新浪科技

才20多岁就开始反应迟钝了?大脑:我到60岁还在巅峰!

环球科学

关注

大脑快速决策时处理信息的速度可以一直保持到60岁

撰文 | 李诗源

审校 | 二七

在几十年前,就已经有各种研究发现,在各类涉及大脑处理信息的速度的测试中,都是年龄越大的人表现越差,包括需要快速做出选择、区分大小、识别目标的测试。比如1989年发表的一项研究,测试了5325名被试的简单反应时。简单反应时指的是在一个反应仅对应一个刺激的情况下,被试对刺激立即做出反应需要的时间,不需要在不同的选项之间进行区分和选择。比如,要求被试一听到播放的声音就立即按键,然后测量被试按键所需时间。这项研究发现,在大多数的测试中,20多岁的被试平均反应时是最短的。如果比较每个被试最快的测试结果,20多岁的人也是最有优势的。

总的来说,在各种认知测试和场景中,科学家普遍发现,基本上在成年之后,人的反应速度就开始逐渐下降,20多岁差不多就是我们脑子转速的巅峰期。甚至有观点认为,“信息处理速度随着年龄增长而下降”是心理学领域最可靠的发现之一。这种普遍的认知,不仅会让人们对年纪大的人产生偏见,也可能引发职场歧视。

当然了,长久以来人们早已默认了这种自然规律,即便是只有30多岁,也有一些中年人会自我调侃“上了年纪,脑子没以前灵光了”。不过,也有严谨的科学家想为诸位“中老年人”鸣不平,一直在质疑:才20多岁,脑子真的就要开始走下坡路了吗?

反应慢真的是反应慢吗?

在讨论这个问题之前,我们先要搞清楚反应快慢是怎么评判的。在各种反应速度的测试中,人们往往会测试反应时,也就是被试从刺激到呈现反应所需的时间。这既包括前面提到的简单反应时,也包括涉及到选择的反应时,例如告诉被试亮红灯时按左键、亮蓝灯时按右键。通常,从亮灯到被试按下按键,整个过程花的时间就是反应时。

这种方法简单而且易行,但是显然不能真实地反映一个人的“脑子”在做决策时到底运行得有多快。因为在这个过程中,被试要先看到灯光,再在大脑中对照测试规则确定应该按的键,最后伸出手或者按动手指按键,这也就意味着对刺激信号进行编码、大脑输出决策信号、控制运动单位作出应答等多个环节,都被算在了“反应时”里

于是就有科学家想到,可以把做决策的过程分解开来,分别看看每个环节的快慢。如果把决策看作一个大脑逐渐收集信息、最终作出判断的过程,那么可以假设在面临多个备选项时,大脑会以一定的速率积累感官收集到的证据。随着证据越来越多,大脑对选项的确信程度也越来越强,当证据积累的量达到了某个阈值时,大脑就能够确定最终的选择。当然,这个过程也会受到其他的、决策本身无关的因素的随机影响。

这就是漂移扩散模型(drift-diffusion model)。其中,信息积累的速率,对应了大脑在快速决策时真正的处理速度,或者说心理速度(mental speed)。而阈值越高,表明在作出决策前需要积累的证据越多,这也代表了人更谨慎、更追求结果的准确性。而编码刺激信号、按键这些过程,就是与决策本身无关的因素。

2020年,德国海德堡大学的几位心理学家用这种模型,分析了125名18~62岁被试的数据,发现年纪大的人在非决策过程上花的时间更多,做决策时也更谨慎。但如果要比较真正的信息处理速度,年长和年轻的人就很难分出胜负了,并且和具体的测试内容也有关系。他们还发现,在大多数情况下,不同年龄的人测试结果的差异主要受非决策过程的时间影响。到了2021年,这群科学家的另一项研究总结了25项使用了这种模型的研究,也得到了类似的结果。

不过,即便是把25项研究汇总在一起,也一共只包括了1503名被试。他们觉得这个样本太小,得出的结论既不够可靠,也不够精细。不久前,他们在《自然·人类行为》(Nature Human Behavior)上又发表了一篇论文。这次,他们找到了近120万人。

