新浪财经

预锂化会成为特斯拉的杀手锏吗?

亿欧

关注

原标题:预锂化会成为特斯拉的杀手锏吗? 来源:亿欧网

【编者按】预锂化可以提升电池容量和循环寿命,在动力电池领域应用前景广泛;国内外企业积极探索,但面临技术难度大、成本高、商业化难的挑战。特斯拉拥有Maxwell的干电池和预锂化技术,但是商业化道路仍道阻且长。

本文转自电动汽车观察家,原作者王凌方;经亿欧汽车整理转载,供行业内人士参考。

马斯克不仅要造电动汽车,还想在动力电池领地自立为王。其资本之一,是收购的超级电容公司MAXWELL。而MAXWELL有两项技术引人瞩目,其一是干电极技术,其二,是一项并不被特别关注的预锂化技术。

Maxwell声称,干电极技术可以将电池能量密度提高到300Wh/kg,而未来有望达到500Wh/kg。电池能量密度要提升到500Wh/kg,大概率要采用预锂化技术来辅助实现。而在特斯拉即将举办的“电池日”上,也有分析机构认为特斯拉将公布预锂化技术。

什么是预锂化技术?如果特斯拉看好它,除了MAXWELL,其他企业有没有在做?能不能快速应用?

1 什么是预锂化技术

要理解预锂化技术,首先要知道为什么电池需要预锂化。

一般来说,锂离子动力电池在首次充电过程中,有机电解液会在石墨等负极表面还原分解,形成固体电解质相界面(SEI)膜,消耗来自正极的锂,从而导致首次循环的库仑效率(ICE)偏低,降低了锂离子动力电池的容量,从而影响了能量密度。

简单来说,就是锂离子电池首次充电时,会造成大量锂损耗,且是不可逆的。为了保障电池的容量,需要把损失的锂补回来一些。

从技术路径上来看,目前主流的补锂方案可以分为两大类:一是负极补锂,主要是惰性金属锂粉,金属锂箔或锂的化合物;二是正极补锂,主要是一些含锂氧化物。

2 为什么需要预锂?

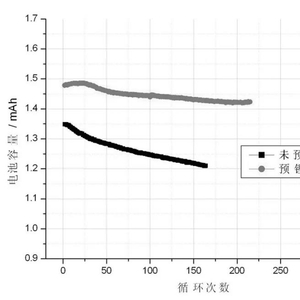
提升电池容量和循环寿命。 如果采用石墨负极,对于企业来说,他们认为补锂的意义不大,因为石墨负极的库伦效率是可以接受的。

而对于硅负极来说,首周充放电损失的锂就太多了。预锂就是为了补偿锂损耗,延长循环寿命,从而达到减缓衰减的作用。

为什么要采用硅负极,这要从提升能量密度说起。

一般来说,电芯提升能量密度,需要选用比容量高的正负极材料。

具体来看,正极方面提升能量密度的方法,是采用高镍正极材料,例如NCM811,NCA及富锂锰基材料等是目前主要方向;负极材料方面,将具有多孔性、蓬松特点的石墨,改成具有更高比容量的硅基负极,以及金属锂负极。

三种负极材料的理论比容量:

石墨基:372mAh/g

硅基:3580mAh/g(室温)

金属锂:3860mAh/g

由于金属锂负极技术难度太大,过于遥远,硅基负极是目前最具潜力的负极材料。

但是采用纯硅做负极的缺点也非常明显,就是会导致电池膨胀率较高。硅负极充放电膨胀可达360%,而普通石墨仅为10%。这会造成负极在循环过程中快速衰减。这是由于部分锂离子无法从负极中脱嵌回到正极,就成了锂损耗。简单点儿说,就是电芯膨胀收缩的次数多了,结构塌了,锂就没法进出了。

石墨负极和硅负极首周充放电的锂损耗各是多少?

研究发现,现有的石墨材料有5%~10%的首次不可逆锂损耗,而对于高容量负极材料,首次锂损耗甚至更高;硅的不可逆容量损失达15%~35%。

可见用纯硅做负极容量是提升了,但是循环寿命太短。

目前,相对较为成熟的技术方案是,采用体积效应小、循环稳定性好的碳材料作为载体,掺入高比容量的硅材料作为主要活性体,以此合成硅碳复合材料。

另一个问题出现了,由于人们不断追求高比容量电池,硅含量就必须不断提升,循环次数短的短板便愈加难以忍受。

为了减缓电池容量的衰减,预锂技术就有了用武之地。

虽然不能改变电池衰减的规律,但是可以通过补锂技术,将第一次的锂损耗补偿一些回来。

一位动力电池企业预锂技术专家邓先生表示,目前普遍采用的石墨负极材料中,含硅量在3%-7%,由于硅负极首次效率只有50%,因此硅碳负极首次效率会随着硅含量的增加而逐步降低,当硅含量达到10%的时候,就有必要采用预锂技术来提升电池容量。

由于预锂化方向十分明确,国内外的企业都在寻找成本最低,安全性最高的预锂化方案。

国轩高科工程研究总院负极材料技术负责人林先生介绍,解决硅负极循环寿命的思路其实有两个,一是在硅负极材料本身想办法,目前有些企业在尝试,但是难度太大;二就是预锂化,最直接也最有效。

目前在实验室研究阶段,电化学预锂化、直接接触短路法是简单有效的方式,有效缓减了高容量碳材料、合金负极以及转换材料的首次不可逆损失,具有预锂化量精确控制和稳定性好的优点,但对环境的要求高,如无氧、无水、干燥环境限制了其大规模应用。

采用稳定的金属锂粉进行预锂化是目前商业化最有效、最直接的方法。但是,其对环境的生产环境的要求非常之高,需要研发密闭的混浆设备,避免高速搅拌带来电极材料、导电剂等燃烧的安全隐患,在制程上的风险极大。

