新浪科技

采用NAND和NOR门的SR触发器

电子产品世界

关注

在本教程中,我们将讨论数字电子学中的基本电路之一--SR 触发器。我们将看到使用 NOR 和 NAND 门的 SR 触发器的基本电路、其工作原理、真值表、时钟 SR 触发器以及一个简单的实时应用。

本文引用地址:

电路简介

我们迄今为止看到的电路,即多路复用器、解复用器、编码器、解码器、奇偶校验发生器和校验器等,都被称为组合逻辑电路。在这类电路中,输出只取决于输入的当前状态,而不取决于输入或输出的过去状态。

除了少量的传播延迟外,当输入发生变化时,组合逻辑电路的输出立即发生变化。

还有一类电路,其输出不仅取决于当前的输入,还取决于过去的输入/输出。这类电路被称为顺序逻辑电路。如何获取 "过去的输入/输出 "数据?我们必须有某种 "存储器 "来存储数据,以便日后使用。能够存储数据并充当 "存储器 "单元的设备或电路被称为锁存器或触发器。

注:"锁存器 "和 "触发器 "是同义词,但在技术上略有不同。简单地说,触发器是一种时钟控制锁存器,即只有在有时钟信号(高电平或低电平,取决于设计)时,输出才会发生变化。

什么是触发器?

触发器是一种基本存储单元,可以存储 1 位数字信息。它是一种双稳态电子电路,即有两种稳定状态: 高电平或低电平。由于触发器是双稳态元件,因此在外部事件(称为触发器)发生之前,触发器的输出都会保持稳定状态。

由于触发器在输入后会长期保持输出状态(除非采取任何措施改变输出状态),因此触发器可被视为存储设备,可以存储一个二进制位。

使用两个串联的反相器,并将第二个反相器的输出反馈到第一个反相器的输入,就可以设计出一个简单的触发器。以下电路显示了使用反相器的触发器。

假设 Q1 为输入端,Q3 为输出端。最初,假设反馈断开,将 Q1 接地,使其为 0(逻辑 0,低电平,位 0)。现在,如果连接反馈,并断开 Q1 输入与地的连接,Q3 仍将继续为 0。

同样,如果不接地,而是用 1(逻辑 1,高电平,位 1)重复同样的过程,输出 Q3 将保持 1。

这是一个具有两个稳定状态的简单触发器,在外部事件(如本例中的输入变化)发生之前,它一直处于特定状态,因此是一个存储器。

这是一个具有两个稳定状态的简单触发器,在出现外部事件(如本例中的输入变化)之前,它一直处于特定状态,因此是一个存储器。

SR 触发器概述

上述基于反相器的触发器只是为了了解其工作原理,并没有任何实际用途,因为它不提供任何输入。这就是 NOR 和 NAND 门的作用所在。如下图所示,上述基于反相器的触发器可以使用 NOR 门来实现。

暂时忽略 "R "和 "S "值,让我们以更常规的形式重绘上述电路,并将 Q2 重命名为 Q,将 Q3 重命名为 Q。

由此可见,触发器有两个输入端:R 和 S: R 和 S,以及两个输出端: 从表示法中可以清楚地看出,输出端是互补的。让我们试着分析一下输入及其相应输出的不同可能性。

这里需要注意的重要一点是,对于 NOR 逻辑门来说,逻辑 "1 "是主导输入,如果其中任何一个输入为逻辑 "1"(高),则输出为逻辑 "0"(低),与其他输入无关。有鉴于此,让我们来分析一下上述电路。

情况 1:R = 0 和 S = 0

在第一种情况下,两个 NOR 逻辑门的输入均为逻辑 "0"。由于它们都不是主导输入,因此对输出没有影响。因此,输出保持之前的状态,即输出没有变化。这种情况称为 "保持条件 "或 "无变化条件"。

