研究表明:身高与死亡率的联系呈U型,男性身高174cm,女性身高158cm时全因死亡率最低
199IT
根据《中国居民营养与慢性病状况报告(2020年)》,我国18-44岁男女平均身高分别为169.7cm和158cm,与2015年相比分别增加1.2cm和0.8cm。
看到这个数据,你可能会欣慰一笑,甚至觉得这个数据有些偏低,毕竟随着物质生活水平的显著提升,人们的体格也随之“水涨船高”,如今走在街头,身高逼近180cm的小伙儿已不再稀奇,165cm以上的姑娘们也是常见。
直观上,我们依旧认为:较高的身高与更好的生活条件和营养挂钩,高个子往往伴随着羡慕的目光,追求身高也成为了经久不衰的热门话题。然而,真的是越高越健康吗?
此前有研究指出,较高身高与较高风险的心房颤动和静脉曲张有关,并且更高的身高和更高的周围神经病变风险之间存在关联(不用羡慕别人的身高!研究表明,高个子不仅更易患癌,还会增加这些疾病风险)。此外,多项研究结果也表明,身高和癌症风险存在关联:无论男女,长得越高,患癌概率就越大。一般而言,成人身高每增加10厘米,患癌概率会增加11%~18%(身高增加10厘米,患癌风险高一截:浓缩才是精华?)。
但由于各国研究之间的关联不确定且信息有限,目前对于身高与健康及寿命之间的关系仍未形成统一明确的结论。
因此,针对这一问题,来自中国郑州大学、深圳大学等的研究人员在European Journal of Public Health上发布了题为“Dose–response association between adult height and all-cause mortality: a systematic review and meta-analysis of cohort studies”的研究成果[1]。本研究作为第一个评估成人身高和全因死亡率之间关系的剂量-反应荟萃分析,深入分析了成人身高-全因死亡率之间的联系,同时还考量了性别差异在其中的影响。
在本研究中,研究团队在PubMed、Cochrane Library、Ovid、万方等多个数据库对所有与成人身高和全因死亡率关联的队列研究进行了检索,并使用Newcastle-Ottawa量表评估研究质量。在进行筛选、比较后,共有15篇文章(24项队列研究)符合纳入标准。24项研究共报告了21 854 543例参与者和1 533 438例死亡,中位随访时间为20.07年。
成人身高与全因死亡率的关系
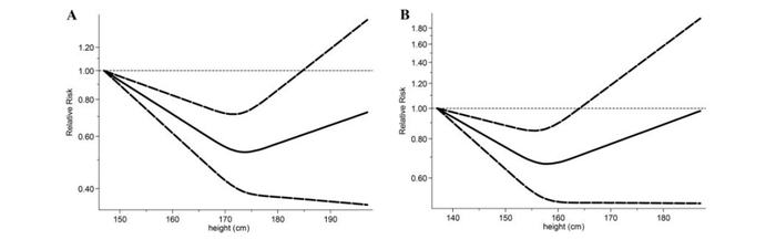
在对数据进行筛选后,共有 21 项研究被纳入相关性分析,结果显示,身高与全因死亡率之间存在一个U型的关联模式,这意味着在某个特定身高范围内,全因死亡风险相对较低,而偏离这个范围,无论是过高还是过矮,死亡风险都会增加。
图1:成人身高与全因死亡率之间的非线性剂量反应关系
研究人员通过考察每增加5厘米身高,全因死亡率会如何变化来反映成人身高与全因死亡率之间的剂量反应关系。结果显示,在不区分性别的情况下,整体每高出5厘米,全因死亡风险就会降低5%(R2=0.95, 95% CI, 0.92–0.97, I2=99.0%);区分性别的情况下,男性身高每增加5厘米,全因死亡率降低6%(R2=0.94, 95% CI, 0.90–0.97, I2=99.3%)),女性则为4%(R2=0.96, 95% CI, 0.92–0.99, I2=98.7%)。
但是,先别激动!既然是U型,那就说明并非越高越好,那拐点究竟在哪儿呢?
通过数据分析,研究人员发现,对于男性,全因死亡风险最低的身高约为174厘米;而对于女性,则是158厘米(R2=0.53, 95% CI, 0.39–0.73; R2=0.67, 95% CI, 0.51–0.86)。相较于最矮的身高(男性147厘米,女性137厘米),处于上述最佳身高的男性全因死亡风险可降低47%,女性则可降低33%。
亚组、敏感性和偏倚分析
在亚组分析中,大多数结果的汇总估计值都是稳健的。但值得注意的是,成人身高与全因死亡率之间的剂量反应关系在调整年龄因素后减弱,这暗示年龄是一个重要的混杂变量(确实类似于废话——年龄比身高对死亡率的影响更大)。
研究也注意到,当仅考虑欧洲和亚洲人群时,这种身高-全因死亡率的U型关联更加明显,而在美国的研究或调整了酒精摄入量的研究中,身高与全因死亡率的关联则不显著。
表1:身高低于平均值每增加5 cm与全因死亡率相关性的亚组分析
总结
本荟萃研究纳入了超过2亿名参与者,以评估成人身高和全因死亡率的剂量—反应相关性,因此研究人员认为该研究结果具有足够的统计功效,结果显示全因死亡率与成人身高呈U型关系——男性174 cm和女性158 cm时死亡风险最低。
虽然成人身高主要是由遗传因素决定,但在某种程度上,它可能是早期环境影响的标志,如儿童时期摄入的营养。此前,一项研究表明,矮的成年身高之所以会增加全因死亡风险,主要是由于血清维生素D的缺乏,其与心力衰竭、肺功能、癌症、糖尿病、高血压和精神分裂症之间存在联系,而这些疾病可能会导致过早死亡[2]。而身高较高的健康优势例如身高与冠状动脉疾病之间的负相关性被认为是由于高个子的人具有大的冠状动脉血管直径、升高的胰岛素样生长因子水平、缓慢的心率和/或增加的肺活量。
此外,研究人员指出,与最低身高相比,较高的身高(男性> 185 cm,女性> 164 cm)与全因死亡率无显著相关。
这场关于身高的探索,远比我们想象的复杂,但我们能发现自然界偏爱平衡,“适度”二字才是精髓所在,身高也亦是如此~
参考文献:
[1] Li Q, Liu Y, Sun X, et al. Dose-response association between adult height and all-cause mortality: a systematic review and meta-analysis of cohort studies. Eur J Public Health. 2021;31(3):652-658. doi:10.1093/eurpub/ckaa213
[2] Chen S, Sun Y, Agrawal DK. Vitamin D deficiency and essential hypertension. J Am Soc Hypertens. 2015;9(11):885-901. doi:10.1016/j.jash.2015.08.009
来自: 生物谷