二元体制经济学专栏之五
相关文章:
文/新浪财经意见领袖专栏作家 周天勇

周天勇 东北财经大学国民经济工程实验室
马克思在阐述生产的必要条件时,引用了配第所说的“劳动是财富之父,土地是财富之母”。斯密据此也提出,“一个国家的全部产品要分解为土地地租、劳动工资和资本利润三部分”。但是,新古典经济学家们在他们的经济增长模型中,将土地要素变量舍弃了,变成了“GDP增长=全要素生产率增长+a×劳动力增长+b×资本增长”的三结构模型。理由是,由于农业增加值的部分在总产出中的比例越来越小,土地数量的增长对经济增长的贡献越来越微弱;土地是一种永不磨损的资源,如果计入,意味着投入产出的重复计算。
从中国二元体制长周期转轨国家的特殊性看,土地要素配置改革和开发增加土地要素,对于寻求中国新的增长潜能意义非常重大。转轨国家土地要素自变量和地租贡献因变量要加入投入产出模型,需要再回归到 “GDP增长=余值增长+a×劳动增长+b×资本增长+c×土地增长的古典模型”的模型。不得不回归的理由为:
(1)市场经济国家中,土地可交易、可以定价,已经资产化、货币化和市场化;而中国土地很大一部分没有一级交易,几乎所有土地不能二级交易,无法定价,没有资产化、货币化和市场化。
(2)就中国三大要素配置体制改革进程看,资本要素市场化改革最先,劳动力要素市场化改革在中;土地要素配置计划调节、规划管理、用途管制非常深厚,市场化改革才刚刚开始。
(3)前面已述,由于相当大规模的城乡土地禁止交易,或者允许交易但二元体制阻隔不能交易,造成了大量闲置和低利用的土地,即体制性剩余土地;在计算二元体制国家改革与经济增长的关系时,需要计算体制性剩余土地改革再利用的产出新贡献,才能较为准确地预判土地要素市场化改革带来的经济增长潜能。
(4)作为一个土地开发程度仍然不高的二元结构国家,中国的国土利用率只有71%,利用水平还有提升的空间,调节水资源分配、南水北调、改造开发未利用土地,可利用土地数量还可以增加,使土地供给从垂直曲线变成向右倾斜的曲线。
(5)市场经济国家中,土地由于资产化,其交易增值的幅度并不大;而中国巨额的农村土地、城镇划拨土地等,过去未交易,或者禁止交易,其市场价值基本为零;一旦进行改革,使其交易和投入,其价值是从零到市场价格的升值。
其次,其实现代市场经济实际的国民经济核算中,一是土地房屋租金计入GDP。物业公司、农业土地所有者、农村集体组织和城市居民在出租土地和房屋时实现的场地租金、耕地租金、厂房租金和居住租金都要计入GDP。
二是在土地和建筑物分不开的固定资产中,其以折旧和利润的形式计入GDP。土地与建筑物是分不开的,在会计准则中,土地对产出的贡献含在了资本利润的贡献中。
三是在国际通行的国民经济核算规则中,即使自己所有和自己居住的房屋,也要依据维塞尔要素生产力贡献归属原理,以自己给自己交房租的方式,由统计核算部门参照租金水平和全国拥有的房屋面积,扣除房屋真实出租已经统计过的,要大体估算一笔租金收入计入GDP。
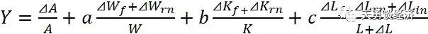
讨论至此,我们可以建立既能够回顾刻画二元经济体制改革与经济增长历史,也能够预判二元计划与市场并存要素配置体制,向一元社会主义市场配置体制并轨改革与未来经济增长关系,可用古典经济增长核算和预测的基础性模型:

基于上述模型,我们估算要素市场化改革的潜在经济增长,2021至2035年均GDP增长速度可在5.25%—6.3%之间。分低高方案,未来重大要素配置改革、增加土地发展战略和推动创新三个方面形成的增长动力格局为:(1)要素投入、盘活要素再投入和新增土地要素,增长速度年均为3.25%或3.8%;(2)农村宅基地和其他建设用地资产化改革形成的价值增值、市场交易、资产化融资、财富化效应,财产性收益等等,可能带来年均1%左右的增长;(3)推进广义技术进步创新TFP增长也分低高,年均1%或1.5%。

本文源于《财经问题研究》2021年第6期 “中国潜在和稳定增长的经济学分析—二元体制经济学的中国实践”一文,转摘发表时予以了补充。
参考文献和说明:
马克思.资本论(第1卷)[M].北京:人民出版社,1975.56.
亚当·斯密.国富论[M].唐日松译,北京:华夏出版社,2005.
保罗·A.萨缪尔森,威廉·D.诺德豪斯.经济学(第12版)[M].萧琛译,北京:中国发展出版社,1992.
周天勇、许文立:2035年远景目标难度与改革发展对策,财新网,2021年4月6日.
原国土资源部:《2017中国土地矿产海洋资源统计公报》.
本文模型中:Y—GDP增长率;W—劳动力,K—资本,L—土地;f—原要素投入产出增量,rn—体制性剩余要素市场化配置改革产出增量,in—新增土地投入产出增量;a—劳动产出弹性系数,b—资本产出弹性系数,c—土地产出弹性系数,a+b+c=1。
(本文作者介绍:)