意见领袖 | 蒋飞
►►►核心观点
在《拉姆塞模型视角下的中国经济》中我们运用拉姆塞模型分析了中国经济走势,但仍存留一些问题未解决。比如为何储蓄率的上升会导致长期经济增长速度的下降?本文运用内生增长模型对中国经济再次进行分析,解答在拉姆塞模型中遗留下的问题。
根据实证研究,我们发现中国经济中的知识存量与资本存量之间存在干中学模型,不支持储蓄率提升会降低未来技术增长速度的观点。但同时我们发现人口增长速度也受资本存量的影响。扩展后的内生增长模型发现资本存量的增长会抑制人口(劳动力)的增长,提高储蓄率会加快资本存量和人口的下降速度。
基于研究,建议政策上:首先,减少对经济的不当干预,让储蓄率自然下降;其次,加大引进国外优质劳动力和提高国内生育水平。最后,提振教育和鼓励创新,提高知识资本弹性系数。
正文
在《拉姆塞模型视角下的中国经济》中我们运用拉姆塞模型分析了中国经济走势,但仍存留一些问题未解决。比如为何储蓄率的上升会导致长期经济增长速度的下降?储蓄率如何影响未来经济增速?技术发展如何影响资本回报率?在索洛模型中,储蓄率的上升只会短暂的提升资本存量的增速,最终经济增速还是会回归到人口和技术增长的长期速度上,储蓄率对技术增长并无影响。在拉姆塞模型中也没有对上述问题作出解释,只能将其归结为资本回报率的下降。而在内生增长模型里,储蓄率的上升对长期经济增长具有直观的影响方式。本文运用内生增长模型对中国经济再次进行分析,解答在拉姆塞模型中遗留下的问题。
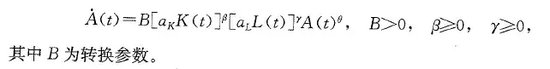
内生增长模型是主要考虑经济内在增长来源的理论,比索洛模型和拉姆塞模型多出一个知识积累(劳动效率)的变量,更直观的考察技术进步是如何影响经济增长,并且又是什么在影响技术进步。通过在经济中引入一个生产新知识的部门,并刻画资源如何在传统的生产部门和新的研发部门之间进行分配来得出新的生产函数。
标准的内生增长模型生产函数如下:

其中,

表示劳动力中用于研发的比例,

表示资本中用于研发的比例,A为所有知识存量,其他指标不变。
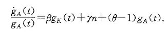
为了考察知识的增长规律,上述生产函数可以转化为如下方式:


、

和θ分别表示资本、劳动以及知识存量对技术增长的影响系数。
最后我们可以得出:


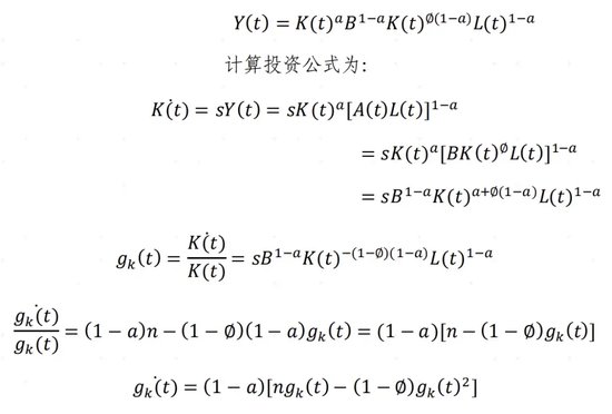
在拉姆塞模型中我们将部分知识算入到劳动投入量,在内生增长模型中我们需要将该部分剥离出来。因此这里的劳动量仍是经济活动人数。我们将数据带入方程,计算这些系数的大小,结果如下:


=12.32%,调整后

=5.6%。从回归后的结果可知,

,在内生增长模型中属于资本和知识均长期增长的经济状态。这显然与资本的长期增长率会降至零的规律相矛盾,经济也不会收敛于平衡模式中。由于模拟效果不好,我们需要换一种内生增长模式进行研究。

1
干中学模型
阿罗于1962年提出了“干中学”(learning by doing)模型,把从事生产的人获得知识的过程内生于模型,指在生产和物质资本积累过程中引起的劳动生产率提高和技术外溢。

同理:

其中,

为知识资本弹性系数。在这个模型中,知识只与资本投入有关,简化了内生增长模型。根据我们的数据可以得出如下结果:

上图显示出知识存量和资本存量之间存在幂函数关系,并且根据此可得出中国的干中学模型展示如下:

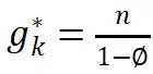
其中

对于长期经济增长的影响:

当

<1时,

与

之间呈现出二次方程抛物线关系,当

=0时,

。人口(劳动力)增速决定了未来长期经济增速。

未来经济的长期增速取决于人口(劳动力)增长率和知识资本弹性系数。这样就可以看出,全要素生产率的提高并不是外生的,其受到资本存量的束缚,而投资的长期增长又由人口(劳动力)增速决定,全要素生产率的增长也与人口增速有关。这样我们就可以将2000年和2012年两次经济转型后长期经济增长率下降的原因归结于人口(劳动力)增长率的下降,而非全要素生产率(知识资本弹性)的下降。知识资本弹性系数

