新浪财经 股票

艾格拉斯的“罪状”:高价并购、低价掏空、内幕交易等

新浪财经

关注
日k线图

日k线图

艾格拉斯:高价并购、低价掏空、内幕交易、巨额套现、资金占用、商誉爆雷、连续巨亏、濒临崩盘……

来源:市值风云

气到风云君已经起不出标题了,只能把这家公司的“罪状”一一罗列。

艾格拉斯(002619.SZ)与A股那些讲故事、玩套路、经营股票的公司一样,跨界并购、业绩短期爆发、大股东趁机大幅减持……都是标配动作。

而最终的结局基本也是一样,商誉爆雷、业绩扑街、股价大跌,都是天道轮回,报应不爽。

一、前身巨龙管业

艾格拉斯原名巨龙管业,2001年6月成立,十年后的2011年9月在深交所挂牌上市。

提到巨龙管业,风云君好似看到了老相好,这公司可是在市值风云创业的第一年,就有幸成为风云君笔下被扒的老牌厚脸皮套路股啊。2016年,那时还非常稚嫩的风云君,就已经决定为巨龙管业风骚的割韭菜姿势立传了《“永大式”清仓减持已经落伍:一道小学数学题的“减持”应用!》。(下载市值风云APP,搜索“巨龙管业”)

说真心话,风云君至今也没搞明白,巨龙管业改名叫“艾格拉斯”,到底是因为风云君的那篇文章呢,还是因为风云君的那篇文章呢,还是因为风云君的那篇文章呢?

巨龙管业的控股股东为巨龙控股,实控人为以吕仁高为代表的吕氏家族。巨龙管业上市后吕仁高、吕成杰父子直接间接合计持有50.16%的股权。

上市之时的主营业务为混凝土输水管道,业务收入规模一直非常小,混凝土输水管道业务被出售前,收入规模最高时也只有5.05亿元(2013年)。

巨龙管业虽是传统行业,但吕老板显然并不安于现状,要让上市公司股价活跃起来,怎么也得赶上那些游戏啊、互联网啊、电子啊。

要炒高股价割韭菜就得改变!不对,要炒高股价给中小股东带来投资惊喜,就要改变!

于是,自2014年开启跨界并购,业绩在短暂的提振后却引爆商誉减值大雷,最终给中小股东带来的却是一路惊恐。

总市值也从2016年10月最高点一路下跌,区间最大跌幅超过90%。

二、资产倒腾

上市公司的资产腾挪手段包括:高溢价买入资产,零溢价卖出资产;所收购的资产有的刚过业绩承诺期就爆雷,有的在承诺期内也大大方方的爆雷。如今故事讲完,套现结束,股价也一地鸡毛,一度跌破1.3元了。

不过,“再穷不能穷老板,再苦不能苦实控人”,上市公司倒霉那是上市公司的事,是广大散户的事,与我们吕氏家族何关呢?

是的,吕氏家族光通过卖股票就已经套现至少14亿元,同时长期拖欠上市公司2.5亿元不还。

(一)并购艾格拉斯游戏

2014年2月24日,上市公司发布停牌公告。随后披露筹划重大资产重组。

2014年5月22日,上市公司发布重大资产重组预案,拟以30亿元收购艾格拉斯科技(北京)有限公司(为与上市公司做区分,以下简称“艾格拉斯游戏”)100%股权。

王双义通过日照义聚、日照众聚合计持有艾格拉斯游戏的51.74%股权;此外,刘汉玉持有日照众聚的20%权益。

请记住这两位老板的名字,他们将在2017年7月从吕氏家族手中接掌上市公司。

该预案披露,艾格拉斯游戏主营业务是从事移动终端游戏开发和运营,产品拥有来自港澳台、韩国、日本、东南亚、俄罗斯、中东、美国等境外区域的玩家。2013年来自境外的业务收入占比达约60%。

