意见领袖丨许宪春
一、 生产角度
1、工业增加值增速延续了2023年回升的走势
2023年月度规模以上工业增加值增速呈现回升走势,最高为12月份的6.8%,最低为1-2月份的2.4%,虽然中间有波动,但整体上是回升的。今年1-2月份增长7%,比2023年12月份提高0.2个百分点,延续了2023年回升走势。

图1 2023年1-2月份至2024年1-2月份规上工业增加值实际增长率
2010年之后,中国经济增速不断回落,现在的规模以上工业增加值增速能达到7%,是很不错的。规模以上工业增加值增速为什么会保持回升的走势?为什么能达到7%的增速?
1)从三大门类来看,规模以上工业增加值增速回升主要是由制造业增加值增速回升带动的。就三大门类的表现而言,1-2月份采矿业增加值同比增长2.3%,增速较低,呈回落走势;制造业增加值增长7.7%,电力、热力、燃气及水生产和供应业增加值增长7.9%。后两个门类增加值增速都比2023年12月份提高了0.6个百分点,但它们对工业带动作用不同。制造业增加值占比大,所以它对规模以上工业增加值增速回升起主要作用。
2)制造业中,高技术制造业和消费品制造业增加值增速回升幅度比较大,对制造业增加值增速回升起到重要带动作用。具体而言,1-2月份,高技术制造业增加值增长7.5%,比2023年12月份加快1.1个百分点,增幅相对较大;受春节假日消费以及海外市场需求改善共同带动,消费品制造业增加值同比增长4.7%,增速不高,但与2023年12月份相比,回升了4.4个百分点,回升幅度非常明显,结束了2022年4月份以后连续低速增长或下降的走势。
3)分经济类型看,股份制企业增加值增速对规模以上工业增加值增速起到主要拉动作用。具体而言,1-2月份,国有控股企业增加值同比增长5.8%,股份制企业增长7.3%,外商及港澳台商投资企业增长6.2%,私营企业增长6.5%。其中比较突出的是股份制企业,其增速高于规模以上工业增加值7%的增速,因此对规模以上工业增加值增速起到主要拉动作用。
4)工业出口由降转增对工业增加值增速回升起到重要作用。1-2月份,规模以上工业出口交货值由2023年12月份同比下降3.2%转为增长0.4%,回升3.6个百分点,结束了此前连续八个月下降走势。在10大出口行业中,有8个行业出口增速较2023年12月份加快或降幅收窄,其中铁路船舶航空航天、金属制品和通用设备等行业出口分别增长32.6%、20.4%、12.3%;汽车行业出口增速虽有所回落,但仍保持13.0%的两位数增长;消费品制造业出口受海外需求改善拉动,出口增速由上年12月下降10.6%转为增长4.0%。
5)基数作用和趋势作用均对工业增加值增速回升产生影响。一是基数作用,2023年,规模以上工业增加值增速呈上升走势,1-2月份增速最低,仅增长2.4%,所以2024年1-2月份增速较高,基数较低是重要影响因素;二是趋势作用,2023年12月份规模以上工业增加值增长6.8%是在上年同期仅增长1.3%的基础上实现的,剔除基数的影响,从两年平均看,1-2月份两年平均增长4.7%,较2023年12月份加快0.7个百分点。因此,工业增加值增速回升有两方面因素:一是基数比较低,导致增速比较高;二是它本身也呈上升的走势。
2、建筑业增加值有望保持较快增长
2023年,建筑业增加值增长7.1%,比第二产业增加值增速高出2.4个百分点。一至四季度,建筑业增加值分别增长6.7%、8.2%、6.6%、6.7%,均高于工业增加值增速,对第二产业增长作出重要贡献。
由于固定资产投资(不含农户)增速比2023年提高,建筑业增加值有望保持较快增长。2023年固定资产投资增速并不高,只有3%的增长,但它的价格是下降的,所以对建筑业增加值有向上带动作用。今年1-2月份,固定资产投资增速比2023年全年提高了1.2个百分点,而且PPI降幅并没有明显收窄,所以建筑业增加值还会保持较快增长。
3、服务业增加值增速可能有所回落,现代服务业增加值保持较快增长
1-2月份,全国服务业生产指数同比增长5.8%,比2023年12月份回落2.7个百分点。其中,住宿和餐饮业,交通运输、仓储和邮政业,批发和零售业生产指数分别增长12.1%、7.1%、7.0%,增速较快。这些接触型服务业受疫情影响较大,2023年1-2月份恢复得不太好,今年1-2月份增速较快也有基数的影响。
就现代服务业来看,信息传输、软件和信息技术服务业与金融业生产指数同比分别增长10.4%和8.2%,增速较高。疫情爆发以来,信息传输、软件和信息技术服务业一直保持两位数增长,包括2020年一季度GDP下降6.9%时,它保持了14.6%的快速增长。目前增速虽然有所回落,但仍然保持两位数,对一季度以及今年全年服务业增长也会起到重要作用。疫情期间,聚集性服务业受到的影响比较大,疫情之后其增速较快,但恢复到一定程度以后,有可能回归正常水平。但新动能,特别是信息传输、软件和信息技术服务业还会保持较快增长。

