新浪科技

边界层理论

IT之家

关注

边界层理论”的概念最早可以追溯到十九世纪时的流体力学。当时的理论流体力学从无粘不可压缩的欧拉方程进行推导,由于忽视粘性影响导致理论与实验结果存在明显的矛盾,难以解释管路压降等问题。在当时其实已经提出了有摩擦的纳维斯托克斯方程 ,但受限于数学水平无法求解方程,故理论与实际一直存在巨大误差。最后从实际出发发展出了水力学,通过实验数据避开了理论分析。

在此基础上,普朗特 (Ludwig Prandtl) 提出了边界层的概念,在海德尔堡第三届国际数学家大会上发表了 “关于摩擦极小的流体运动” 一文。在该论文中,普朗特提出绕固体流动的流体可分为两个区域:

“边界层”这一理论的提出,极大化简了理论求解动量方程。

后来,在实验中科学家们发现,边界层具有以下特点:

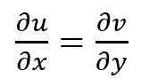
我们首先考虑二维定常不可压缩流动,规定沿流动方向为 x 轴,垂直壁面方向为 y 轴。

我们可以得到连续方程

        动量方程

        边界条件

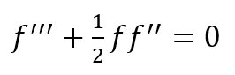
在经过边界层化简后,方程仍含有非线性项,在 1907 年,布拉修斯通过方程化简得到了著名的布拉修斯方程

1921 年,冯・卡门提出了边界层动能积分方程以计算边界层问题,通过上述方法我们能对边界层方程进行求解。

“分离” 指的是 边界层出现脱离表面并回流 的现象。壁面对边界层的 粘性力 和与流动方向相反的 压差阻力 使得在物体某处的边界层发生分离,形成回流区,导致很大的能量耗散。这种分离有一些典型的例子,例如绕流过圆柱、圆球等钝头物体后的流动;角度大的锥形扩散管内的流动等等。当层流边界层在到达分离点前已转变为湍流时,由于湍流的强烈混合效应,分离点会后移。这样虽然增大了摩擦阻力,但压差阻力大为降低,从而减少能量损失。

“转捩” 指的是 边界层内的流动状态发生变化 ,在低雷诺数时是 层流 ,在高雷诺数时是 紊流 。当粘性流体绕流物体时,在物体前缘附近的是层流。随着离前缘的距离的不断增加,雷诺数也逐渐加大,层流边界层流动随雷诺数增加会出现不稳定现象。流体中不可避免地存在着扰动,使层流发生变化,向紊流过渡,最终完全变成了紊流。层流向紊流的过渡称为转捩。

作者:锅炉-251

加载中...