新浪科技

量子世界里有两只猫,一只是薛定谔的猫,另一只是......

新浪科技综合

关注

来源:中科院物理所

撰文丨冯遥

又是一个风和日丽、没有懒觉、要赶早课的上午,小明同学抱着一本量子力学匆匆走在去教学楼的路上。在经历了“因为在热学课上睡着、所以在梦里当了一个世纪的打工小妖”的人间惨案之后,小明决心早睡早起、规律作息、再也不偶尔通宵玩游戏,把再度沦落为打工人的可能性扼杀在摇篮里。

但众所周知(此处“众所周知”的可信度等同于数学书里“易证”的可信度),只要你开始学物理,总是会有一些无法用常理解释的奇异事件发生在你身上。就好像小明也不明白,为什么自己好端端地在路上走着、思考自己马上要学的叠加态原理,怎么一眨眼的功夫,就掉进了一个地洞里,而且这个地洞深不可测,掉了好一阵子也没有到底。已经有过一次魔幻经历的小明迅速冷静下来,开始观察周围的环境,发现地洞四周的土壁上有一些猫爪印,爪印附近有波函数薛定谔方程期望值之类的物理记号,还有一个长得很像期望值的表达式,但是算符两边的态矢却不太一样

还没等小明思考出那个奇怪表达式的物理含义,他就“咚”地掉到了一个东西上。小明向下一看,差点哭了出来——箱子!又是一个箱子!为什么老和箱子过不去!我已经有箱子PTSD了!小明颤抖着将手往背后一摸,松了一口气:还好还好,这次没有尾巴。

第一只猫

小明从箱子上跳了下来,发现不远处有一棵树,树枝上卧着一只正在打呼噜的大肥猫。小明看看猫,又看看背后的箱子,联想到掉下来的过程中看到的那些表达式,突然有了个大胆的猜测,他喃喃自语道:“好家伙,这猫不会是薛定谔猫吧,难道我这次是要把这只猫关进箱子里?”

话音刚落,小明发现树上的那只猫睡醒了,瞪着圆圆的眼睛跟小明对视:“我不是我没有你不要乱说,那只倒霉猫已经被关进去了”。小明被开口说话的猫惊得往后一弹,肥猫见怪不怪,抬起左爪舔了舔自己的肚皮,眼也没抬,再次出声制止小明想要打开箱子一探究竟的举动:“我劝你不要打开那个箱子。”

“为什么?”小明的手停在了半空中,呆呆地问。

“为什么?你居然问为什么?你手里不是拿着一本量子力学吗,居然还问出这种幼儿园大班小朋友才会问的问题。”小明发誓他在这只肥猫的脸上看到了嫌弃,“我问你,你刚刚想干嘛?”

“想打开箱子看看这只猫怎么样了。”小明老老实实地回答。

“你这个行为在量子力学里叫什么?”

操作(operator)测量(measure)?”

“还行,没有蠢到无可救药。你打开箱子这个操作是要作用在这个箱子里的倒霉猫上,测量它到底是处于“死”还是‘活’的状态(state。我问你,你在测量它之前,就现在,它是个啥状态?”

“有可能还活着……也有可能已经死了……它现在就是个叠加态,“活”和“死”两个状态的叠加。”

“对啊,那你这个操作一作用上去、一测量,这个系统的状态不就坍缩(collapse)到一个确定的态上了嘛,要么活着要么死了;如果它活着还好说,要是死了,那可就是你的测量行为导致了它最后的死亡吗,猫猫这么可爱,为什么要让猫猫死掉。”

第二只猫

“如果箱子里的猫是薛定谔猫,那你呢?你是什么品种的猫?”小明决定不去管箱子里的猫了,既然暂时也没办法出去上课,不如好好跟树上这只猫唠唠,毕竟它看起来很了解量子力学的样子,四舍五入就等于补上缺勤的课了。

“我跟箱子里那家伙一样,都是量子世界里的生物。可以说箱子里的猫是我的老祖宗,几乎在量子力学刚刚建立雏形的时候,它就诞生了——用来解释‘叠加态’和‘观测导致坍缩’这些反直觉的物理,我嘛,叫柴郡猫……”

还没等它说完,小明忍不住打断:“是《爱丽丝梦游仙境》里的那种柴郡猫吗?身体慢慢消失,但是脸上的微笑却还留在半空中。”小明看它懒洋洋地点了点头,思考了一会又问:“那你和量子力学什么关系?”

