新浪科技

速度不输高铁,“球类速度王者”羽毛球究竟如何飞行

IT之家

关注

说到羽毛球,想必每个人都不陌生。即使不是羽毛球爱好者,也会经常在各种运动场地或者广场上看到打球的人,也会对林丹、李宗伟等著名球员有所耳闻。

然而,即使是经常打球的爱好者也未必留意过羽毛球飞行的细节

羽毛球为什么设计成这样?它飞行时总是较重的球头朝前么?羽毛球最远能飞多远?它飞行时会旋转么?想必这些问题已经引起大家的好奇了,那就一起走进正文吧~

只要打过羽毛球的人都会注意到一个现象,那就是当球朝你飞来的时候几乎都是球头在前的姿态。换位思考一下,对手一定也会看到同样的现象。那么只有一种可能,就是每一方击球后,羽毛球都会翻个跟头,然后掉头往回飞。问题在于,掉头是击球瞬间就完成的么?也许我们想当然地会这样认为。

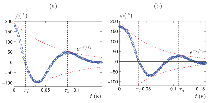
可惜答案并不是这样。如上图所示,击球的瞬间基本在 1ms 左右就完成了,然而一般在 20ms 左右球才能完成翻转。随后还要经历阻尼震荡的过程,才能使其球头指向速度的方向。为了更直观地展现这个过程,我们在图 2 中画出了球头指向与速度方向间的夹角 φ 随时间的演化。其中 τf、τo 以及 τs 分别代表第一次翻转至球头朝前用时、阻尼振荡时间以及达到稳定的特征时间。

可见,经历了 0.1-0.15s 的时间,羽毛球看上去就已经是球头朝前的姿态了,因此除了一些特殊的击球情况,我们难以用肉眼捕捉到羽毛球击球后迅速翻转调整的过程。那么。羽毛球的这一翻转行为与其自身的结构有什么关联么?

答案是有的。羽毛球由软木材质的球头以及用鹅毛 / 鸭毛或塑料等材质制成的裙状结构组成,其中球头较重而裙状结构截面积较大。我们不妨把这一特征抽象为如图中 B 和 C 标识的质量大、截面积大的裙状区域以及质量小、截面积小的球头区域。

在飞行时,假定球头方向与速度方向并不一致,有一个夹角 φ,则作用在 B 和 C 上的空气阻力就会分别产生一个以质心 G 为参考点的力矩。一方面裙状结构的截面积大,空气阻力 FD 更大,另一方面 BG 相比 GC 更长,因此球必然会围绕质心逆时针旋转,直至球头指向速度方向

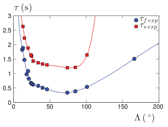
如果上面的重量分布是很容易就能想到的,那么关于羽毛球为何选择接近 45° 的张角可能很少有人思考过。其实这是与羽毛球能否经历翻转更快达到稳定息息相关的。曾有学者用小铁球和塑料材质的裙状结构复刻了羽毛球的形状和质量分布特征,在水中以裙状结构朝下的方式自由释放,让其在下沉过程中翻转,下图显示了其张角是如何影响翻转和稳定时间的

可见,张角过小和过大都不利于翻转的稳定,而从 30° 到 90° 的范围会经历一个稳定较快的平台区。显然,羽毛球的张角正是落在这个区域内。

与网球不同,羽毛球由于其球本身质量较轻,飞行时受空气阻力影响较大,所以其飞行轨迹严重偏离抛物线的形状。一般来讲,羽毛球飞行遵循的运动方程可以写作

其中 M, ρ 和 S 分别是羽毛球的质量、密度和截面积,U 是速度的大小,Ug 是速度和重力加速度的矢量,而 CD 则是与测试条件相关的常数。不难理解,除了令其做斜抛运动的重力项外,球还会收到大小与速度平方成正比,方向与速度反向的阻力。而具体轨迹则由初始速度的大小和方向决定。对于羽毛球,我们可以定义一个与其飞行特征相关的量,称为气动长度

