新浪科技

高结温IC设计避坑指南:5大核心挑战与应对策略

电子产品世界

关注

在商业、工业及汽车电子领域,高温环境对集成电路的性能、可靠性和安全性构成严峻挑战。随着应用场景向极端温度条件延伸,高结温引发的漏电增加、寿命衰减等问题日益凸显,亟需通过创新设计技术突破技术瓶颈。本文将解析高温对集成电路的深层影响,揭示高结温带来的五大核心挑战,并探讨针对性的高功率设计解决方案。

本文引用地址:

高结温带来的挑战

半导体器件在较高温度下工作会降低电路性能,缩短使用寿命。对于硅基半导体而言,晶体管参数会随着温度的升高而下降,由于本征载流子密度的影响,最高极限会低于 300℃。依靠选择性掺杂的器件可能会失效或性能不佳。

影响 IC 在高温下工作的主要技术挑战包括:

Ø 泄漏电流增加

Ø MOS 晶体管阈值电压降低

Ø 载流子迁移率降低

Ø 提高闩锁效应(Latch-Up)敏感性

Ø 加速损耗机制

Ø 对封装和接合可靠性的挑战

要设计出能够在高温下工作的 IC,了解高温下面临的挑战至关重要。下文将探讨 IC 设计面临的挑战。

1.泄漏电流增加

CMOS 电路中泄漏电流的增加主要是由半导体 PN 结泄漏和亚阈值沟道泄漏的增加引起的。

▷反向偏置 PN 结泄漏

在较高温度下,半导体中热能的增加会导致更多电子 - 空穴对的产生,从而产生更高的泄露电流。结泄漏取决于掺杂水平,通常随温度呈指数增长。根据广泛使用的经验法则,温度每升高 10℃,结电流大约增加一倍。

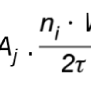
二极管的泄漏电流由漂移电流和扩散电流组成:

其中, q 为电子的基本电荷, Aj 为结面积,ni 为本征载流子浓度,W 为耗尽区宽度,τ 为有效少数载流子寿命,L 为扩散长度,N 为中性区掺杂密度。

在中等温度下,泄漏电流主要由耗尽区中电子 - 空穴对产生的热引起。在高温下,泄漏电流主要由中性区产生的少数载流子引起。漂移电流与耗尽区宽度成正比,这意味着它与结电压的平方根成正比(在正常反向电压下),而扩散电流与结电压无关,并且与掺杂密度 N 成反比。掺杂水平越高,在温度高于约 150°C 时扩散泄漏越少。

泄漏电流的指数增加影响了大多数主动器件(如双极晶体管、MOS 晶体管、二极管)和一些被动器件(如扩散电容、电阻)。然而,由氧化物隔离的器件,例如多晶硅电阻、多晶硅二极管、ploy-poly 电容和 metal-metal 电容,并不受结泄漏的影响。结泄漏被认为是高温 bulk CMOS 电路中最严峻的挑战。

▷亚阈值沟道泄漏

MOS 晶体管关闭时,栅极 - 源极电压 VGS 通常设置为零。由于漏极至源极电压 VDS 非零,因此漏极和源极之间会有小电流流过。当 Vgs 低于阈值电压 Vt 时,即在亚阈值或弱反型区,就会发生亚阈值泄漏。该区域的漏极源极电流并不为零,而是与 Vgs 呈指数关系,主要原因是少数载流子的扩散。

该电流在很大程度上取决于温度、工艺、晶体管尺寸和类型。短沟道晶体管的电流会增大,阈值电压较高的晶体管的电流会减小。亚阈值斜率因子 S 描述了晶体管从关断(低电流)切换到导通(高电流)的有效程度,定义为使漏极电流变化十倍所需改变的 VGS 的变化量:

其中,n 是亚阈值斜率系数(通常约为 1.5)。对于 n = 1,斜率因子为 60mV/10 倍,这意味着每低于阈值电压 Vt 60mV,漏极电流就会减少十倍。典型的 n = 1.5 意味着电流下降速度较慢,为 90mV/10 倍。为了能够有效地关闭 MOS 晶体管并减少亚阈值泄漏,栅极电压必须降到足够低于阈值电压的水平。

▷栅极氧化层隧穿泄露

对于极薄的栅极氧化层(厚度低于约 3 纳米),必须考虑隧穿泄漏电流的影响。这种电流与温度有关,由多种机制引发。Fowler-Nordheim 遂穿是在高电场作用下,电子通过氧化层形成的三角形势垒时产生。随着有效势垒高度降低,隧道电流随温度升高而增大。较高的温度也会增强 trap-assisted 隧穿现象,即电子借助氧化层中的中间陷阱态通过。对于超薄氧化层,直接隧穿变得显著,由于电子热能的增加,隧穿概率也随之上升。

