文/意见领袖专栏作家 周天勇
笔者为研究中国二元体制经济,写了一篇感言。记述了自己从事此项研究的起因、过程和结果。拟在公众号中连载,今天发出章回之十最后一篇。请朋友们批评指正。

这次章回有点长,4800字。对数理算式生疏的朋友们可以只看文字部分,定性方面道理也说的很清楚。特别是我们为什么总需求不足,可以读过文字而了然。
实事求是、解放思想
44年前,我们在理论上提出了实践是检验真理的唯一标准。中国未来的经济增长严格按照目前假定为市场经济体制的数理逻辑和方法推算,从要素投入产出仿真和广义技术进步全要素生产率变动预测,前面章回中进行了讨论,实现中高速度增长的概率很小,大概率是2%左右的低速度增长。用现代经济学(笔者并不否认现代经济学在分析大多数经济体的科学性)的数理逻辑和方法进行推演,中国的未来,似乎山穷水复疑无路。
那么,中国未来的经济增长如何推演判断,到底还有没有中高速度的增长?笔者觉得也要根据中国具体国情,实事求是和解放思想,寻找符合中国体制条件经济增长的数理逻辑和分析方法。
前面已述,实际的国情是,中国是一个特长周期转轨的二元经济体制国家,并不是一个已经完成并轨的一元市场经济国家。中国生产、收入、消费和资产各领域中,与市场经济标准值相比存在着许多二元体制扭曲值,存在着各个领域中大量的生产、消费和价值方面的损失,存在着大量资源、要素、需求和资产的浪费、闲置和低利用。反过来说明生产、消费和资产领域中也存在着大量的体制性剩余,如果像前三次一样,启动大力度的体制改革纠正扭曲,利用巨额的体制扭曲性剩余,释放被体制禁锢的各方面的生产、消费和价值潜能,无论是从二元体制内生经济增长数理逻辑,还是从1978年我们曾经经历的伟大实践,未来还会有巨大的经济增长动力。如果2023年启动大力度的市场化改革,给各经济主体以稳定的预期和信心,中国的未来肯定会柳暗花明又一村,前景一片光明,发展充满希望。
符合中国体制国情的供给侧增长算式
未来通过体制改革获得新经济增长潜能来自于这些方面:一是建立城乡统一、同地同价、公平竞争的土地和房屋市场,工业化和城市化中后期土地与房屋零到市场价交易额回落并平稳,其溢值合并进入资产化改革TFP之中;二是考虑土地要素体制性剩余规模不小,如果将其贴入仿真经济增长的潜能,需要将对数型两结构投入产出算式改变为三结构投入产出算式;三是将劳动力、资本和土地不同要素配置领域的市场经济标准值和二元体制扭曲值内生地置入生产增长函数之中。
于是有算式(8):如果推进大力度的供给侧改革,在二元体制自然经济增长之外,能够获得的新经济增长潜能。

Grp—未来供给侧改革GDP增长潜能,Lv—农村土地面积,Lr—农村土地交易率,pL—农村土地价格,Hv—农村房屋面积,Hr—农村住宅交易率,Ph—农村住宅交易价格,mi—体制改革强度, i=1,2,3,……n,.n—改革年数。a+b+c=1。
而GDP总增长为自然增长速度(5)式加改革开放释放的增长潜能算式(8)式。
算式(9):未来体制改革与经济总增长内生数理仿真与推演。

