新浪科技

MOS 管的死区损耗计算

电子产品世界

关注

MOS 管逆变电路,开光电源电路中经常是成对出现,习惯上称之为上管和下管,如图Figure 1中的同步Buck 变换器,High-side MOSFET 为上管, Low-side MOSFET为下管.

本文引用地址:

如果上管和下管同时导通,就会导致电源短路,MOS 管会损坏,甚至时电源损坏,这种损坏是灾难行动,必须避免.由于MOS 的开通和关断都是有时沿的,为了避免上管和下管同时导通,造成短路现象,从而引入了死区的概念,也就是上下管同时关断的区间,如图Figure2 中的E 和 F.

死区E---tDf: 上管关断,下管还没开启,下管体二极管续流,电流从最大值Io + ΔI/2 开始下降,由于死区时间很短,工程上计算可以近似为死区E的电流恒定,以方便计算。

死区E对应的功耗为:

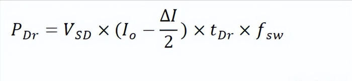
死区F---tDr: 下管关断,上管还没开启,下管体二极管续流,电流接近最小值Io - ΔI/2 ,由于死区时间很短,工程上计算可以近似为死区F的电流恒定,以方便计算。

死区F对应的功耗为:

工程上快速估算时,也会用把两个死区的电流平均化,近似用Io替代, 一个完整的开关周期的死区损耗如下:

加载中...