被收购时,该公司拿得出手的就一款游戏《英雄战魂》;预案宣称,该游戏在2013年全球市场的游戏充值额达4.3亿元。

但从其公布的营业收入来看,似乎与其公布的数据有那么一点差距哦。实际情况是,艾格拉斯游戏的业务收入只在2013年雄起了一年,2014年上半年就出现了下降。

为了能糊弄过关(非公开发行审批),不对!应该说是为了能让利给广大中小股东,艾格拉斯游戏的原股东们决定降价出售。

2014年12月18日上市公司发布的收购案披露,艾格拉斯游戏100%股价的估值下降至25亿元。

同一个标的,同一个评估公司,同一家收购方,前后7个月时间,标的公司估值就下降了近20%。

风云君斗胆猜测:为避免夜长梦多、在标的公司业绩爆雷前,买卖双方都迫切希望并购方案能顺利通过,于是就降低交易价格以确保能顺利获批。

截止2014年6月末,净资产只有1.54亿元,净利润仅3659.25万元。所以即便是降至25亿元,收购价仍是净资产的16.2倍,即市净率16.2倍,而收购时的市盈率则高达34.16倍。

交易完成后,艾格拉斯游戏为上市公司贡献了22.67亿元的商誉!

来看看艾格拉斯游戏的业绩承诺:艾格拉斯在2015年至2018年度,净利润分别不低于1.788亿元、2.999亿元、4.014亿元及4.089亿元。

1、神奇的截胡

风云君总结,但凡擅长讲故事的公司,在股权转让上都会有些蹊跷之事。

果然,艾格拉斯游戏也不负所望,在股权转让上也是如此:这个神奇的截胡贯穿了上市公司三大收购案。

上市公司于2014年2月24日停牌,当月28日宣布筹划重大资产重组,5月23日披露重组预案。

而就在该预案披露的前1个月,标的公司艾格拉斯游戏闪电完成了一次股权转让。

北京中源兴融、上海万得、湖南富坤文化、深圳深商兴业、上海合一贸易、新疆盛达兴裕、深圳盛世元金、新疆盛达永泰等8家机构精准截胡,赶在上市公司之前,突击成为艾格拉斯游戏的股东。

风云君简单查询了下截胡的8家机构,发现一些情况:

其一,8家机构中有7家是空壳公司或无实际经营业务,其真正的价值就是闪电入股标的公司,坐享溢价,然后通过二级市场减持套现、完成收割。

此外,有6家机构的投资人出现闪电变更或增加,而增加的投资人就是巨额利益的获得者(也可能是代持)。

其二,有4家机构的投资方集中在2014年3月到5月发生变化,而这期间刚好是上市公司停牌筹划收购艾格拉斯游戏期间。换言之,这4家机构穿透的投资方,是在知晓并购案后闪电入局的。

风云君斗胆问一句:内幕信息形成期间买卖二级市场股票定义为内幕交易,那么,在一级市场买卖股权也算内幕交易吗?

此外,2013年10月上海合一贸易的股权变动,11月深圳盛世元金成立,北京中源兴融的权益变动也发生在11月。

风云君猜测,早在2013年的11月(四季度)前后,相关方就已经知晓上市公司的并购意向。在二级市场上似乎有着某种默契(见下文前十大股东及股东户数变动)。

其三,湖南富坤文化与深圳深商兴业都与深圳一德集团有着关联关系,即深圳一德集团持有深圳市富坤创投43%的权益,而深圳市富坤创投持有湖南富坤55%权益,湖南富坤投资是湖南富坤文化的执行事务合伙人(管理方)。