情况 2:R = 0 和 S = 1

在这种情况下,"S "输入为 1,这意味着 NOR 门 B 的输出将变为 0。因此,NOR 栅极 A 的两个输入端都变为 0,从而使 NOR 栅极 A 的输出端和 Q 的值都变为 1(高电平)。由于输入 S 的 "1 "会使输出切换到其中一个稳定状态,并将其设置为 "1",因此 S 输入称为 SET 输入。

情况 3:R = 1,S = 0

在这种情况下,"R "输入为 1,这意味着 NOR 门 A 的输出将变为 0,即 Q 为 0(低电平)。因此,NOR 栅极 B 的两个输入端都变为 0,从而使 NOR 栅极 B 的输出为 1(高)。由于输入 R 的 "1 "会使输出切换到其中一个稳定状态,并将其复位为 "0",因此 R 输入称为 RESET 输入。

情况 4:R = 1 和 S = 1

该输入条件是禁止的,因为它会迫使两个 NOR 门的输出都变为 0,这违反了互补输出的原则。即使应用了该输入条件,如果下一个输入变成 R = 0 和 S = 0(保持条件),也会导致 NOR 门之间出现 "竞赛条件",从而导致输出出现不稳定或不可预测的状态。

因此,输入条件 R = 1 和 S = 1 根本无法使用。

因此,根据上述情况和不同的输入组合,SR 触发器的真值表如下表所示。

SR 触发器的逻辑符号如下所示:

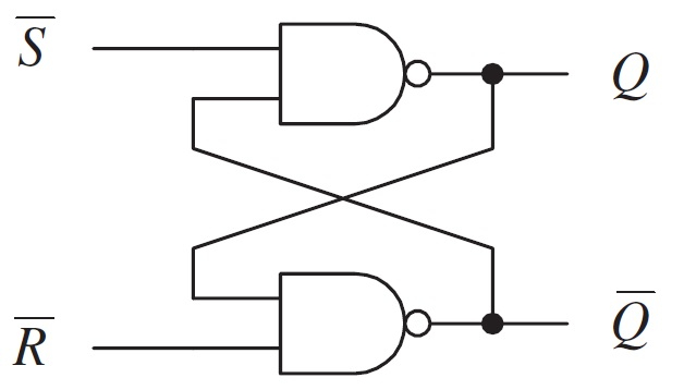
栅极的SR触发器(技术上称为RS触发器)

SR 触发器也可以通过两个 NAND 栅极的交叉耦合来设计,但保持和禁止状态是相反的。它是一种有源低输入 SR 触发器,因此我们称之为 RS 触发器。使用 NAND 门的 SR 触发器电路如下图所示

NAND 门的一个重要特点是,它的主导输入为 0,即如果任何一个输入为逻辑 "0",则输出为逻辑 "1",与其他输入无关。只有当所有输入都为 1 时,输出才为 0。有鉴于此,让我们来看看基于 NAND 的 RS 触发器的工作原理。

情况 1:R = 1 和 S = 1

当 S 和 R 输入端均为高电平时,输出端保持之前的状态,即保存之前的数据。

情况 2:R = 1 和 S = 0

当 R 输入为高电平,S 输入为低电平时,触发器处于 SET 状态。由于 R 为高电平,NAND 栅极 B 的输出(即 Q)变为低电平。这将导致 NAND 门 A 的两个输入端均变为低电平,从而使 NAND 门 A 的输出端(即 Q)变为高电平。

情况 3:R = 0 和 S = 1

当 R 输入端为低电平,S 输入端为高电平时,触发器将处于 RESET 状态。由于 S 为高电平,NAND 栅极 A 的输出(即 Q)变为低电平。这将导致 NAND 门 B 的两个输入端均变为低电平,从而使 NAND 门 A 的输出端(即 Q)变为高电平。

情况 4:R = 0 和 S = 0

当 R 和 S 输入均为低电平时,触发器将处于未定义状态。因为 S 和 R 的低输入违反了触发器输出应互补的规则。因此,触发器处于未定义状态(或禁止状态)。

下面的真值表总结了上述借助 NAND 栅极设计的 SR 触发器的工作原理。

使用 NAND 逻辑门的 RS 触发器可以通过反相输入转换成与普通 SR 触发器相同的真值表。如下图所示,我们可以不使用反相器,而是使用具有公共输入的 NAND 栅极。