图2 2020–2024年1-2月服务业生产指数同比增长率
二、需求角度
1、消费需求贡献率可能会有所回落,新消费业态有望加快增长
2023年,消费需求对经济增长的贡献率为82.5%,是历史上比较高的贡献率,经济增长5.2个百分点中有4.3个百分点是由消费需求拉动的。今年消费需求对经济增长还会起到主要的拉动作用,但相比去年贡献率可能会有所回落。
新消费业态有望加快增长。1-2月份,社会消费品零售总额同比增速为5.5%,比2023年12月份回落1.9个百分点,比2023年全年回落1.7个百分点;服务零售额增长12.3%,比2023年全年回落7.7个百分点。
1-2月份,全国实物商品网上零售额同比增长14.4%,比2023年全年加快6.0个百分点,比社会消费品零售额增速快8.9个百分点,对社会消费品零售总额的增长起到重要支撑。

图3 2020–2024年1-2月份社会消费品零售总额同比增长率
2、投资需求增速有望有所回升,高技术产业投资有望保持较快增长
1-2月份,固定资产投资(不含农户)同比增长4.2%,增速比2023年全年回升1.2个百分点。
分领域看,制造业投资增长9.4%,增速回升2.9个百分点;基础设施投资增长6.3%,增速回升0.4个百分点;房地产开发投资下降9.0%,降幅收窄0.6个百分点。其中,制造业投资较快增长对固定资产投资增速回升起到重要拉动作用。但房地产开发投资对固定资产投资增速的拖累比较明显,2022年房地产开发投资下降10%,2023年又下降了9.6%,今年1-2月份下降9%。
1-2月份,高技术产业投资增长9.4%,其中高技术制造业和高技术服务业投资分别增长10%和7.8%,保持了较快增长。

图4 2020–2024年1-2月固定资产投资增长率
3、净出口需求有望回升,货物出口结构继续优化
1-2月份,货物进出口总额同比增长8.7%。其中,出口增长10.3%;进口增长6.7%。2023年,净出口需求向下拉动经济增长0.6个百分点。2024年一季度,净出口需求有望对经济增长起到向上拉动作用。
一季度,消费需求对经济增长的贡献率可能会有所回落,但投资需求、净出口需求贡献率可能会有所提升。所以,一季度经济增长可能会达到5%甚至略高的水平。
三、收入角度
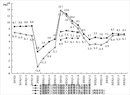
1、居民收入有望继续保持平稳增长
2023年,全国居民人均可支配收入同比名义增长6.3%,实际增长6.1%,分别比上年回升1.3和3.2个百分点,居民收入平稳增长。今年一季度经济能够保持平稳增长,所以,居民收入也能保持平稳增长。2023年居民收入增长快于GDP增长,今年也会保持这种态势。

图5 2019–2023年全国居民人均可支配收入季度累计同比名义和实际增长率
2、规模以上工业企业利润总额实现较快增长
2024年1-2月份,规模以上工业企业利润总额同比增长10.2%,由2023年全年下降2.3%转为较快增长。具体情况而言,1-2月份,在41个工业大类行业中,有29个行业利润总额同比增长,增长面为70.7%,比2023年全年扩大4.8个百分点。
分门类看,制造业、电力热力燃气及水生产和供应业利润总额分别增长17.4%、63.1%,均实现快速增长;采矿业利润总额下降21.1%。
装备制造业利润增速明显加快,高技术制造业利润实现较快增长;消费品制造业利润持续恢复。

图6 2020—2024年1-2月份规模以上工业企业利润总额月度累计名义增长率
四、价格角度
1、消费领域:居民消费价格由降转涨,核心CPI涨幅回升
1-2月份,全国居民消费价格(CPI)同比持平,1月份下降0.8%,而2月份上涨0.7%,改变了2023年下降的走势。扣除食品和能源价格后的核心CPI同比上涨0.8%,其中2月份同比上涨1.2%,涨幅比1月扩大0.8个百分点。
2024年居民消费价格涨幅有可能略高于2023年涨幅。目前消费需求不足,所以CPI涨幅明显上升的可能性不大。

图7 2020–2024年1-2月份CPI月度同比上涨率
2、生产领域:工业生产者出厂价格持续下降
1-2月份,全国工业生产者出厂价格(PPI)同比下降2.6%。分月看,1月份同比下降2.5%;2月份同比下降2.7%。
如图示,2021年10月份PPI同比上涨13.5%,随后涨幅持续回落,一直回落到2023年6月份5.4%的下降,当前基本上保持比较平稳的下降幅度。全国工业生产者出厂价格对工业企业利润影响比较大,它上涨幅度较高的时候,工业企业利润往往增速较高;它下降幅度较大的时候,工业企业利润往往降幅较大。

图8 2019–2024年1-2月份PPI月度同比上涨率
五、总结
从生产角度看,2024年一季度经济有望保持平稳增长,其中工业增加值增速延续2023年回升走势,建筑业增加值有望保持较快增长,服务业增加值增速可能会有所回落,但还是保持较快增长。
从需求角度看,2024年一季度,消费需求贡献率可能会有所回落,但对经济增长还是起到主要拉动作用,新消费业态有望加快增长;投资需求增速有望回升,高技术制造业投资有望保持较快增长,净出口需求增速有望回升,对经济增长有望实现正的贡献,货物出口结构继续优化。
从收入角度看,居民收入有望继续保持平稳增长;规模以上工业企业利润总额实现较快增长。
从价格角度看,居民消费价格由降转涨,核心CPI涨幅回升;工业生产者出厂价格指数持续下降。
以下观点整理自许宪春在CMF季度论坛(2024年第一季度)上的发言
(本文作者介绍:CF40学术顾问、国家统计局原副局长)