其四,新疆盛达兴裕与新疆盛达永泰的执行事务合伙人(管理方),均为北京盛达瑞丰投资。

2015年1月15日,上市公司并购艾格拉斯游戏获证监会核准,同年3月18日上述8家机构由此成为上市公司股东,但因持股比例均低于5%,故其减持情况均未披露。

2018年6月6日,包括上述8家机构在内的股份解禁流通。

从上市公司披露的前十大流通股东持股情况来看,上海合一贸易(后更名为西藏合兆贸易)在2018年6月到9月清仓,按期间加权价格测算,合计套现金额超3.3亿元。

假设另外7家机构也在这期间减持,那么,合计套现金额超2.5亿元。

据此测算出,截胡的8家机构合计套(白)现(捡)金额应该在5.8亿元以上。

2、蹊跷的流通股股东

2013年四季度,宋一骅、徐吉、上官建国、郑蔚远等人同时现身前十大流通股股东列表。

其中,宋一骅、徐吉、上官建国在2014年一季度持股不变,且宋一骅与徐吉的持股数非常接近。

5月23日复牌后股价连续上涨,到二季度末股价涨幅近1倍,而这些在2013年四季度进场的投资者从前十大流通股股东列表消失。

再从股东人数上看。

上市公司停牌于2014年2月24日停牌,同年5月23日复牌,随后股价受重大资产重组利好刺激连续6个涨停。

而就在停牌前,上市公司的股东人数明显减少,显然有投资者或投资机构在收集筹码。

在2014年1月1日到2月24日之间,上市公司的股东人数减少了904名,户均持股数增加了13%。

更有意思的是,5月23日复牌到6月30日,26个交易日上涨95%,而股东人数增加了3108名,这意味着有投资者(机构)将部分筹码派发兑现为利润。

综合上文分析,有人在上市公司宣布重大资产重组前刻意收集筹码,而相关投资者进出场时机把握得非常精准。

这些动作的背后是巧合,还是有意为之呢?是否有内幕交易呢?

或许第三部分的内幕交易故事会给我们一些警醒吧!

2017年7月24日,吕氏家族代表吕仁高、吕成杰、郑亮职务分别卸任董事长、总经理、董事会秘书,艾格拉斯游戏原实控人王双义出任上市公司董事长兼总经理,刘汉玉出任董事会秘书。

20天后的8月15日,上市公司名称由“浙江巨龙管业股份有限公司”变更为“艾格拉斯股份有限公司”,简称变更为艾格拉斯。从某种程度看,王双义带领的艾格拉斯实现了曲线借壳。

时间来到3年后,由于吕氏家族频繁减持,2020年11月30日上市公司发布公告称,实控人及其一致行动人合计持有比例为7.07%,持股数较低,导致控制权可能发生变更。

同年12月23日,王双义控制的义聚投资在未增持1股的情况下,以11.55%的持股比例“荣升”为上市公司第一大股东,王老板成为名正言顺的实控人。

然而,此时股价已跌至1.88元,总市值缩水至34.6亿元。

(二)收购案,还是收割案?

2015年10月19日上市公司再次发布筹划资产收购方案,即拟以发行股份及支付现金购买资产的方式收购拇指玩(天津)科技有限公司(以下简称“拇指玩”)100%股权。

颇为蹊跷的是,在该收购方案披露的当月,上市公司股价上涨了36%。似乎又有先知先觉的资金提前进场。

更有意思的是,还处于筹划重大收购资产的停牌期间,上市公司原控股股东吕氏家族已迫不及待地发布减持计划。

2016年3月30日,吕仁高、吕成杰及一致行动人巨龙控股计划6个月内减持合计不超过3000万股,即不超过总股本的9.38%。

看看,两位吕老板出手阔绰吧!一减持就直接逼近总股本的10%!

就问每天盯着分时走势、看着蜡烛线的广大小散们服不服?怕不怕?

停牌、宣布重大资产重组,然后发布大比例减持公告,最后公布重组方案!这是明晃晃把监管机构当空气、把散户当傻子的骚操作啊!

风云君研究过两三千家公司,作为身价十几亿、几十亿的老板,多少会顾及下形象、减持多遮遮掩掩,而像吕老板家族如此无底线的操作,还真得很少碰到。

减持计划发布不到一周,上市公司的并购方案出炉。

2016年4月5日并购草案披露:以发行股份及支付现金相结合的方式,购买杭州搜影100%股权以及北京拇指玩100%股权。交易总对价16.935亿元,其中,以现金方式支付6.94亿元,剩余10亿元以发行上市公司股份的方式支付,发行上市公司股份的价格为22.20元/股,合计发行4504.50万股。

杭州搜影100%股权估值13.558亿元,北京拇指玩100%股权估值3.385亿元。

又是一笔大额并购。

1、杭州搜影

杭州搜影科技有限公司(本文简称杭州搜影)成立于2013年6月3日,从事移动互联网视频推广以及广告推广业务,旗下拥有“拇指影吧”移动互联网视频推广平台。

而该平台的盈利模式是用户付费、观看视频。而视频内容全部来自杭州搜影合作的版权方或版权代理公司。

写本文时,风云君好奇去华为应用商店搜索“杭州搜影”、“拇指影吧”,但均为找到相关应用软件。

是不是有点尴尬?

