP等形式可能存在的隐性债务均被计入企业部门,而不能重复计入政府部门。
杨志勇在《中国政府资产负债表(2019)》中按照谨慎性原则,估算时不考虑可能的新增(地方政府)隐性债务,仍采取2014年末的地方政府或有负债总额作为2014年以后各年度的地方政府或有负债总额。国际清算银行的或有债务规模也通过每年杠杆率倒推政府总负债,然后扣除公开债务记作隐性债务。同时本文也通过统计WIND里城投债有息负债(长期借款+应付债券)规模来测算每年地方政府隐性债务,各种口径结果如下:

从上图可以看出,国际清算银行对隐性债务的统计与WIND统计的城投债有息负债规模比较接近。这表明国际清算银行是以实际的城投公司融资总量继续统计。2024年财政部公布的2023年底政府隐性债务规模为14.3万亿,这明显高于NIFD的零,也低于国际清算银行的36万亿。
中央政府对隐性债务的处理政策在过去发生过较大的变化。2011年2月国务院办公厅印发《关于做好地方政府性债务审计工作的通知》,审计发现举债融资缺乏规范、债务监管不到位等问题,于是2012年12月财政部、发展改革委、人民银行、银监会联合印发《关于制止地方政府违法违规融资行为的通知》,要求地方政府充分认识制止违法违规融资行为的重要性和紧迫性,切实担负起加强地方政府性债务管理、防范财政金融风险的责任。到2014年9月国务院发布《关于加强地方政府性债务管理的意见》(国发〔2014〕43号),开始对地方政府债券、非政府债券形式的存量政府债务、存量或有债务等政府性债务,进行集中清理工作。2015年12月,财政部印发文件,明确将在三年左右的过渡期内,发行地方政府债券置换政府债务中非政府债券形式的存量债务。这是我国第一次对隐性债务进行债权置换。
2018年8月,中共中央、国务院发布《关于防范化解地方政府隐性债务风险的意见》和《地方政府隐性债务问责办法》。这两份文件明确了隐性债务范围,并要求地方政府在5-10年内完成隐性债务化解工作以及地方政府“终身问责、倒查责任”。时任财政部部长刘昆在第十三届全国人大常委会第五次会议上表示:坚决遏制隐性债务增量、妥善化解隐性债务存量、强化财政约束、终身问责、倒查责任。以及在十三届全国人大二次会议的新闻记者会上表示:坚持中央不救助原则,坚持谁举债谁负责,做到“谁家的孩子谁家抱”。这些反映出中央对于地方隐性债务的不兜底政策基调。
2024年财政部部长蓝佛安在十四届全国人大常委会第十二次会议的新闻发布会上以及之后发表的署名文章《加快落实一揽子隐性债务化解政策》中提到:今年全国人大常委会批准6万亿元债务限额;从2024年开始,我国将连续五年每年从新增地方政府专项债券中安排8000亿元,专门用于化债,累计可置换隐性债务4万亿元。2028年之前,地方需消化的隐性债务总额从14.3万亿元大幅降至2.3万亿元。一揽子隐性债务化解政策的出台,标志着我国化债工作思路实现四个“根本转变”。比如从应急处置向主动化解转变;一次性较大规模增加地方政府债务限额置换存量隐性债务,主动化解隐患等等。这也反映出中央政府对于地方化解债务问题起到协助作用。
为了尽量准确的衡量政府的收支以及对应的债务问题,在过去中央政府对地方隐性债务不同态度的情况下,我们将财政可持续性分析建立在狭义和广义的基础上,对隐性债务分为不救助和完全救助两种情景条件。由于政府公布的隐性债务数据较少,而且融资利率未公布,所以我们最终选择国际清算银行数据作为广义债务来进行持续性分析,具体形式如下:
第一种情况:狭义的财政收支情况和公开的政府债务总额(不救助所有隐性债务);
第二种情况:广义的财政收支情况和国际清算口径下的政府债务总额(救助所有城投债务)。
针对政府融资利率,对于政府公开债务,我们根据期限结构来测算加权政府收益率。由于无法得到准确的国债平均剩余期限,我们根据《关于2021年中央财政国债余额决算的说明》提到的“内债余额平均剩余期限为7.35年”,用7年期国债收益率作为国债融资成本。同时财政部每月公布《地方政府债券市场报告》里会公布地方政府债的发行期限,平均在10年以上,我们用10年期的地方政府债到期收益率作为地方政府融资成本。两者根据债券存量规模作为权重进行加权计算最终的政府收益率。对于隐性债务,利率水平目前还不确定,我们统计城投债时发现其平均期限为5年左右,评级以AA+以上为主,因此选择中债城投债(AA+)五年期到期收益率作为其融资利率,以上利率如下图所示:

