新浪财经

困扰数学界200年的「吃草山羊」问题,小学生只能看懂第一步

捕捉翻倍美股

关注

来源:新智元

数学应用题从小就给孩子们留下了许多问号,为什么蜗牛要爬上爬下?为什么水池子的水要一边放一边接水?为什么小狗要来回跑?

数学考试里面还有一个「吉祥物」,放牧的山羊。

这只羊通常被绑在栅栏或者谷仓的边上,是一个心不在焉的农民留下来的,让它在能够到的草地上吃草。

你的工作就是计算它可以吃的区域总面积,毕竟,这是一场「数学考试」。

几百年来,数学老师一直把山羊放在形状奇怪的田地里来「阻止」学生来取得高分。

但是一个特殊的放牧山羊问题已经让数学家们为之烦恼了一个多世纪。直到去年,他们只能找到这个问题的近似答案,并且用一些非常高级的数学方法最终得到了一个精确的解。让我们来看看你在数学测试中发现的一个问题是如何变成困扰了数学家们一个多世纪的难题的。

最简单的放牧山羊问题是,饥饿的山羊用一根固定长度的绳子拴在长谷仓的一侧,我们希望找到山羊可以进入的区域。

在这个最初版本上,我们可以很容易知道山羊可以活动的区域。

把皮带拉紧,山羊可以围成半圆,可以够到里面的任何东西。圆的面积是

,因此半圆的面积是 。例如,如果绳子的长度为4,那么山羊可以在面积

平方单位的区域吃草。

相信只要上过小学的同学能够很快地解决这个问题,问题增加难度,如果山羊被绑在一个方形的谷仓边上呢?

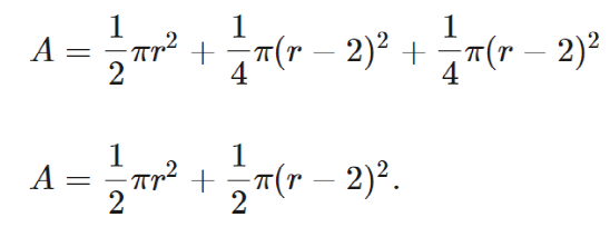
如果绳子的长度还是4,绳子被固定在一边的中间,山羊首先还是可以走一个半圆。

但是,山羊也可以继续在谷仓的角落。一旦到了转角处,山羊还有两个绳子可以用,这样它就可以在谷仓的两边扫出另一个半径为2的四分之一圆。

它可以达到半径4的半圆加上半径2的两个四分之一圆,总面积为

单位面积。

更魔鬼的数学考试还会改变障碍物的形状来让问题更具挑战性,例如三角形、六边形甚至凹型上。

新的问题?

这个问题解决了以后,思维逆推又变成了一个新的问题。

数学考试擅长从一个旧的数学问题派生出一个新的数学问题: 旧问题从绳子的长度开始并找出区域大小,新问题从给定区域大小计算出绳子的长度。

解决一个数学问题可以给一个旧的想法注入新的活力,但它也使这个问题更具挑战性。

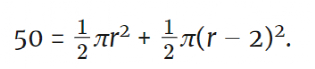
例如,如果还是方形谷仓,提出一个新的问题: 绳子需要多长,山羊才能进入总共50平方单位面积去吃草?

首先,注意区域的形状取决于绳子的长度。例如,如果绳子的长度小于2个单位,山羊就无法绕过谷仓的角落,所以这个区域只能是一个半圆。

如果绳子的长度超过2个单位,山羊就可以绕过拐角,就像我们上面看到的那样。

如果绳子的长度超过6个单位,山羊就可以躲到谷仓后面,创造出另外一组四分之一圆来考虑,如果绳子变得更长,就会有重叠。

首先确定绳子的长度,这样就可以根据条件总面积就是50平方单位,套入面积公式设置为50,然后求出 r。但是每一种区域都有不同的面积公式。我们用哪一个?