“我是一只年轻的猫,21世纪才出现在量子世界里[1],你不知道也正常。箱子里那家伙的产生是为了将哥本哈根学派对量子力学的基本诠释具象化,我也差不多,我的出生是为了解释一种只能在量子世界中观察到的现象——微观粒子的物理属性(比如电子的电荷和自旋、光子的偏振等等)可以和它的本体(电子、光子)分离,就好像我的笑容可以独立于我的身体而存在一样。”

“这怎么可能呢?物体的属性必须依赖于物体而存在啊,皮之不存,毛将焉附?”小明不可思议地大喊,“没有偏振的光子,没有光子的偏振,这都是什么东西啊。”

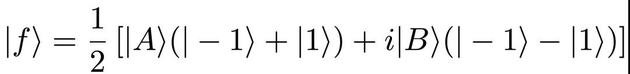
“然而事情就是这么发生了这种诡异的现象在实验中也被观测到了,当然,他们没有真的观测一只猫和它的笑容。”柴郡猫开了一个小玩笑,小明觉得整个地下世界的温度都随之降低了不少,“Aharonov[1]是在光学系统提出这样一个实验,他们把光子当作一只猫的本体——这个时候还不能确定这只猫是不是能分离笑容的柴郡猫——把光子的偏振态(左旋和右旋圆偏振态|-1>,|1>)当作这只猫的笑脸。

最开始他们给光子制备一个初选择态(pre-selected state),换句话说,Aharonov采取一些措施(50:50分束镜),使得光子在初始时刻处于某个人为选择的状态(一束光在经过这样的分束镜后,等概率地沿两条路径传播,也就是说和薛定谔猫一样,处于A/B两个路径态的叠加态)

初选择态,A,B表示路径,1,-1表示偏振态

光子的本体用路径可观测量表示偏振属性用条件偏振可观测量表示分别做弱测量,把弱测量后的光子投影到一个和初选择态不一样的后选择态(post-selected state)上,你可以这么理解:他们设置了一个条件(后选择态),只关注弱测量后还满足这个条件的光子(投影测量)。

第一行从左到右分别是两个路径可观测量和偏振可观测量

第二行是后选择态

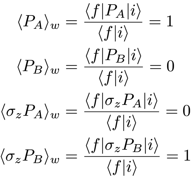
有了这两个精心选择的前后态,他们得到了反映光子本体偏振弱值结果表示光子只在路径A上出现,光子的偏振只在路径B上出现……

前两行分别表示光子出现在A,B两个路径上的概率

后两行分别表示光子偏振出现在A,B两个路径上的概率

“简而言之,光子本体和它的偏振属性分离了。”小明代替柴郡猫做了总结发言,并迅速地提出了自己的疑问,“不过你刚刚说的弱测量弱值是什么意思?”

猫的本体和它的笑脸分离来源:参考文献[3]

“弱测量是相对于强测量而言的,这里的强弱指的是被测量的系统和测量探针之间相互作用,你之前所接触到的测量几乎都是强测量,比如你刚刚试图打开箱子判断薛定谔猫是否还或者的行为,在你的强测量后,尽管你能确定它的状态了,但与此同时也破坏了它的状态——从一个叠加态坍缩到一个确定的态,而弱测量是在系统和探针相互作用非常微弱的情况下进行的,就比如你只打开箱子的一点点缝隙,虽然你无法准确判断那只倒霉猫是死是活、只能通过气味之类的信号得到少量的信息,但是你的测量对它的影响就很小了。”

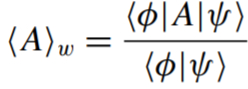
“至于弱值,你可以把它简单理解成弱值测量得到的结果。弱值测量的过程包含了弱测量,只不过在弱值测量中,除了被测系统和测量探针有微弱的相互作用外,还需要确定我刚刚提到的初选择态和后选择态,投影到后选择态上的测量是一个强测量,能给出中间弱测量的结果,也就是弱值。”

“讲了这么多也不知道你听懂多少。”柴郡猫伸了一个懒腰,“这样吧,你用弱测量的方法去看看箱子里那家伙到底是个啥情况,测出结果你就能回去了,小心你的动作幅度,别让它坍缩了。”

“弱测量不是只能得到一点点信息吗?难道我要测量很多次?”小明看柴郡猫点点头,突然感到绝望,“那我要测多长时间?测不出来怎么办?”

柴郡猫并不回答小明的问题,它从尾巴开始慢慢消失,只留下一个诡异的笑脸:“我只是一只小猫猫,小猫猫能有什么坏心眼呢?”

参考文献:

[1]Aharonov, Yakir, et al。 “Quantum cheshire cats。” New Journal of Physics 15.11 (2013): 113015。

[2]两只柴郡猫的交换笑脸

[3]Denkmayr, Tobias, et al。 “Observation of a quantum Cheshire Cat in a matter-wave interferometer experiment。” Nature communications 5.1 (2014): 1-7。

[4]Tamir, Boaz, and Eliahu Cohen。 “Introduction to weak measurements and weak values。” Quanta 2.1 (2013): 7-17。

[5] 小科普er~ 弱测量(Weak Measurement)和弱值(Weak Value),其实一点儿也不“弱”啦!

[6] 小科普er~量子悖论:人家是神秘的Cheshire cat (柴郡猫),可不是倒霉的Schrodinger‘s cat (薛定谔猫)!

文章转载自公众号“中科院物理所”(id:cas-iop)

加载中...