3
测算结果
我们选择2002-2023年作为研究时间段,而且测算财政可持续性的时间从2012年开始。基期仍然选择1978年,用GDP平减指数来折算成实际值,并且对负债率d和基础盈余率s做25为参数的HP滤波处理得到潜在趋势值,滞后度选择2。
对于第一种情况,我们得到在t=2012至2023时的拟合情况,下面仅展示2012和2023年两年的情况:
2012:

拒绝原假设,也即A0=0所需条件为P值>0.05。这借鉴了《泡沫/通缩时期的日本经济与经济政策》系列中的论文《财政可持续性和财政管理评估》在评估日本财政可持续性中的方法。测算2012年以来的P值结果如下:

从结果来看,2012-2017年我国的狭义财政仍具有很强的可持续性,但2018年之后快速下降,2019和2020年P值已经低于0.05,财政压力陡增,这或许反映了中国经济部分受疫情的影响。2022年至2023年P值再次回落,但仍在0.05以上,财政可持续性仍安全,但2023年的P值为0.05,处于警戒线位置,需要我们高度关注。
对于第二种情况,我们得到在t=2012至2023时的拟合情况,下面仅展示2012和2023年两年的情况:


从结果来看,2013-2015年我国的广义财政快速恶化,2016年之后P值就已经持续低于0.05,这表明广义财政可持续性存在压力,政府对所有城投债并不具备全部兜底能力。隐性债务的规模影响着财政可持续性的安全,因此2014年新《预算法》和国发43号文要求剥离融资平台的政府融资职能,对城投企业提出了市场化转型发展要求。2023年政府公布的隐性债务只有14.3万亿,而并非国际清算银行所统计的政府隐性债务。
需要指出的是,由于没有政府公布的隐性债务过去完整的时间序列,以上测算仅是在假设条件下做的预估,不能作为财政准确的可持续性评估结果。另外对A0=0所需P值条件仅是评估财政可持续性的方法之一,后续我们还会运用其他方法再做评估,综合分析和评判之后才能更准确的评估我国财政可持续性。
4
政策建议
从上面的测算结果来看,虽然狭义的财政可持续性还在安全范围之内,但受制于近几年疫情冲击和房地产、人口以及债务周期调整的影响,财政赤字还会逐年扩大,这无疑会影响未来的财政可持续性。同时隐性债务的化解工作也给中央财政带来压力,也正是在这种背景下,今年出台了一揽子化解债务的方案。当然我们也需要清醒的认识,这只是从隐性转化成显性,而债务仍待偿还消解。
针对政府偿债能力的分析,李扬等(2020年)认为总体上地方政府不存在显著的资不抵债的清偿风险,原因在于,中国地方政府手中控制着大量的资产,基本上规模都明显超过债务。杨志勇(2021)认为:我们面对的是财政政策如何更加有效的问题。必须考虑存量转化为收入来解决问题的思路,要构建政府综合财务报告体系,特别是政府资产负债表。地方政府资产必须要在解决地方债务风险问题中发挥作用。
在具体的化债方法上,国务院2016年曾发布《地方政府性债务风险应急处置预案》,要求市县政府年度一般债务付息支出超过当年一般公共预算支出10%或专项债务付息支出超过当年政府性基金预算支出10%的,债务管理领导小组或债务应急领导小组必须启动财政重整计划,市县债务管理领导小组或债务应急领导小组认为确有必要时,可以启动财政重整计划。2018年发布的《国务院办公厅关于保持基础设施领域补短板力度的指导意见》(国办发【2018】101号)提及“在不增加地方政府隐性债务规模的前提下,对存量隐性债务难以偿还的,允许融资品该公司在与金融机构协商的基础上采取适当展期、债务重组等方式维持资金周转”。2023年发布的《关于金融支持融资平台债务风险化解的指导意见》(国办发[2023]35号)要求“对于地方政府融资平台和12个高风险重点省份内参照地方政府平台管理的国有企业(新设平台),只能借新还旧,不能新增融资;对于其他省份参照地方政府平台管理的国有企业(新设平台),需要省级政府出具同意文件,才可以新增融资;对于普通国有企业,可以新增融资,但是债务由企业自己负责”。
从上述分析来看,我国政府所拥有资产仍大于负债,短期偿债问题不大。但未来的财政可持续性主要取决于财政的提质增效和隐性债务的和谐化解上。提质增效主要依靠财税体制化改革的推进,隐性债务的和谐化解需要完整的方案以及经济的持续增长。我们建议在经济体制改革的体系下进行加快财税体制改革,同时提出整体的和谐化债方案,配套的经济发展规划,以及破产制度建立。
(本文作者介绍:长城证券宏观经济学家)