新浪科技

大佬总结的全波整流电路内容,看完感觉太简单了!

电子产品世界

关注

什么是全波整流波整流电路

本文引用地址:

全波整流电路是将交流电的完整周期转换为脉动直流电的整流电路。与仅利用输入交流周期的半波的半波整流电路不一样,全波整流电路利用全周期,全波整流可以克服半波整流电路效率较低的问题。

全波整流电路构建过程

1、使用一个中心抽头变压器和两个二极管,这被称为中心抽头全波整流电路。

中心抽头全波整流滤波电路

2、使用一个标准变压器,四个二极管排列成一个电桥,这个叫做桥式整流电路。

桥式全波整流电路

这篇文章只讲第一种方法。

中心抽头全波整流工作原理

中心抽头全波整流电路包括:中心抽头变压器,两个二极管、阻性负载组成。

中心抽头变压器:就是一个稍稍修改了普通的变压器,它有一根额外的导线连接到次级绕组的确切中心。这种结构将交流电压分成两个相等且相反的电压,即+Ve电压(Va)和-Ve电压(Vb)。总输出电压为:

总输出电压图

中心抽头全波整流

中心抽头全波整流电路图如下所示。

中心抽头全波整流电路图

中心抽头全波整流电路的工作原理

向输入变压器施加交流电压,在交流电压的正半周期内,端子1为正,中心抽头为0电位,端子2为负电位。

这将导致二极管 D 1中的正向偏置并导致电流流过它。在此期间,二极管D2处于反向偏置状态,将阻止电流通过它。

在输入交流电压的负半周期期间,端子2将相对于端子 2 和中心抽头变为正。这将导致二极管 D 2中的正向偏置并导致电流流过它。在此期间,二极管 D 1处于反向偏置状态,将阻止电流通过它。

在正周期期间,二极管D 1导通,在负周期期间,二极管D 2在正周期期间导通。

结果,两个半周期都允许通过。这里的平均输出直流电压几乎是半波整流器直流输出电压的两倍。

中心抽头全波整流电路波形输出波形

中心抽头全波整流电路波形图

中心抽头全波整流滤波电路

因此,为了将脉动直流电压转换为纯直流电压,使用如上所示的滤波电路。在这里,在负载上放置一个电容。

中心抽头全波整流滤波电路

电容滤波电路的工作是使纹波短路并阻挡直流分量,使其流过另一条路径并在负载上可用。

在正半波期间,二极管D1开始导通,电容未充电。

当施加恰好大于电容器电压的输入交流电压时,它会立即将电容充电至输入电压的最大值。此时,电源电压等于电容电压。

当施加的交流电压开始下降并小于电容器时,电容开始缓慢放电,但与电容的充电相比,这速度较慢,并且没有足够的时间完全放电,又开始充电。

因此,电容中大约有一半的电荷被放电。在负循环期间,二极管D2开始导通,上述过程再次发生。这将导致电流以相同的方向流过负载。

全波整流电路公式

全波整流电路的纹波系数 (γ)

“纹波”是将交流电压波形转换为直流波形时剩余的不需要的交流分量。

尽管尽最大努力去除所有交流分量,但在输出侧仍有少量残留物会产生直流波形的脉动。这种不受欢迎的交流分量称为“纹波”。

为了量化半波整流器将交流电压转换为直流电压的能力,我们使用所谓的纹波系数(由 γ 或 r 表示)。

纹波系数是整流器交流电压(输入侧)与直流电压(输出侧)的RMS值之比。

纹波系数的公式为:

全波整流电路的波纹系数公式

其中,Vrms是交流分量的RMS值,Vdc是整流器中的直流分量。

中心抽头全波整流器的纹波系数等于 0.48(即 γ = 0.48)。

注意:要构建一个好的整流电路,需要将纹波因子保持在尽可能小。我们可以使用电容或电感来减少电路中的纹波。

全波整流电路的效率 (η)

整流电路效率 (η) 是输出直流功率与输入交流功率之比。效率的公式等于:

全波整流电路的效率公式

中心抽头全波整流电路的效率等于 81.2%(即 ηmax = 81.2%)。

全波整流电路 (FF) 的外形尺寸

形状因数是RMS 值与平均值之间的比率。

形状因数的公式如下:

中心抽头全波整流的形状因数等于 1.11(即 FF = 1.11)。

全波整流电路的形状因数公式

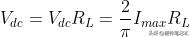
全波整流电路直流输出电压公式

以下公式给出了直流输出电压的平均值:

电压的平均值:

全波整流电路直流输出电压公式

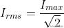
全波整流电路的电流有效值

可以使用以下公式计算电流的 RMS 值:

全波整流电路的电流有效值

以下公式给出了全波整流电路的峰值因数:

全波整流电路的峰值因子公式

全波整流电路的整流效率可由下式求得:

全波整流电路的整流效率公式

全波整流电路的效率为81.2%。

全波整流电路的优点

全波整流电路的优点包括:

  • 全波整流电路的整流效率是半波整流电路的两倍。半波整流电路的效率为40.6%,而全波整流电路的整流效率为81.2%。

  • 全波整流电路的纹波系数很低,因此需要一个简单的滤波器。全波整流电路的纹波系数值为0.482,而半波整流电路的纹波系数约为1.21。

  • 全波整流电路获得的输出电压和输出功率高于使用半波整流电路获得的输出电压和输出功率。

全波整流电路的缺点

  • 中心抽头整流电路比半波整流电路更贵,而且往往占用大量空间。

以上就是关于全波整流电路的相关知识。

加载中...