没关系,会讲故事就行。继续往下看。

杭州搜影的核心成员为王家锋、柯福军、董世启以及秦静等四人;王家锋、天津久柏承诺2016年、2017年、2018年的净利润分别不低于1.05亿元、1.285亿元、1.6亿元。

在2016年1月发生一笔关键性的股权交易后,杭州搜影的股权结构如下:

令风云君不解的是交易方式,上市公司以向王家锋及杭州搜影核心成员控制的天津久柏支付现金,而向上海哲安、北京骊悦支付股份。

这里面就有一个问题:创始人及核心高管拿到现金后,还有心思继续经营公司吗?

这要换风云君早就跑到塞班岛晒太阳去了。

原方案是王家锋、天津久柏作为杭州搜影的业绩对赌补偿方,获得全部现金对价而不持有上市公司(股份对价)一毛钱的股票,业绩一旦不兑现,追索业绩补偿本身就是个漫长且不确定性的工作。

此外,持有杭州搜影合计58.82%股权的上海哲安、北京骊悦却无需承担业绩补偿。

实际情况是,随后上市公司就遇到了业绩补偿款追索无果的情况——貌似上市公司各位董事老爷们并不着急。

事实证明,2016年4月发布的并购方案就是一份无耻的、损害中小股东利益的掏空方案。

当然,随后虽增加了上海哲安与北京骊悦为业绩第二补偿方,但并没有改变这收购方案的实质。

从另外一个角度看,风云君发自肺腑地羡慕王家锋王老板:2013年6月创业的公司,2年半后就能以约13.6亿元转手卖掉,身价就是大几亿。

杭州房价增速超过北上广是有道理的。

一家成立才4年的公司之所以能卖出13亿多的价格,主要是因为快速增长?!

杭州搜影的营收增长堪称指数级增长,2013年只有231万元,2014年飙升至9950万元,2015年前10个月就接近1.2亿元,净利润达9682万元,净资产也增加至8279万元。

据此测算,2015年10月,收购价是杭州搜影净资产的1637%,而杭州搜影的市盈率则为11.7倍。因此,杭州搜影为上市公司贡献了10.63亿元商誉。

再来看看杭州搜影的资产构成情况:其应收账款达6353万元,占总资产的52%,是其主要是资产形式。

而其固定资产却不到172万元。难怪上市公司转型都要想着往互联网、游戏行业跨呢,原来是固定资产投入底,但回报高啊。

众所周知,视频面向的个人用户,但该收购方案披露,杭州搜影的主要客户为通信运营商支付渠道合作方,为杭州搜影的观影用户充值提供渠道,而杭州斯凯及其关联方却是杭州搜影的第一大客户,在2014年为后者贡献了近6成营收。

没看明白,对吧?

没看明白那就对了,都能看明白的不都成亿万富翁啦?

截胡再现。

2016年1月25日,再一次是上市公司筹划重大资产重组停牌期间,也是收购草案公布前2个月,王家锋、天津久柏(王家锋等高管控制)分别与上海哲安、北京骊悦签署《股权转让协议》,约定王家锋、天津久柏分别将0.29%股权(出资额2.94万元)、29.12%股权(出资额291.18万元)转让给上海哲安,转让价格分别为398.53万元、3.95亿元。

天眼查专业版数据显示,截胡的北京骊悦金实投资中心(有限合伙)成立于2014年9月2日,穿透后的最终受益人分别是李燕、高伟坚、马湘东、张泽扬。

因披露的信息有限,无法查知这四人与上市公司相关方是否存在关联。

2、拇指玩

北京拇指玩科技有限公司成立于2011年4月22日,与上文的杭州搜影一样,都是从事移动游戏推广服务及广告业务。

旗下“拇指玩”为安卓系统移动互联网手机游戏下载和推广平台。感兴趣的各位老铁可自行到手机应用商店搜索该应用,反正风云君的老人机是没法找到该应用。

并购草案披露,拇指玩的主要客户包括网易及其关联方、成都卓星科技、中清龙图网络、北京触控科技等。在前五大客户的帮衬下,从2013年的583万元增长到2015年前10个月的1589万元,营收保持较快增长,同期,净利润由亏损149万元到盈利215万元。

截止2015年10月底,净资产2019万元;据此测算,当时拇指玩100%股权收购价较净资产溢价1676%,而市盈率则高达131倍。因此,拇指玩为上市公司贡献了2.69亿元商誉。

又是一笔赤果果、不加掩饰的掏空案例。

貌似中小投资者对这些掏空行为无可奈何哦。

A股的经典玩法:溢价非常高。但是各位散户不要急,咱们大股东不是还给大家准备了业绩承诺吗?