几乎保持不变。
2
知识存量与劳动投入量
在索洛增长模型中,除了劳动力和资本之外的增长因素被称为索洛余量,该余量被用来衡量全要素生产率。但在内生增长模型中,除了劳动力和资本之外的增长因素被看作知识存量。尤其是干中学模型中,知识存量来源于资本投入,但作用于劳动力。在拉姆塞模型中,我们将劳动投入量作为一种变量引入生产函数中,其中提到中国的劳动投入量中的劳动时间数据缺失。我们使用了《再议中国潜在经济增速》中的方法,用劳动收入来代替劳动时间计算劳动投入量,并指出此举可能会引发劳动者知识量算入劳动投入量的影响。从劳动投入量的增速与劳动者报酬的增速历史走势一致可以看出有效劳动的增长已被涵盖到了劳动投入量中。
本文将除了劳动力数量之外的劳动投入量视为知识存量的一部分,这样我们就可以将干中学模型中的所有知识存量(A)与拉姆塞模型中的资本技术部分(Ακ)以及劳动力的技术部分(

)相结合在一起。如图所示,干中学模型中的全部知识存量与拉姆塞模型中的劳动技术部分和资本技术部门相结合的走势接近一致。这说明中国的生产函数中的全要素生产率基本上可以等同于干中学模型中的知识存量,并且这种知识技术的增长几乎全部来自于资本投入,但大部分体现到职工的技能提升上。这些人力资本的增长也通过劳动者报酬的增长体现了出来。

我们将资本存量与Ακ进行回归,可以发现在改革开放之后的最初几年里(1978-1994年),资本技术的增长较快,但波动幅度也特别大,之后不断收敛,直至2003以后Ακ恒定在4中枢水平上。由此我们可以得出如下生产函数:


在Aκ稳定的时期,中国的生产函数类似于C-D模型,也即:

3
扩展的内生增长模型
由图2,我们可以发现1991年之前劳动力增速较高,1992年之后不断回落,直到2016年转为负增长,并且下降速度还在加快,我国劳动力从富裕向贫乏转变。而且根据OECD对我国劳动力的预测未来还会呈现负增长,这就说明了为何我国长期经济增长率会不断下降。
从上述公式,我们可以看出,储蓄率对资本存量增速的影响只能是一次性的提高,而改变不了其未来不断收敛的规律。如果能持续提高

,让资本产生的技术和知识存量增速提高来对冲人口(劳动力)增速下降,那么就可以保持较高的长期经济增长率。
从资本回报率的公式:

可以看出:决定资本回报率高低的因素除了a之外,还有

。根据干中学模型,当

>1时,资本存量和经济会出现爆炸性增长;当

<1,资本存量增速将逐渐收敛至

(当n=0时,

会收敛于0),经济的长期增长率就基本上由人口增长率决定。当

=1,且n=0时,

,

,MPK=b是一个恒定值,与资本存量脱离关系,资本的边际报酬递减规律被打破。
同时储蓄率s和资本回报率MPK一样都是内生的,但如果政府实施的赶超政策让储蓄率s高于内生增长模型,则s上升速度会超过

,MPK下降速度加快。从结构上来看,资本回报率下降的主要原因就在于资本存量的过快上升

。

截至目前我们回答了未来长期经济增长下降的主要原因是人口增速的下降,同时储蓄率的提升会降低资本回报率,下面我们需要回答:储蓄率的上升是否会降低未来人口增速?我们在前期系列报告《中国生育率研究》和《中国人口趋势研判及建议》中已经发现,出生率与一国的宏观杠杆率有关,宏观杠杆率上升越快,出生率下降越快。同时边际消费倾向与货币流通速度走势一致,其中储蓄率等同于边际消费倾向,货币流通速度等同于宏观杠杆率(贷款余额/GDP或M2/GDP)。所以提高储蓄率等同于提高了宏观杠杆率,降低了出生率,进而降低了人口增速和劳动力增速。

在封闭的社会中,人口(或劳动力)增长速度由国内经济社会结构决定。由此我们可以得出扩展的内生增长模型,将人口增速n的决定函数并入到模型体系中。

同时:


两边同时求导,得出:


在

的情况下,人口(劳动力)增速n将随着资本存量的增长而下降,而人口总量则呈现出快速增长到慢速增长,甚至下降的整个过程。所以储蓄率的人为提升,会导致资本存量的增速显著提高,进而快速降低人口(劳动力)增速,由此带来拉姆塞模型的转轨。

投资的加速度与资本存量增速之间呈现单边关系,由此可以看出,该经济增长不存在稳定状态。由于1-a>0,如果

,那么该经济就会持续发散增长,人口增速也持续上升;如果

,那么该国经济将持续下降,人口增速也持续减少。根据中国劳动力数量和资本存量的对数之间关系,我们拟合测算得到两者之间的函数关系为:

所以在上述模型中,中国的资本增速和人口(劳动力)增速还会继续下降,并且持续维持较高的储蓄率,会造成未来经济下滑的速度更快。由此,我们必须高度关注投资-消费政策,纠正经济失衡状态,减少对经济的不当干预,让储蓄率自然下降。同时应加快劳动力市场的对外开放,加大国内外劳动力的流动,积极吸引国外优质劳动力;提高科技进步速度,提升高等教育和职工教育质量。

参考文献:
《高级宏观经济学》第四版.罗默
风险提示
国内宏观经济政策不及预期;数据提取不及时;财政政策、货币政策超预期;模型假设较现实条件更严格;模型本身与真实世界存在偏差的风险。
(本文作者介绍:长城证券宏观经济学家)