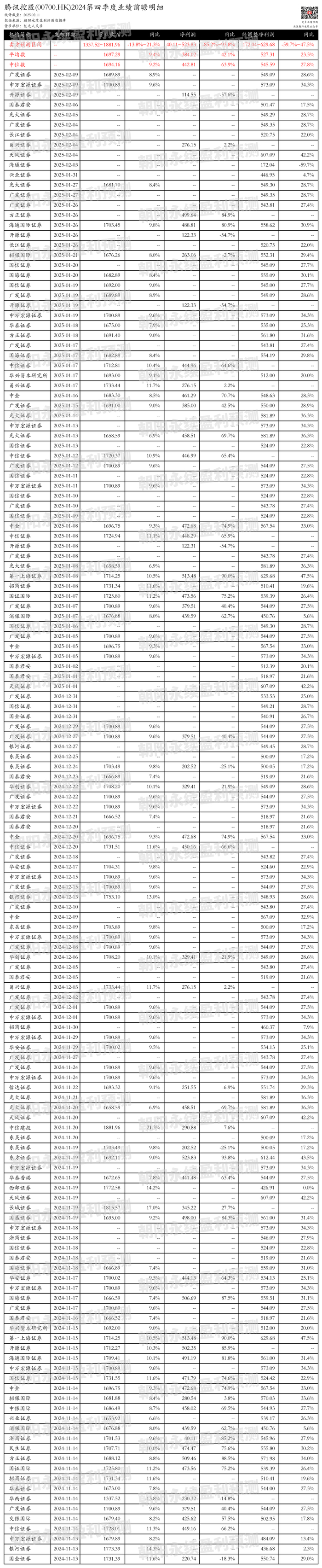
朝阳永续:机构预计腾讯2024年Q4营收1337.52~1881.96亿元
朝阳永续
1. 最近拟披露财报发布日
腾讯控股(00700.HK)将于2025年3月19日公布2024年年报。
2.腾讯控股第四季度业绩预期怎么样?
截至2025年02月11日,根据朝阳永续季度业绩前瞻数据:
预测营业收入1337.52~1881.96亿元,同比变动-13.8%~21.3%;预测净利润40.11~523.83亿元,同比变动-85.2%~93.8%;预测经调整净利润172.04~629.68亿元,同比变动-59.7%~47.5%。
关注后续财报数据披露后能否超预期,朝阳永续港股季度业绩前瞻数据将为投资者提供业绩鉴定。
3.腾讯控股最新卖方观点
海通国际证券认为:腾讯控股预计第四季度业绩稳健,游戏收入略低于预期但整体营收增长。国内游戏《地下城与勇士:手游》因版本更新反弹,而《和平精英》和《王者荣耀》收入有所下降。《Delta Force》表现良好,海外游戏《Path of Exile 2》销售强劲。广告和金融科技服务业务增长稳定,预计第四季度利润将超过市场预期。腾讯将继续以19倍2025年税后营业利润估值,维持目标价500港元和“优于大市”评级。
分业务来说:
1) 地下城与勇士:手游:12月因版本更新反弹,新职业角色推出。
2) Delta Force:表现良好,iOS游戏收入排名第四,得益于新赛季、地图和武器更新。
3) Path of Exile 2:海外游戏销售强劲,连续数周登顶Steam周销量榜,达到57.8万峰值用户。
国海证券认为:腾讯控股2024Q4预计实现营业收入1683亿元,同比增长8%。增值服务、游戏业务、在线广告业务均实现增长,其中游戏业务增长16%,社交网络增长2%。毛利率预计提升至53%,毛利润同比增长14%。NON-IFRS归母净利润同比增长30%,经营利润率和净利率分别提升至35%和33%。
(注:本文相关盈利预测数据均来自朝阳永续盈利预测数据库)