拇指玩的核心成员王磊、张健、李莹等三人承诺标的公司2016年、2017年、2018年的净利润分别不低于2520万元、3150万元、4000万元,累计9670万元。

而拇指玩100%股权的交易价格是3.385亿元,其中,上市公司向业绩承诺方王磊等三人现金支付1.3556亿元,向上海哲安、北京骊悦以股份方式支付2.029亿元。

细心的老铁可能注意到了,怎么又有上海哲安和北京骊悦?

搞错了吧!

没错!

上海哲安和北京骊悦,不仅仅截胡杭州搜影,还截胡了拇指玩。

股权转让发生时间跟杭州搜影一致。

2016年1月18日,王磊、张健、李莹、华泽方圆分别与上海哲安、北京骊悦签署《股权转让协议》,拇指玩的原股东分别向后二者合计转让58.82%的股权(每家各29.41%)。

简单盘盘上海哲安和北京骊悦的玩法:在上市公司并购前闪电受让杭州搜影、拇指玩的大部分股权(两家公司都各29.41%),进而再转让给上市公司,拿到对应的股份,最终收割二级市场赚取巨额溢价。

该并购方案于2017年6月28日获批,半个月后完成股权交割。

同年7月31日,上海哲安和北京骊悦各获得的1.01亿股(占总股本的6.16%)的对价股份正式上市。上海哲安于2017年三季度质押了其99%股份,北京骊悦则是在2018年二季度质押了其全部股份。

有道是人在做天在看。两家截胡的机构或许做梦都没想到,在其36个月的锁定期内,上市公司的股价会跌到只有1.6元,较其股权登记日的7块钱股价跌去了75%。

哈哈哈哈哈哈哈,风云君自己没有发财的命,看到大佬们人算不如天算,内心真是非常的舒坦啊!

从其质押时间段对应的股价来看,两家机构的股权质押极可能已经爆仓。

相对两家截胡机构,原控股股东吕氏家族就幸运得多。

上文提到吕氏家族在发布杭州搜影、拇指玩的收购方案前1周发布减持计划,即不超过3000万股(不超过总股本的9.38%)。

2016年4月19日上市公司复牌后股价连续大涨,吕氏家族控制的巨龙控股在6月2日、8日合计减持2500多万股,套现3.8亿元。

减持时的股价较停牌前已上涨了近40%。

(三)商誉爆雷

为什么吕老板要把上市公司向网络游戏、游戏运营推广方向转型呢?

以风云君研究3000多家上市公司的经验,这类企业在用户数、ARPU值、业绩等数据上造假太容易了,并且卖方也更愿意配合。

但是,风云君还发现了,假的终归是假的,报应总是会来的,强撑两三年后自然会暴露问题。

并购多家游戏、游戏运营推广公司后,所并购的标的自2019年暴露出问题,当年净利润亏损25.6亿元,扣非净利润亏损30亿元,其中商誉减值29.6亿元,应收款坏账损失7928万元。

2021年2月1日发布2020年业绩预告,预计全年亏损9.25亿元至11.31亿元,继2019年巨额亏损后再次大幅亏损,而亏损的主要原因就是此前收购的多家公司因业绩扑街导致商誉减值。

简单来看看。

艾格拉斯游戏在2015年至2018年承诺期内均是压线完成业绩,而过了承诺期,业绩随即扑街,2019年宣告净利润亏损25.55亿元,其中商誉减值18.55亿元。

如此精准的业绩扑街自然与艾格拉斯游戏原股东(王双义、张鹏、张欣、刘汉玉等人)没一毛钱关系,被炸到外酥里嫩的只是不明真相的中小投资者们。

艾格拉斯游戏过了业绩承诺期就巨亏的玩法已是A股并购、掏空上市公司典型玩法,各资本玩家深谙其中精髓。

风云君说句不客气的话,若不能抓几个典型送去吃官饭睡通铺,此类肆意践踏资本市场信用、把中小投资者当傻子的玩法仍将持续。

与艾格拉斯游戏原股东的好“运气”相比,杭州搜影、拇指玩的原股东们显然就没那么好运了。

杭州搜影连续三年承诺期均没完成业绩承诺,2019年更是只有1662万元,还不到承诺业绩数的1/10;拇指玩的业绩从2018年开始变脸,而2019年仅实现757万元,止于承诺业绩数的1/6。

