新浪科技

PROTAC和分子胶有何相通之处?DeepTech发布《2023年靶向蛋白降解技术及产业现状研究报告》

DeepTech深科技

关注

来源:DeepTech深科技

靶向蛋白降解技术中,分子胶由于分子量更小,在成药性和生产工艺的优化环节更快,已成为 PROTAC 之后药企和资本关注的新宠。

2023 年 4 月 5 日,分子胶领域发生两起重磅交易,默沙东与 Proxygen 宣布达成最高 25.5 亿美元合作,Incyte 与 Biotheryx 宣布达成总额超过 3.5 亿美元的合作,表明了近期大药企对分子胶领域的追逐。

在之前文章《万字详解靶向蛋白降解:诞生二十年、近五年繁荣,一文讲清 PROTAC 及分子胶等 TPD 技术》中,DeepTech 研究团队对比了 PROTAC 与分子胶的区别。同为泛素-蛋白酶体降解途径,PROTAC 和分子胶自然也有很多相通之处。

PROTAC 在结构上具有与分子胶相似的部分

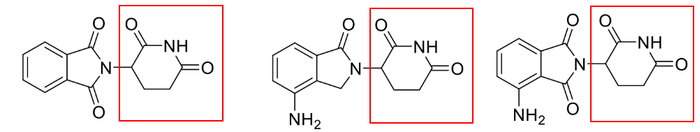
目前已经上市的三大分子胶药物沙利度胺、来那度胺和泊马度胺,都是 E3 泛素化连接酶 CRBN 的配体,它们结构类似,称为免疫调节酰亚胺(IMiDs)类药物。

三个 IMiDs 的共同之处在于它们都有戊二酰亚胺部分(图中红框所示),这部分已被证明对 IMiDs 与 CRBN 的结合口袋的相互作用的贡献最大。而在口袋外面的部分有所不同,可以使得 CRBN 具有不同的蛋白界面,从而以蛋白相互作用(PPI)的机制招募底物,如 GSPT1 或者 IKZF1/3 等等。

因此在设计新的依赖于 CRBN 的分子胶时,都是在戊二酰亚胺的基础上,改造其他部分。

在 PROTAC 分子中,其 CRBN 的配体也是 IMiDs 类分子。以目前  PROTAC 进展最快的管线是 Arvinas 针对前列腺癌 AR 靶点的管线 ARV-110 和针对乳腺癌 ER 靶点的管线 ARV-471 的结构为例:

图 2 | ARV-110 和 ARV-471 的结构(来源:Synthesis of novel glutarimide ligands for the E3 ligase substrate receptor Cereblon: Investigation of their binding mode and antiproliferative effects against myeloma cell lines)

图中红色部分是 AR/ER 的配体,黑色是 linker,蓝色部分就是 CRBN 的配体,可以发现蓝色部分与分子胶尤其是沙利度胺的结构十分类似。也正是因为这个类似结构,PROTAC 才能招募 CRBN,使得 AR/ER 被泛素化降解。

PROTAC 可以用分子胶形式发挥功能

既然 PROTAC 具有跟分子胶类似的结构,那么这一结构自然也会让 PROTAC 具有类似分子胶的功能。即 PROTAC 在发挥自身作用同时,也可以用分子胶形式发挥功能。

Nurix 公司的的 NX-2127 是一款针对 IRAK4 靶点的 PROTAC 分子,其能够同时以分子胶的形式降解 IKZF1/3。

类似的,Kymera 公司的 KT-413 也具有多靶点活性,能够在 BTK 的基础上额外以分子胶的形式降解 IKZF1/3。

清华大学饶燏团队开发的双机制降解剂也是利用此机制,其可以用 PROTAC 方式降解 BTK,同时用分子胶的方式降解 GSPT1。

需要注意的是,GSPT1 是蛋白质合成的关键调节因子,它的降解足以致死。因此 PROTAC 能以分子胶形式分会功能可谓是个双刃剑。对于肿瘤细胞来说,PROTAC 同时降解多靶点,可能使药物针对肿瘤细胞的活性更好,但在正常细胞中,其次级活性所带来脱靶毒性会导致细胞死亡。

