新浪科技

人类能把粒子加速到多快?

新浪科技综合

关注
粒子加速器,人类文明的进步

天下武功,唯快不破!宇宙中最快的速度是什么?我相信很多人都知道,是光速(此处只考虑物质的速度,而不考虑诸如宇宙膨胀速度等)!大约30万公里每秒!以这个速度,一束光每秒能绕地球赤道七圈半!坐地日行600亿公里啊!那第二快的速度是什么?正所谓文无第一,武无第二,物体的速度只有第一快,没有第二快!

不过,为了研究宇宙的起源、物质的构成,人类建造了粒子加速器和粒子对撞机,把极小的粒子加速到非常快的速度,接近光速,然后让它们迎头相撞,粒子分崩离析,飞向四面八方。收集这些四散而逃的粒子,分析它们的行为,就可以反推出对撞粒子的性质了。

来源:https://home.cern/news/news/accelerators/lhc-experiments-join-forces-zoom-higgs-boson)

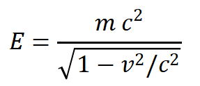
那我们能把粒子加速到多快呢?能达到光速吗?很遗憾,这是不能的,这是被大自然所禁止的!一个粒子的能量与速度的关系为:

m是粒子的静质量,c是光速,v是粒子的速度,可以看到,如果一个静质量不为零的粒子,如电子、质子、原子核等等,速度达到了光速,那么它的能量也就会无穷大,这显然是不可能的。当然,虽然不能达到光速,但是可以不断接近光速,只要能提供足够的能量,那么粒子的速度就可以足够接近光速。

目前世界上最大的粒子对撞机,是位于欧洲核子中心的,大型强子对撞机(LHC),它加速的是质子,也就是氢原子核。能多快呢?最快能达到光速的99.9999991%,跟光速已经非常接近了!

那加速电子呢?位于美国斯坦福的直线加速器(SLAC),能把电子加速到光速的99。 999999995%。虽然这个速度比上文中提到的质子快多了,但其实加速电子比加速质子更容易,因为电子的质量更小,相比之下仅有质子质量的1800分之一。根据上面能量的公式,相同的能量下,静质量越大,那么速度就越小。

除了电子和质子,还有一种加速器,加速的是各种原子的原子核,原子核可比单纯的一个质子或者电子重多了,比如说,位于美国布鲁克海文国家实验室的相对论性重离子对撞机(RHIC),就能把金元素的原子核加速到光速的99.995%,虽然不及上述质子和电子的速度,但也已经非常快了。原则上来说,所有的原子核都可以被加速到接近光速的地步,但根据其质量大小,速度自然也快慢不一。

在加速这些粒子之后,自然会令它们对撞,那么两个原子核是以什么姿态对撞呢?这样吗:

图片来源:https://sciencesprings.wordpress.com/tag/eic-electron-ion-collider-in-development/

显然不是,而是这样的:

图片来源:https://madai.phy.duke.edu/indexaae2.html?page_id=503

出现这种情况是因为原子核是有一定体积的,而速度接近光速,那么在速度方向就会出现尺缩效应,一个球状的粒子就变成一个薄饼了!

不过这并不是极限,更大更长的加速器,往往意味着更高的能量和更快的速度。很多人可能预想未来的环地球、环太阳系、甚至环银河系加速器,目前这些都还停留在科幻中,我们看看目前在规划或者已经在建的加速器和对撞机。

国际直线对撞机(ILC),加速对撞的粒子是正负电子:正负电子分别通过一个11公里左右的直线加速器加速的(而不是环形的),预计能把电子加速到 250GeV,而速度则达到了光速的 99.99999999979%,小数点后一共11个9!比上面提到的SLAC还高!一旦建成,将成为有史以来最强的电子加速器和对撞机。

最近几年,中国也在推一个环形正负电子对撞机(CEPC),这是环形的加速器,目标能量125GeV,电子速度为光速的99.99999999916%,也是11个9!除此之外,按照计划,如果一切顺利的话,CEPC后期可能会升级成一个超级质子-质子对撞机(SppC),其中的二期工程预期期望把质子加速到75TeV,比目前LHC的7TeV高了不少,届时质子的速度能到光速的99.999999992%,有10个9,这速度,确实够快了!

图片来源:https://new.qq.com/omn/20191210/20191210A0G0BH00.html

此处需要多说一句,粒子的能量不是越大越好,速度也不是越快越好。这取决于研究目标。比如未来的重离子对撞机并不是要增大对撞能量,而是降低对撞能量:高能对撞相对容易,而低能对撞则难点重重。

说了这么多高能粒子对撞,有的小伙伴可能就担心了,粒子能量如此之高,那对撞机会不会产生巨大的能量,毁灭地球呢?比如产生一个微型黑洞吞没地球呢?

实际上,这种担忧是杞人忧天。粒子的能量高,是指单粒子的能量高,但是对撞机里的总粒子数,相对于宏观物质所包含的粒子数来说,其实是非常少的,所以总能量也很小,你吹一口气的总能量甚至都比对撞机里的粒子总能量高。当然,你吹出的空气分子的平均能量低,无法用于对撞!

而且,人类加速粒子达到的能量看着挺高,但是放眼宇宙,那也是个弟弟啊。1991年的时候,人们探测到了一个来自宇宙的质子,其速度是为光速的99.99999999999999999999951%,小数点后一共23个9,比目前人类能达到的速度和能量,不知道高到哪里去!

这个粒子能量实在太高了,就把它称为“The Oh-my-god particle”(据说一开始称为“god damn particle”,但是觉得不太文明,就改了)。在地球过去的45亿年里,这样的高能粒子肯定很多,但是地球并没有受到什么影响,人类也从来没有观测到,宇宙中有哪个星球被一个高能粒子给摧毁,所以,大家尽管放宽心,对撞机是摧毁不了地球的!

出品:中国科普博览x知乎

作者:子乾

加载中...