但不管怎么,业绩承诺期到2019年均已完成,2020年以后业绩扑街,那么买单的就只有持有上市公司股票的中小投资者喽。

上市公司在2018年半年报披露,以2.40亿元向北京指尖乾坤购买成都萤火虫剩余80.75%的股权;交易完成后新增2.17亿元商誉。业绩对赌期间为2018年至2019年,也已完成。即便随后业绩变脸,原股东也无需向上市公司支付一毛钱补偿款。

关于业绩补偿。

2021年2月2日,浙江证监局出局的行政监管决定书显示,截止行政监管决定书发出当日,杭州搜影、拇指玩的业绩承诺方均未向上市公司支付2019年的业绩补偿款合计6.18亿元,其中,王家锋、天津久柏未支付5.31亿元业绩补偿款,王磊、张健、李莹等人未8700万元业绩补偿款。

2019年已经过去整整1年,但业绩补偿款却迟迟没有到账,如果不是浙江证监局发去监管书,一众中小投资者还不知道这事呢。

上述几位早就拿到现金自然人会履行承诺补偿上市公司吗?

或许只有天知道。

而作为业绩第二补偿方的上海哲安与北京骊悦,目前股权已经全数质押,显然上市公司要这两位截胡机构拿到业绩补偿似乎不太现实。

再说了,根据修改后的版本,两家机构也仅补偿王家锋、王磊等人未能补偿部分的50%。

如此看下来,是不是感觉这家公司把广大中小股东拿捏得死死的?

各位老铁调整下蹭蹭升高的血压,呼呼气,继续往下看。

(四)吕老板的算计

为了坚定转型之路,光收资产是远远不够的,还得卖资产。

上市公司原实控人吕老板是个狠角儿,在卖资产这事上操作得干净彻底。

2017年5月17日,上市公司发布资产转让公告称,将混凝土输水管道业务及相关资产和负债转让,并公开征集受让方。

转让的资产包括:江西浙赣巨龙管业100%股权、河南巨龙管业100%股权、安徽巨龙管业100%股权、福建省巨龙管业100%股权、重庆巨龙管业100%股权、金华市巨龙制砂100%股权,及江西侨立新材料制品24.9812%股权等原有混凝土输水管业务资产。

该转让公告显示,拟按标的资产净额账面价值5.19亿元为底价(合并口径)。

然而,评估报告却显示,截止2016年末账面净资产却仍有5.31亿元,当期亏损3587万元。

公开征集在经历了“长达”7个工作日(2017年5月24日至2017年5月30日)的“漫长等待”后,上市公司草草宣布无人接盘,于是只能原控股股东吕氏家族控制的巨龙控股被动地、委屈地、非常高风亮节地为了上市公司、广大散户的长远利益考虑,“无奈”接盘。

上市公司在2012-2014年总市值基本保持在17亿左右,而这市值是就是由该混凝土输水管项目撑起的。

做个简单对比。

曾撑起上市公司17亿市值的混凝土输水管项目被转让时,居然是以0溢价,与上市公司8倍、15倍的高溢价并购项目形成鲜明对比!

这就是高买贱卖掏空上市公司、侵害中小股东权益的典型案例。

1、欠钱不还

虽是明晃晃的侵害中小股东权益,但人家吕老板、王老板不照样活得那个逍遥自在,占用上市公司资金、频繁减持套现、内幕交易(下文)还不继续干着?!

文章写到这,把风云君羡慕嫉妒得牙痒痒,心里默默念:上帝保佑市值风云老板虎虎生威早日带领我们上市啊!这韭菜可不等人啊,你不割,吕老板、王老板他们可不闲着啊。

话说回来,当年支撑上市公司17亿市值的混凝土输水管业务就这样贱卖给了吕氏家族控制的巨龙控股。

但是,本应该在2018年底前支付完2.53亿元的余款,巨龙控股却迟迟未支付。

2018年12月19日,巨龙控股向出具《还款计划告知函》,针对《资产出售协议》及其补充协议约定的第三期价款,制定如下还款计划:

在2019年9月30日前支付10%;