简单的 SR 触发器存在的问题是,它们对控制信号的电平敏感(虽然图中没有显示),这使得它们成为一个透明器件。为了避免这一问题,我们引入了门控或时钟 SR 触发器(无论何时使用 SR 触发器一词,通常都是指时钟 SR 触发器)。时钟信号使器件对边沿敏感(因此没有透明度)。

时钟式 SR 触发器

时钟式 SR 触发器有两种类型:基于 NAND 和基于 NOR。使用 NAND 门的时钟式 SR 触发器电路如下所示

该电路是在基于 NAND 的 SR 触发器上添加两个 NAND 门而形成的。输入为高电平有效,因为额外的 NAND 门会对输入进行反相。两个额外 NAND 门的输入均为时钟脉冲。

因此,时钟脉冲的转换是该器件运行的关键因素。假设它是一个正边沿触发器件,该触发器的真值表如下所示。

使用 NOR 门也可以实现同样的功能。使用 NOR 门的时钟 SR 触发器电路如下所示。

该图显示了 RS 触发器的结构(因为 R 与输出 Q 相关联),SET 和 RESET 的功能保持不变,即当 S 为高电平时,Q 被置 1,当 R 为高电平时,Q 被复位为 0。

应用

SR 触发器是一种非常简单的电路,但由于其非法状态(S 和 R 均为高电平(S = R = 1)),因此在实际电路中应用并不广泛。但是,它们在开关电路中的应用却很广泛,因为它们提供了简单的开关功能(在设置和复位之间)。

开关去弹跳电路就是这样一种应用。SR 触发器用于消除数字电路中开关的机械反弹。

机械反弹

机械开关在按下或松开时,往往需要一些时间并振动数次才能稳定下来。开关的这种非理想行为被称为开关反弹或机械反弹。这种机械反弹往往会在低电压和高电压之间波动,数字电路可以对其进行解释。

这可能导致脉冲信号的变化,而这一系列不需要的脉冲将导致数字系统工作错误。

例如,在信号弹跳期间,输出电压的波动非常大,因此寄存器会对多个输入而不是单个输入进行计数。为了消除数字电路的这种行为,我们使用了开关去抖电路,在这种情况下,我们使用了 SR 触发器。

SR 触发器如何消除机械反弹?

根据当前的输出状态,如果按下设置或复位按钮,那么输出将发生变化,它将计算一个以上的信号输入,即电路可能会接收到一些不需要的脉冲信号,因此由于机器的机械弹跳作用,Q 值的输出不会发生变化。

当按下按钮时,触点将影响触发器的输入,当前状态将发生变化,并且不会对电路/机器的任何其他机械开关弹跳产生进一步影响。如果开关有任何额外的输入,则不会有任何变化,SR 触发器将在一小段时间后复位。

因此,只有在 SR 触发器执行状态变化后,即只有在接收到单时钟脉冲信号后,同一开关才会开始使用。

开关去弹跳电路如下所示。

开关的输入端连接到地(逻辑 0)。每个输入端都连接有两个上拉电阻。它们确保触发器的输入端 S 和 R 在开关处于触点之间时始终为 1。

使用 NOR SR 触发器可构建另一种电路。

开关的输入端连接到逻辑 1。每个输入端都连接有两个下拉电阻。它们确保当开关位于触点 a 和 b 之间时,触发器输入端 S 和 R 始终为 0。

常用的消除机械开关弹跳的集成电路有 MAX6816 - 单输入、MAX6817 - 双输入、MAX6818 - 八进制输入开关缓冲器集成电路。这些 IC 包含 SR 触发器的必要配置。

结论

这是一个关于 SR 锁存器或 SR 触发器这一基本存储电路的完整入门教程。您将了解到什么是 SR 触发器、它的工作原理、使用 NOR 和 NAND 栅极的实现方法、时钟 SR 触发器以及 SR 触发器的一个重要应用。

加载中...