⊿Gp/G为供给侧经济增长。这里需要说明的是,n是改革时限的安排,也许是5年,也许是15年,……,可以有多种选项,决定于每一改革事项的先后顺序和时间长短。而m则是当年安排改革的强度参数,即被释放的体制性剩余在某时段中占总剩余的比例。如产品市场化和劳动力要素市场化改革使增长潜能在短时间内爆发式释放,而土地和房屋资产化改革对增长潜能的释放较为平缓和持久。但从前三次大力度改革对经济潜能释放的增长曲线看,结果为经济增长呈倒V形状,实际是改革强度系数m作用的一种倒V型奇点式分布。
与1998年到2021年不一样的是,地方土地财政零到市场价溢值需要改革,农村集体土地同地同权同价进入土地交易市场,过去大规模的城市化和工业化土地需求到了中后期,建设用地交易规模下降,农村住宅和城乡土地零到市场价溢值占GDP比例也会下降,因此将其一并计入资产零到市场价格溢值TFP之中。
还是需要从体制扭曲去描述中国的生产过剩和总需求不足
萨伊认为,供给可以自动创造需求。因此,不需要从需求方面的考虑对生产增长的推动。然而,一是20世纪30年代末的大萧条,其实就是总需求不足的生产过剩和经济危机。凯恩斯因此创立了主张政府经济扩张政策调节的宏观经济学。于是国民经济也有了其需求侧的增长函数。也就是说,经济增长不仅取决于资源条件和生产能力,也决定于生产品市场需求的可能性边界。
二是当人口上行增长时,总体上需求也在不断地扩张,这时生产会自动创造需求。其实是人口规模扩大而日益增长的消费,给生产增长也创造了扩张着的市场需求可能性边界。但随着北半球国家人口自然增长速度的放慢,人口老龄化加剧,一些国家人口规模开始收缩,原来日益扩大的生产自动创造日益增加的需求之萨伊正定理,变成了日益相对和绝对收缩的消费需求要求生产能力不断自动地进行缩小和出清之萨伊反定理。
从中国宏观经济运行总态势看,总供给过剩和总需求不足是矛盾的主要方面,而总需求不足的关键是居民收入和消费占GDP的比例过低。因此,也不能教科书式地从投资、消费和进出口三大需求增长与生产侧GDP增长平衡与否考虑调整的对策。因为简单用现代宏观经济学的需求增长函数分析,从总量上看,在生产过剩和流动性不足情况下,注意力还是放在财政和货币扩张政策方面。从根本上解决问题,这是没有用的。
需要指出的是,在中国的收入分配和需求领域中,毫无疑问,也存在着二元体制扭曲,也形成了差值,也导致了消费需求的损失。中国宏观经济运行需求不足,仍然是二元体制扭曲造成的。如果认清其内在问题,改革这些体制,则会释放大量的消费潜能。从而改善总需求与总供给的失衡,促使经济均衡增长。
居民收入消费低造成的严重的生产过剩
那么,中国20世纪第2个10年二元体制消费需求的问题来自于哪里?1983年时,中国居民可支配总收入和消费总支出占GDP比例分别为62.47%和51.92%,到了2021年下降为43.39%和29.77%。38年时间,分别下降了19.08和22.15个百分点。
从国际主要国家居民收入占GDP比例看,标准值一般应当在60%—65%之间,消费标准值一般应当在50%到60%之间。居民收入占GDP比例下降,消费需求相应也下降,造成了市场消费需求规模以及总需求的逐步和强烈收缩。
消费需求不足二元体制扭曲总算式(10):

-Dmi—居民收入分配占GDP的扭曲造成的消费需求损失,(ymi-xmi)—居民收入占GDP比率的标准值减去实际扭曲值,MIR—居民收入消费率,CIR—GDP的霍夫曼比率。
人口生育干预、人口迁移管制、土地出让交易分配扭曲、高房价四大原因叠加,其造成的消费需求损失,从供给方面看就是产品生产的市场容量被压缩。这种居民消费需求的收缩年年发生且不断加剧,但是生产能力,特别厂房、机器、生产线等不能即时出清,造成严重的生产过剩。
GDP产能过剩率算式(11):

GSR—GDP产能过剩率。
居民收入消费水平低的深层次体制扭曲原因
那么,为什么居民收入和消费占GDP的比例从90年代起,特别是进入21世纪后,逐步下降?从“生产—收入—分配—消费”的逻辑链看,有这样四大深层次原因。
算式(12):生育管制的居民消费需求收缩后果。

-Ci1—因前20年生育管制造成的消费需求损失,POt-20—20年后的总人口,ypo—未实行计划生育国家20年前人口自然增长率标准值,xpo—中国20年前人口自然增长率扭曲值,IMa—居民人均可支配收入,WR—人口劳动参与率,W—总就业劳动力。
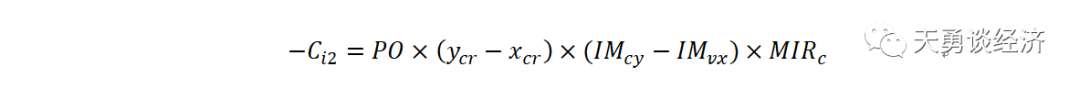
算式(13):阻碍人口迁移的居民收入消费需求收缩后果。