拓宽 PROTAC 和分子胶的边界——寻找新的泛素酶配体分子

分子胶可以在 E3 配体分子基础上改造,PROTAC 的模块之一也是 E3 配体。而 PROTAC 和分子胶目前使用的E3连接酶都集中在 CRBN,这是限制二者发展的重要瓶颈。

那么如何寻找新的 E3 配体分子呢?通过一系列高通量筛选的手段相结合。

结构筛选:从泛素连接酶的结构出发,利用计算机辅助的手段,从分子胶库中以共晶结构、 分子对接等方式筛选理论上能与泛素连接酶相互结合的候选药物分子。

表型筛选:在结构筛选的理论基础上,高通量合成候选药物分子,测试它们对肿瘤细胞的杀伤能力,并通过敲除对应的泛素连接酶的方式,确认这些分子是以泛素连接酶依赖的方式杀伤肿瘤细胞。

蛋白质组学筛选:在表型基础之上,进一步通过蛋白质组学分析,寻找表达水平发生改变的蛋白,可以发现某个候选分子调控了哪些蛋白的水平。

生物化学筛选:蛋白质组学筛选到的丰度改变的蛋白并不一定是靶点,还可能是被靶点所调控的蛋白,因此需要生物化学的方法,让小分子与候选蛋白进行相互作用研究,进一步从表达水平改变的蛋白中找到被降解的蛋白靶点。

最后,在经历了一系列层层递进的高通量筛选之后,还需要确认筛选到的分子确实以分子胶的机制发挥降解作用。

分子胶的常见靶点包括依赖于 CRBN的IKZF1/3、IKZF2、GSPT1 和 CK1α,以及依赖于 DCAF15 的 RBM39 和 RBM23。仓勇教授在 2021 年利用上述高通量筛选手段,发现了一个依赖于 CRBN 的针对 Wee1 靶点的创新分子胶,目前这个药物即将申报 IND。

2023 年 4 月,Elizabeth A. King 等人将共价配体库、定量蛋白质组学、以及生物化学筛选平台结合,发现了一个创新的分子胶降解剂 EN450。EN450 是一种半胱氨酸反应性的共价配体,其独特地诱导 E2 泛素泛素酶 UBE2D 与致癌的转录因子 NF-κB1 接近,以诱导癌细胞中 NF-κB1 的降解。

图 3 | EN450 诱导NF-κB1(来源:Chemoproteomics-enabled discovery of a covalent molecular glue degrader targeting NF-kB)

此外,这一新发现还提示,除了 E3 连接酶之外,E2 连接酶和 DDB1 等泛素连接酶复合物的其他成员,也可以成为靶向蛋白降解技术招募的目标,进一步拓宽了 PROTAC 和分子胶的边界。

关于靶向蛋白降解技术的更多内容,请参见 DeepTech 发布《2023 年靶向蛋白降解技术及产业现状研究报告》。

本报告所载数据和观点仅反映 DeepTech 于发出此报告日期当日的判断。DeepTech 对报告所载信息的准确性、完整性或可靠性做尽最大努力的追求,但不作任何保证。在任何情况下,本报告中的信息或表述均不构成任何投资等建议,本公司对该报告的数据和观点不承担法律责任。不同时期,DeepTech 可能会发布其它与本报告所载资料、结论不一致的报告。同时 DeepTech 对本报告所载信息,可在不发出通知的情形下做出修改,读者应自行关注。

本文旨在传递生物医药最新讯息和行业分析,不构成任何投资意见和建议,以官方/公司公告为准。本文也不是治疗方案推荐,如需获得治疗方案指导,请前往正规医院就诊。

DeepTech Insights(DT Insights)是 DeepTech 旗下研究与咨询品牌,以科学驱动、产业导向为指导思想,以“技术+人才+企业”为锚点,以多维度关系型数据库为工具,开展研究咨询业务,帮助政府、高校、企业、机构实现人才资源挖掘、创新能力评价、技术与产业分析。

加载中...