2.阈值电压降低

MOS 晶体管的阈值电压 Vt 与温度密切相关,通常随着温度的升高而线性降低。这是由于本征载流子浓度增加、半导体禁带变窄、半导体 - 氧化物界面的表面电位的变化以及载流子迁移率降低等因素造成的。温度升高导致的阈值电压降低会引起亚阈值漏电流呈指数增长。

3.载流子迁移率下降

载流子迁移率直接影响 MOS 晶体管的性能,其受晶格散射与杂质散射的影响。温度升高时,晶格振动(声子)加剧,导致电荷载流子的散射更加频繁,迁移率随之下降。此外,高温还会增加本征载流子浓度,引发更多的载流子 - 载流子散射,进一步降低迁移率。当温度从 25°C 升高到 200°C 时,载流子迁移率大约会减半。

载流子迁移率显著影响多个关键的 MOS 参数。载流子迁移率的下降会降低驱动电流,减少晶体管的开关速度和整体性能。更高的导通电阻会增加功率损耗并降低效率。较低的迁移率还会降低跨导,使亚阈值斜率变缓(增加亚阈值泄漏),降低载流子饱和速度(对于短沟道器件至关重要),并间接影响阈值电压。

4.提高闩锁效应敏感性

集成电路中各个二极管、晶体管和其他元件之间的隔离是通过反向偏置 P-N 结来实现的。在电路开发过程中,需采取预防措施以确保这些结在预期应用条件下始终可靠阻断。这些 P-N 结与其他相邻结形成 N-P-N 和 P-N-P 结构,从而产生寄生 NPN 或 PNP 晶体管,这些晶体管可能会被意外激活。

当寄生 PNP 和 NPN 双极晶体管相互作用,在电源轨和接地之间形成低阻抗路径时,CMOS IC 中就会出现闩锁效应(Latch-up)。这会形成一个具有正反馈的可控硅整流器(SCR),导致过大的电流流动,并可能造成永久性器件损坏。图 1 显示了标准 CMOS 逆变器的布局截面图。图中还包含寄生 NPN 和 PNP 晶体管。正常工作时,所有结均为反向偏置。

闩锁效应的激活主要取决于寄生 NPN 和 PNP 晶体管的 β 值,以及 N - 阱、P - 阱和衬底电阻。随着温度的升高,双极晶体管的直流电流增益(β)以及阱和衬底的电阻也会增加。

在高温条件下,闩锁效应灵敏度的增加也可以视为双极结型晶体管(BJT)阈值电压的降低,从而更容易在阱和衬底电阻上产生足以激活寄生双极晶体管的压降。基极 - 发射极电压随温度变化降低的幅度约为 -2mV/℃,当温度从 25℃升至 200℃时,基极 - 发射极电压降低 350mV。室温下的典型阈值电压为 0.7V,这意味着阈值电压大约减半。

5.加速损耗机制

Arrhenius 定律在可靠性工程中被广泛用于模拟温度对材料和元器件失效率的影响。

其中,R( T) 是速率常数,Ea 是活化能,k 是玻尔兹曼常数(8.617 · 10−5eV/K),T 为绝对温度(单位:开尔文)。通常,每升高10°C可靠性就会降低一半。

▷经时击穿-TDDB

TDDB 是电子器件中的一种失效机制,其中介电材料(例如 MOS 晶体管中的栅氧化层)由于长时间暴露于电场下而随时间退化,导致泄漏电流增加。当电压促使高能电子流动时,在氧化层内部形成导电路径,同时产生陷阱和缺陷。当这些导电路径在氧化层中造成短路时,介电层就会失效。失效时间 TF 随着温度的升高而呈指数级减少。

▷负 / 正偏置温度不稳定性 - NBTI / PBTI

NBTI 影响以负栅极 - 源极电压工作的 p 沟道 MOS 器件,而 PBTI 则影响处于积累区的 NMOS 晶体管。在栅极偏压下,缺陷和陷阱会增加,导致阈值电压升高,漏极电流和跨导减少。这种退化显示出对数时间依赖性和指数温度上升,在高于 125°C 时有部分恢复。

▷电迁移

电迁移是指导体中的金属原子因电流流动而逐渐移位,形成空隙和小丘。因此,如果金属线中形成的空隙大到足以切断金属线,就会导致开路;如果这些凸起延伸得足够长以至于在受影响的金属与相邻的另一金属之间形成桥接,则可能导致短路。电迁移会随着电流密度和温度的升高而加快,尤其是在空隙形成后,会导致电流拥挤和局部发热。金属线发生故障的概率与温度成指数关系,与电流密度成平方关系,与导线长度成线性关系。互连器件可承受的电流密度约为的五倍,同时可靠性相似。

▷热载流子退化

当沟道电子在 MOS 晶体管漏极附近的高电场中加速,会发生热载流子退化。在栅极氧化层中产生界面态、陷阱或空穴。它影响诸如阈值电压 VT、电流增益 β、导通电阻 RDS_ON 和亚阈值泄漏等参数。在较高温度下,平均自由程减少,降低了载流子获得的能量,使得热载流子退化在低温条件下更为显著。

加载中...