如果 r ≤2,则该区域的面积为

,当r=2时,总面积最大达到

,显然小于50,所以绳子的长度显然超过2个单位长度。

如果2 < r ≤6,总面积是一个半圆加上我们之前求出的两个四分之一圆。半圆的半径是 r,四分之一圆的半径是 r-2,因为需要两个单位的额外绳子才能到达拐角,而剩下的绳子就像是以拐角为中心的四分之一圆的半径。

这个半圆的面积是

,每个四分之一圆的面积是

。把这些加起来,总面积为

当 r = 6时,面积达到最大值,

平方单位。由于50小于26π,这意味着要达到的50平方单位面积,绳子长度 r 必须小于6。

知道了绳子长度 r 必须在2ー6个单位之间,解决了我们应该使用哪个面积公式的问题,根据等式

可以很容易求出绳子长度。

这是另一种方式,我们的反向问题比原始问题更复杂: 不仅仅是计算山羊能够到达的面积,还需要解一个方程来计算绳子的长度。在这个过程中,除了算数还用到了代数。

解这个方程需要用到初中知识。这可能不是世界上最优雅的数学表达式,只是一个一元二次方程,所以我们可以应用二次方程来精确地求解 r

最后得出的r值为4.86,介于2到6之间,和预期的一样。

数学家们发现,最初研究的放牧山羊问题相比,这个反向放牧山羊的问题更具挑战性,当你把山羊放在谷仓里时,这个问题就变得更具挑战性了。

事实上,目前还无法准确地解决这个问题。

让我们把山羊放在方形谷仓里,边长为4,把绳子系在墙的中间。山羊需要多长的绳子才能进入谷仓内一半的区域?

下面进入高中知识部分。

如上所述,这个区域的形状取决于 r 的值,为了得到正方形一半的面积,我们需要 r 长于谷仓一半的面积,但短于谷仓正方形一半的面积,得到的区域如下图所示。

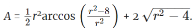
要找到这个区域的面积公式并不容易。我们可以把这个区域想象成半径 r 的圆的一个扇形加上两个直角三角形,然后用高中几何学得到一个公式。但圆形和三角形的混合会带来一些额外的麻烦。

从三角形开始。勾股定理图告诉我们,每个直角三角形缺失的分支的长度是

。这使得其中一个三角形的面积为 ,所以这两个三角形的面积为

循环扇区的面积由夹角确定。扇形的面积为

,其中 θ 是中心角的弧度(以弧度而非度为单位),根据余弦定律可以用 r 表示角 θ。

将余弦定律应用于腰为r的等腰三角形,得到

进而得出cosθ,

为了分离出θ,我们需要求出方程两边的反余弦或反余弦,即

现在我们就可以用角 θ 表示 r,只用r来表示面积,即

最后的面积公式就是扇形面积和两个三角形的面积之和:

根据这个公式,可以计算方块内山羊可以到达的区域面积,只用 r 来表示。现在我们只需要找到 r 的值,这个值可以让山羊正好进入半个正方形。整个正方形的面积是16,所以我们要做的就是把条件 A = 8代入方程,求解 r 即可。

只是还有一个小问题,方程中的r是不可能解出来的。

也就是说,在这个方程中,我们无法精确解出 r,只能近似 r 的值来使这个方程成立(r ≈2.331) 。方程式中,三角函数和多项式函数的混合成为了无法绕过的障碍。

我们可以尝试从反余弦函数里面,得到 r,但是要做到这一点,我们必须把另一个 r放在余弦函数里面。

无论哪种方式,我们都是在处理一个包含超越函数的方程,比如指数或三角函数。超越函数不能简单地用加法、乘法等一般的代数运算来表示,因此在一般的超越方程中不能精确地求解。

这个问题是19世纪著名的放牧山羊问题的核心,当时山羊被放置在一个圆形的谷仓里。就像我们的方形谷仓问题一样,我们的目标是确定绳子的长度,以便山羊能够接触到半个田地。

山羊能够进入的区域呈透镜形状ーー两个圆形区域堆叠在一起。

我们可以用高中的几何学,用绳子长度 r 来求这个透镜的面积,但是这个公式比平方要复杂得多。

当你把它设置为圆形谷仓面积的一半时,你会遇到和我们在正方形里遇到的一样的问题: 你不能把 r 分离出来。你可以近似它,但是你不能求 r 的精确值。

参考资料:

https://www.quantamagazine.org/solve-math-equations-that-are-stubborn-as-a-goat-20210506/

加载中...