在2019年10月31日前支付20%;

在2019年11月30日前支付30%;

在2019年12月31日前支付40%;

期间的资金成本在偿还最后一笔款项时根据实际还款日期计算后于2019年12月31日前支付。

根据吕老板及其控制的巨龙控股一贯行为,这笔款项注意要拖了一年又一年。

2020年半年报显示,上市公司仍没收到2.53亿元的余款。

风云君在想,吕老板或许在等中小投资者忘记这件事吧。

吕老板欠账不还的理由是:卖了股票再还。

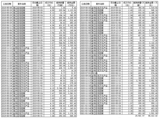
狗拿耗子多管闲事的风云君估计吕老板们贵人多忘事,于是替吕老板做了个统计:2018年5月至2021年1月,吕氏家族以来累计减持近3亿股,套现金额8.8亿多元。

拖欠上市公司的钱虽构成非经营性占用。目前在我国向老赖追讨是个费事费力且收效甚微的事情,对付老赖的措施似乎并不多,限制高消费、限制乘坐飞机等等。

吕老板及其控制的巨龙控股减持套现金额够买私人飞机好几架了,谁介意你的“限高”措施?

再说了,现任的董事老爷们似乎也并不着急催收这笔钱。

2、回购掩护减持

如果你们觉得这就是吕老板的操作下限了,那你们就大错特错了。

哈哈哈哈哈,风云君写到这里自己都憋不住笑了,吕老板就是这么喜欢给人惊喜!

2018年6月22日,上市公司发布回购预案,即拟12个月内回购3000万元、不超过1亿元的股份。

各位注意看,上文密集减持时间,正好就是从2018年5月开始。

2018年8月16日,上市公司发布首次回购数量50万股,耗资198.40万元(不含交易费用)。

在上市公司首次回购后的3周,吕氏家族又双叒发布减持预告:吕氏家族控制的巨龙控股及巨龙文化计划在三个月内通过集中竞价减持不超过1844.90万股(占总股本的1%)。

这哪是回购啊,分明是借上市公司回购掩护吕氏家族减持。

当然,也可以理解为用上市公司的钱来接盘吕氏家族抛售的部分股份,毕竟抛售的实在太多,上市公司的回购金额兜不住。

截至2019年6月28日,上市公司累计回购849.89万股,耗资3001.13万元,达到此前回购承诺下限,于是宣布回购计划完成。

而在这期间,吕氏家族及其一致行动人累计减持9034万股,套现近3.4亿元。

回购本是用于提振中小投资者对上市公司的信心,在艾格拉斯这家公众公司里,却成了掩护原实控人及其一致行动人减持的方式。

这波操作下来,再次刷新风云君对吕老板的认知。

风云君做了个统计,自2016年以来,吕氏家族及其一致行动人累计减持超3.3亿股,套现金额超14亿元。

文章写到这已经8千多字,通常要结束了,可是风云君还有很多话不吐不快。

三、内幕交易故事

经证监会查实,上市公司利益相关方的内幕交易伴随其整个并购过程。

1、董事长夫人内幕交易

2016年11月17日,巨龙管业董事会审议通过继续推进重大资产出售事项。

2016年12月30日之前,巨龙管业副董事长王某义、董事刘某玉、董事长吕仁高和董事会秘书郑某多次在电话或见面讨论过资产出售的问题。

2016年12月27日、28日,吕某高、吕某杰分别减持500万股和474万股,借资产重组之名减持。

2016年底,确定上市公司转型。

2017年2月13日,郑某通知长城证券等其他中介同期进场推进巨龙管业资产剥离事项。

2017年3月2日召开剥离管业资产的中介协调会(电话会议),并制作推进时间表。3月6日成立了“JL资产出售”微信群。

2017年4月中旬,中介机构基本完成审计、评估初稿。

2017年6月19日,巨龙管业与巨龙控股集团签署资产转让协议,后者接盘混凝土管道业务及相关资产与负债,交易对价为账面净资产5.19亿元。

2017年6月21日,上市公司予以公告。

在内幕信息形成的期间,时任董事长吕仁高吕老板的配偶楼蓉利用“林某华”证券账户于2017年1月5日至4月26日买入“巨龙管业”累计82.17万股,成交金额合计1288.81万元。

