新浪科技

张雪峰谈高考713分女生生物满分:你们听说过赋分么

快科技官方

关注

快科技6月24日消息,今日晚间,张雪峰发文谈#高考713分女生回应生物满分#话题,同时喊话:各位记者朋友,你们听说过赋分么??? 

据报道,内蒙古赤峰学生今年刘睿高考总分713分,语文135分,数学142.5分,英语143.5分,物理95分,化学97分,生物100分。 

公开资料显示,赋分,即等级赋分制。它是新高考改革中为了平衡不同科目之间的难度差异而采用的一种计分方式。

具体来说,赋分是将考生的原始成绩按照一定的规则进行转换,得到一个等级分数。

这个等级分数反映了考生在该科目全体考生中的相对位置,从而实现不同科目之间成绩的可比性。

据了解,赋分的重要意义在于能保证考试公平和引导学生全面发展,此外还能适应高校选拔人才的需求。

目前,全国有24省新高考采用赋分计算公式,具体包括青海、四川、宁夏、内蒙古、广西、山西、云南、贵州、河南、福建、广东、重庆、浙江、湖南、江西、海南、河北、江苏、安徽、吉林、辽宁、甘肃、山东、陕西。

提到上述内蒙古地区,以30分作为等级转换分数的赋分起点,满分100分。

转换时先按照考生选择性考试再选科目的卷面原始分分布情况,将考生卷面原始分从最高分到最低分依次按照15%、35%、35%、13%和2%的比例分别划分为A、B、C、D、E共5个等级。

然后再按照等比例转换规则将卷面原始分对应的相应等级分别转换到100~86,85~71,70~56,55~41和40~30五个分数区间。

根据线性转换公式计算得到相应科目的等级转换分数,一分一档,考生等级转换分数排序和卷面原始分排序不变。具体对应关系如下表:

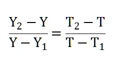
具体转换公式为:

其中,

Y1、Y2分别表示某个等级所对应卷面原始分区间的下限和上限;

T1、T2分别表示相应等级的等级转换分数区间的下限和上限;

Y表示相应等级内某考生的卷面原始分;

X表示相应等级内某考生的等级转换分数。

根据此公式,即可算出每个考生的等级转换分数。

【本文结束】如需转载请务必注明出处:快科技

责任编辑:秋白

加载中...