对于我们所使用的羽毛球,这个距离约为 4.6m,它决定了羽毛球在自由竖直下落时最终的稳定速度为 U=6.7m / s。下图中,我们可以看到不同初始速度下羽毛球飞行轨迹的计算值 (实线) 与实际值 (散点) 的对比,可见该运动方程可以较好地预测其轨迹。

那么,羽毛球可以飞多远呢?我们不妨看看羽毛球做近似上抛运动后下落到与出发高度相同时行进的距离 x0 的变化趋势。根据上面的运动方程,我们可以发现这一距离取决于羽毛球的初始速度。将飞行距离 x0 关于初始速度仰角 θ0 和速度大小 U0 的关系作图,可以得到下面的结果。

只要打过羽毛球,这张图里面一定包含了一些你可以感同身受的信息点。比如我们发现无论使用的力气多大,似乎羽毛球的飞行总是在某一个距离附近“戛然而止”。这张图中的速度上限已经达到了 140m/s,然而能达到的最远距离还是只有 13.83m。而我们使用的羽毛球场地长 13.4m,这就是为什么羽毛球从一侧后场即使用尽全力也几乎只能打到对方后场,即使出界也不会出很多。

有的读者可能会问,速度上限设置到 140m / s,是不是太夸张了?羽毛球能飞这么快?其实并不夸张。2013 年 7 月,马来西亚男双名将陈文宏在实验室的理想条件下杀球打出了 493km/h 的惊人速度,相当于 136.9m/s。而也有消息称丹麦选手科丁曾打出 506km/h 的杀球记录,即 140.6m/s。即使在比赛中,科丁也曾打出 426km/h 的超快杀球。因此羽毛球是当之无愧的球类速度之王!

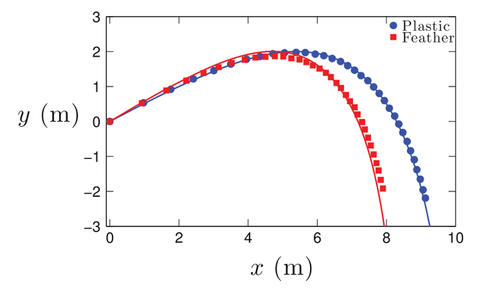
其实,羽毛球的飞行轨迹也与球的种类有关。我们常见的有羽毛制球和塑料制球两种。下图显示了他们飞行轨迹的差异。

一方面在初始角度和速度相同的情况下,塑料制球的可到达范围要比羽毛制球大;另一方面羽毛制球在飞行最高点附近的曲率更大,轨迹更接近“三角形”

这是由于保证坚固程度以及成本较低的情况下,塑料制球往往偏重一些。这也意味着在同样不出界的情况下,羽毛制球可以以更快速度飞行,从而减少对手的反应时间。因此羽毛制球往往更受青睐。

大家可能留意过,羽毛球的羽毛是朝同一时针方向倾斜排布的。这是无关紧要的设计么?其实不然。我们可以把每一个羽片看作一个薄板,其在流体中行进时会受到方向垂直于平面且与速度方向相反的力,如下图所示。

我们立刻就会想到,这些力的合力会使得羽毛球整体绕轴线旋转!当羽毛球以更快速度行进时,受到的阻力会越大,合力产生的力矩也会随之增大,使得羽毛球更快旋转。如果我们用角速度 Ω 与羽片轴向半径 R 相乘,得到羽片处的线速度,就会发现其几乎与行进速度呈线性关系

而且,相比塑料制球,羽毛制球在飞行时的旋转速度明显更快。分析表明,更快的旋转会限制羽毛制球的进动,这有利于羽毛制球在飞行时的稳定

看来,羽毛球的飞行细节真的是一门大学问。在这个过程中,我们不仅可以学到丰富的物理知识,还有助于了解球的飞行轨迹。看完推送的小伙伴快点拿起球拍,看看球技有无精进吧~

参考资料:

本文来自微信公众号:中科院物理所 (ID:cas-iop),作者:云开叶落

加载中...