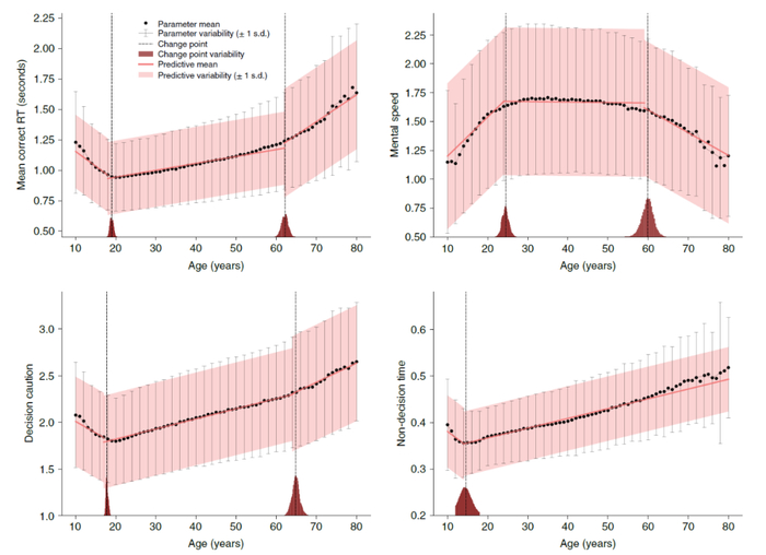
60岁才变慢

这些被试的年龄从10岁到80岁不等,以年轻人为主,平均只有27.42岁。他们都在网上做了一项在线的测试,内容很简单:给出一个单词,例如“友谊”“开心”“悲痛”,按规定好的类别,判断这个词是“好”还是“坏”;或者看一张人脸照片,判断这个人是黑人还是白人。判断之后,被试需要迅速按下选项对应的键,他们的反应时则会被系统记录下来。

如果只看完整的反应时,从10岁开始,被试的反应时随着年龄增长逐渐缩短。第一个转折点出现在19岁前后;从此之后,反应时便开始缓慢增加。到了62岁左右,第二个转折点出现,之后反应时开始更快地增加。这个结果基本验证了“20岁左右反应最快”这个观点

不过,如果按照前面的模型把反应时拆开,结果就有点让人意外了。如果只考虑大脑快速决策时处理信息的速度(就是前面提到的心理速度),那么从10岁到24岁左右,心理速度逐渐加快;从此之后一直到60岁,心理速度基本不变,60岁之后才开始增加。也就是说,哪怕到了60岁,大脑的反应速度和20多岁时也是差不多的。而完整的反应时之所以在19岁以后就开始增加,基本上是因为随着年纪增长,人的决策变得更为谨慎,而且花在按键等过程上的时间更长——和以前的研究结果是一致的。

换句话说,年纪大了反应变慢,很多时候并不真的是因为你的脑子变慢了,实际上只是因为你变得更谨慎了,或者是你的手脚变慢了,跟不上自己的脑子。(玩过德国心脏病或者UNO的读者,对此或许有切身的体会。)

脑力的分水岭?

新研究的结果看起来让人很欣慰。不过认知是非常复杂的过程,这项研究毕竟只采用了一种测试方法。况且前面总结的那些趋势只是平均水平,而不同的人个体差异可能很大。所以即便是只考虑反应速度,也很难说它是不是真的找到了我们的大脑变老变慢的分水岭

虽说以前的许多研究认为20多岁可能是我们脑子转速的巅峰期,但在40年前已经有研究发现,老年人的反应速度不见得就比年轻人慢很多。在这项研究中,从18岁到93岁,虽然被试的简单反应时随年龄增长而增加,但是平均每10岁才增加不到2毫秒,在上百毫秒的反应时中占的比例微乎其微。不仅如此,研究人员还发现反应时的这种年龄差异,其实与测试方式有关:是否在施加刺激前先给被试呈现一段时间的提示信号、让被试做好心理准备,会影响反应时的年龄差异。

更早一些的研究甚至发现是否经常运动也会影响反应速度,甚至会在一定程度上抵消年龄增长的影响,总体来说不同被试反应速度的高低排行大致是:年轻且爱运动>年长且爱运动>年轻且不爱运动>年长且不爱运动。一个可能的原因是,运动机能更强的人在测试中的非决策过程上有优势(用手按键的速度更快)。后来也陆续有许多研究表明,平时喜欢运动的人,反应速度或许更容易常年保持年轻时的水平。

如果考虑的范围再扩大一些,那么不同的认知能力变化的时间轴也不是同步的。那些涉及新信息,与信息加工、随机应变和快速解决问题相关的能力,比如短时间内记忆照片、成对词汇或者复述故事等,往往在20岁左右就达到巅峰;而那些与社会文化经验和积累相关的能力,比如解释词语的含义、回答常识性问题、解释事情的原理、算数等,可能要到四五十岁才达到巅峰;还有一些能力介于其中,在二三十岁时会有一段平台期。

虽然科学家已经进行了几十年甚至上百年的研究,但目前看来,我们对“人到了几岁脑子才会变慢”这个问题还是很难一言以蔽之,而“到了几岁脑子会变老”就更难说清楚了。不过姑且可以认为,你的脑子可能不像你之前担心的那样,在你年纪轻轻时转速就下降了。

如果二三十岁的你觉得脑子已经变慢了、总是比别人慢半拍,不妨乐观一点:没准儿你只是行事比较谨慎,或者是在尝试驯服四肢的过程中一败涂地罢了。

加载中...