-Ci2—人口迁移体制扭曲造成的居民消费需求收缩规模,PO—总人口,ycr—未进行户籍管制国家的人口城市化比率,xcr—中国人口城市化比率,IMcy—城镇居民人均可支配收入,IMcx—农村居民人均可支配收入,MIRc—城镇居民收入消费率。
算式(14):土地收入分配扭曲造成的农村居民消费需求损失。

-Ci3—土地出让收入分配扭曲造成的农村居民消费需求损失,Lv—出让土地面积,P—出让土地价格,(1-0)—农村土地禁止交易无市场无价格与出让土地有市场有价格差值,yt—市场经济土地交易税收标准值,xt—二元体制交易政府收入比例,zc—集体提留比率,MIRsv—农村居民资产性收入消费率。
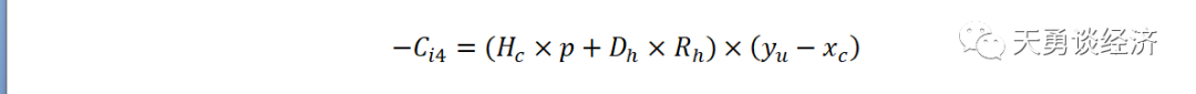
算式(15):高房价转移居民收入和挤出居民消费需求。
城镇住宅开发、建设和销售单一渠道扭曲体制导致中国房价收入比远高于合理范围,这实际是对居民收入的一种转移。将中国体制扭曲下房价收入比作为扭曲值,将市场经济多元住宅供给和世界公认的合理房价收入比作为标准值,则高房价下挤出居民消费而形成的需求收缩为:

-Ci4—高房价挤出的居民消费需求,Hc—房地产开发商商品住宅销售面积,P—商品住宅每平方建筑面积价格,Dh—个人住宅贷款余额,Rh—居民房屋贷款利率,yu—联合国人居组织提倡房价收入比,xc—中国房价收入比。
居民收入和消费体制改革的需求侧增长潜能
从需求总量看,其主要问题是居民收入占GDP比例过低造成了居民有支付能力的消费需求不足。因此,总体的方向是改革人口迁移若干体制,改革土地交易方式和分配体制,改革住房供给体制,完善政府提供公共基础设施、公共服务、养老医疗保障和居住保障等方面体制,在n年中使扭曲值x向标准值y靠近,提高居民收入占GDP的比例,扩大有支付能力的居民消费需求,可以获得经济增长需求方面的潜能。
算式(16):提高居民收入消费GDP占比的增长总潜能。

G—国内生产总值,Gdi—需求侧由于改革扭曲的居民收入分配和消费体制新增的GDP,mi—居民收入分配和消费体制改革强度, i=1,2,3,……n,.n—改革年数。
居民收入分配和消费体制改革的五大内容
第一,改革户籍管理及其附加的子女教育、购置房车、住房供应和社会保障等体制,促进人口从低收入的乡村和区域向高收入的城镇和区域流动。
第二,停止零地价征收农民土地和地方政府垄断出让及获得交易收入的体制,农村土地同地同权同价进入建设市场,农民获得土地收入,政府收取相关税收。
第三,放开农村住宅的交易,促进城乡人口双向流动。农村到城镇的迁移人口,可以获得额外的交易收入,可以替代完全由务工收入支付的一部分购房首付和房租,可以以此为本创业经营获得收入,从而增强进城新市民的消费能力。而城镇向城郊和农村流动的居民,可以将原有的房屋出售或者出租,在农村购买价格较低的住宅,从而增加城郊和农村居住人口的消费能力和规模。
第四,住宅由房地产商一条渠道开发建设销售的体制,向个人家庭、居住合作社、企业、房地产商、地方政府投资建设供给以及租售并举的多元供给体制改革,使目前10以上的居民收入房价比降低到6以下,增强居民的消费需求能力。
第五,交通等公共基础设施是公共产品,取消收费;教育和医疗是公共服务,应当免费提供;城乡基本社会养老应当公平,由社保基金统一保障;地方政府应当对低收入居民,特别是农村向城镇转移的新移民提供廉租房。
总之,政府在上述公共责任方面不应该缺位和越位,不应当将教育、医疗、住房和土地等,都当成挣钱的生意来做。促进共同富裕,应当从这个方面加大努力。
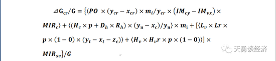
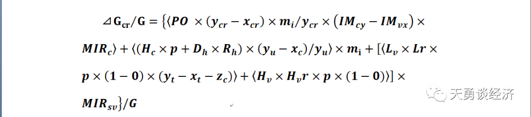
缩小扭曲差值的需求侧总经济增长算式
算式(17)需求侧居民收入和消费体制改革获得的GDP增长潜力为:

⊿Gcr—需求侧居民收入和消费体制改革获得的GDP增长潜力,mi—居民收入分配和消费体制改革强度, i=1,2,3,……n,∑mi=1.n—改革年数。Lr—农村各类土地交易率,p—农村土地或住宅交易价格,Hv—农村居民住宅面积,Hvr—农村住宅交易率,1—允许交易,0—禁止交易。
算式17需要说明的是,放开人口迁移、城乡双向流动和推动市民化的城市化,其增长潜能的爆发与户籍等体制放开有关,因此有当年放开的强度系数m;而农民获得土地交易收入、农村住宅交易收入和减少居民购买住宅被转移收入,则取决于当年土地房屋的交易量。
算式(18):需求侧加上居民收入分配和消费体制改革增长潜力的总经济增长。

算式(19):均衡经济增长。

根据上述系列算式有关数据,笔者及团队第四次大力度改革能够在未来实现中国经济中高速增长的仿真和推演态势如下图所示。

东北财经大学国民经济工程实验室计算制图。
至此十个章回,笔者可能完成了“你说体制改革创造了经济奇迹,并且还能够支撑、稳定和加快经济增长,那你从数理逻辑和模型算式方面,证明和推演给我看看”这一难题。
结论是:未来体制不变的要素投入产出自然增长年均1.5%左右,未来年均广义技术进步TFP增长年均至多0.8%左右。经济下行期间财政和货币扩张政策不能没有,但是中国增长无论是需求侧,还是供给侧,其潜能被禁锢在体制扭曲之中,仅有宏观调控,没有体制改革,从根本上不可能再有内生的新的经济增长动能。
如同1978年的情况一样,唯有第四次大力度的市场化改革可以额外获得2.43%至3.5%的新增长潜能,将未来年均经济增长速度稳定在4.73%到5.7%的合理区间之中。
笔者有关系列论文:
(周天勇,2023.1,财经问题研究)构建高水平社会主义市场经济体制的增长潜能测算——基于体制扭曲差值内生的数理逻辑的核算和仿真;(周天勇、田 博,2023.1,二十一世纪)中国改革开放与经济增长展望;(周天勇,2022.6,学习与探索)货币供应:二元体制改革与高负债经济的金融稳定;(周天勇,2022.5,探索与争鸣)从转轨到并轨:超大规模二元体制经济学的内在体系;(周天勇,2022.4,现代经济探讨)二元体制转轨数理逻辑与未来经济增长仿真展望;(周天勇,2022.3,财经问题研究)要素市场化效率与土地和住宅资产化溢值——对中国二元体制转轨经济增长奇迹的一种解释;(周天勇,许文,2021.8,二十一世纪)中国均衡增长的症结及其缓解思路;(周天勇,2021.6,财经问题研究)中国潜在和稳定增长的经济学分析——二元体制经济学的中国实践;(周天勇,2021.4,学术月刊)体制剩余:转轨经济学的一个重要范畴——体制性剩余要素市场化改革及经济增长的新潜能;(周天勇,2020.7,财经问题研究)要素配置市场化改革 释放经济增长潜能的定量估计;(周天勇,2019.8,财经问题研究)索洛模型在分析中国经济问题时的困境和改进思路。
前文回顾:
周天勇:构建符合中国体制国情内生经济增长的数理逻辑和分析方法
(本文作者介绍:经济学家)