证监会查实内幕交易的另外一个铁证是买入股票的资金全部来自吕仁高。

在操作上,吕老板是减持高手,但在吕夫人在内幕交易充分展现出无所畏惧的“大家风范”,出手快准狠。

内幕信息形成之前,“林某华”证券账户无股票交易记录,而该账户在转入资金后就坚决全仓买入“巨龙管业”股票,就跟抢钱一样。

2017年1月5日至5月24日期间,该账户除新股申购外,仅交易“巨龙管业”一只股票。

2019年10月31日,证监会发布处罚公告,对吕董事长夫人楼蓉处以50万元的巨额罚款。

2、财务总监前妻内幕交易

发生另外一起内幕交易涉及的则是时任财务总监的前妻。

在2011年1月至2018年8月16日期间,上市公司公司财务总监为吕文仁。

内幕信息形成期间,吕文仁前妻郑根彩于2017年1月4日至5月19日,用“郑根彩”账户买入“巨龙管业”20.16万股,成交金额共计290.42万元。2017年11月21日,卖出13.6万股。截至2019年5月29日,持有余股22.69万股(含红股),盈利为8.86元。

颇为耐人寻味的是,而就在郑根彩买入股票前,2016年12月,吕某仁向郑根彩转账543万元,后者随即将500万元转到期名下证券账户。

该账户的操作手法与董事长夫人楼蓉一致,在2017年1月至5月,除申购新股外,仅购买“巨龙管业”一只股票。

证监会查实,在内幕信息形成期间,郑根彩买卖“巨龙管业”前后,频繁通过短信、电话、微信等方式向吕某仁打听相关情况,有时会征求吕某仁的意见。

风云君非常佩服这位吕老板的豪气,给前妻转账,一出手就是500多万。

最终,郑根彩因内幕交易被处以没一罚三,合计35.42万元的巨额处罚。

3、杭州搜影总经理配偶内幕交易

2015年10月,巨龙管业开始停牌策划收购杭州搜影科技有限公司(以下简称杭州搜影)和北京拇指玩科技有限公司(以下简称北京拇指玩)各100%股权的重大资产重组事项。

但次年11月2日,收购方案被否,但买卖双方决定继续推进重组。

2016年11月7日,上市公司相关方讨论并确定准备第二次重组上会的修改方案,并告知杭州搜影王家锋和北京拇指玩总经理李某等人。

2016年12月6日,王某锋与利益相关方磋商后对修改方案达成一致。

2016年12月6日至12月15日,中介机构完成相关收购方案。

2016年12月16日,华泰联合证券完成了重组报告书初稿,发给杭州搜影、北京拇指玩等各方相关人员。

2016年12月21日,上市公司公告相关重大资产重组的草案。

王永琴为时任杭州搜影总经理王家锋配偶。

证监会查实,在内幕信息形成期间2016年12月10日前后,王永琴要求张某平买入“巨龙管业”的并借用“郑某敏”账户,而实际交易操作则由张某平负责。

根据王永琴买入“巨龙管业”的决策要求,张某平使用“郑某敏”账户于2016年12月16日、19日买入“巨龙管业”共计23.25万股,成交金额共计498.67万元。内幕信息公开后,于2017年12月19日全部卖出。

或许王夫人做梦都没想到,内幕交易也会亏钱吧!

上市公司股价自2016年12月7日开启漫漫下跌路,“郑某敏”账户内幕交易“巨龙管业”亏损229.59万元。

此外,张某平使用其自己账户在内幕信息敏感期内(2016年12月13日至15日)买入“巨龙管业”共计4.72万股,合计成交99.83万元。内幕信息公开后,于2017年12月19日卖出3.11万股。被查时,该账户内幕交易“巨龙管业”盈利2.14万元。

2019年4月30日,证监会发布处罚公告,对王永琴处以50万元的巨额罚款。

杭州搜影原总经理夫人王永琴的用事实告诉我们,内幕交易也有风险,并非稳赚不赔。

上述三位内幕交易者均与上市公司或交易标的核心人物的配偶或前妻,她们早就财富自由了,岂会缺炒股赚的钱?

那为什么要违规参与内幕交易?

人性贪婪!

回看2015年以来上市公司、吕氏家族等利益相关方的各种路数,风云君只能感慨,破坏证券市场游戏规则的惩罚实在太低了。 

加载中...