此外成本高也是商业化应用的难点之一。

可以看到,电池发展过程,就是打破原有平衡,再创造平衡的过程。为了提升某项特性,我们采用了一个新元素的长处,就要用其他方法为这个元素的短板打上补丁,当然同时又会带来新的问题,循环往复。

3 中国预锂化技术研究

既然是预锂行业共识,中国企业自然也在探索。

目前来看,预锂化已经成为不少负极材料生产商和电池企业的一个重要研发领域。主流的电池企业和科研院所都在这一领域储备了不少专利。

资料来源:soopat

例如,宁德时代储备了多项专利。其中一个是锂离子电池负极补充锂粉的专利:首先通过投料装置在密闭的空间里撒锂粉;喷洒后,打开挡板和直流电源,在震动和电厂的作用下锂粉均匀的喷撒在负极表面;通过控制走带速度来控制补锂的量;再次通过辊压将锂粉和负极压在一起。

国轩高科是对锂离子电池负极极片进行预锂化。负极片、隔膜、锂片依次放入电解液中,锂片与负极片不接触;其次,外接电源,对负极片充电,控制电流0.05-2C以及充电时间来达到补锂的目的。最后,烘干极片得到预锂化负极。

资料来源:国轩高科专利CN201910418237 .4

万向A123的方法是,首先需要制备硅碳负极;其次,在手套箱中,电解槽中以二步恒电流脉冲沉积方法进行电沉积金属锂,再次,浸泡在DMC中洗去表面锂,最后,烘干后得到预锂化的电极;通过控制电流的大小和时间达到沉积不同厚度的预锂化硅碳负极。 以上只是举例了几个专利技术,实际上储备专利的企业数量非常多。

4 干电极与预锂化技术结合,或许没那么简单

硅碳负极最早的应用当属特斯拉的Model 3。

早在2012年,松下成功应用硅碳负极,推出NCR18650C型号电池,容量高达4000mah,在此后多年的应用中,技术已相对成熟;2017年,特斯拉在松下所产的21700电池的人造石墨负极中,加入一定量(有的认为是5-6%,有的认为是10%)的硅合金复合材料。

那Model 3采用预锂技术了吗?

还没有。

林先生对《电动汽车观察家》解释道,特斯拉电池的控制策略是浅充浅放,因此硅负极的影响不会很大。

不过,特斯拉如果想要继续提升电池的能量密度,预锂化的辅助技术应该是必不可少的选项。

因此,有业内人士预测,特斯拉可能将MAXWELL的干电极技术与预锂化技术相结合,从而实现预锂技术产业化。

资料来源:MAXWELL专利CN201880026159.7

为何会有这样的猜测?

我们得从什么是干电极讲起。

电池领域,最常见的电极生产方式是湿法,即正或负极溶剂混合在一起形成浆料,而后再用涂布设备涂在集流体上,随后这些浆料中的水分要蒸发掉。

因此,在湿法上的负极材料中加入锂粉,存在较大的工艺难度及生产安全隐患。

毕竟金属锂非常活泼,遇水会燃烧。

而MAXWELL的干电极技术,是用粘结剂和导电剂代替溶剂。比如用聚四氟乙烯(PTFE)粘结剂和电极活性材料组合,以压延方式制成电极。简而言之,所谓干电极技术,就是将电极材料直接“粘”在导电集流体上的技术。

没有水分,制程上的安全性就提升了。

不过,事情也没那么简单。林先生认为,理论上,将锂粉末加到干电极内是个好方法,但是,应该会有两个问题,一是锂金属粉末进去后,后面所有工序都要干燥条件,成本很高;二是充放电后锂金属跑出去了,电极会有很多孔隙,后面电子导电性会很差。

可见,特斯拉即使有Maxwell的干电极和预锂化技术,想要实现产业化,最起码要解决上述两点问题,在解决上述问题的同时,很可能带来其他的问题,总之没那么简单。

5技术难度大、成本高昂,产业化动力不足

那中国的湿法电极有方法实现预锂技术的产业化么?

在业内人士看来,中国企业的专利要实现产业化,难度也不小。

前文提到的宁德时代专利,最大的问题是对设备的要求比较高,因为锂粉比较轻,比表面积也比较大,如何控制精确补锂,均匀补锂,难度较大。

万向A123的专利,从技术角度分析,理论上具备可行性,但在批量使用时如何实现预锂化的自动化,难度比较大。

此外,硅碳负极材料更需要预锂,但它的成本更高。

硅碳负极制备工艺复杂,所以材料价格高于石墨负极。根据真锂研究的数据,目前稳定量产的硅碳负极价格介于11万—12万/吨,而目前石墨负极的价格仅为其一半,6万元/吨。

也就是说,电池容量提升5%-10%的情况下,电池的成本要增加20%-30%甚至更高。硅碳负极最大的优点被它的价格弱化了。

林先生也对《电动汽车观察家》举了一个例子,以锂粉补锂技术来说,首先要解决锂粉的质量问题,目前美国的FMC公司(已将锂粉业务拆分,更名为Livent Corporation)的锂粉性能比较好,但是价格较贵,基本在2000-3000美金/公斤,折算到电芯的话,每瓦时要增加几毛钱,这在动力电池领域基本是不可能被应用的。

其实,做出硅碳复合负极材料并不难,但批量生产出电化学性能优良的复合材料则非常难,能够批量供应硅碳负极的企业并不多。一方面成本价格较高,硅碳锂电池在下游的推广应用遇阻;另一方面电池在批量生产过程中容量快速衰减等问题难以解决,目前应用硅碳产品并真正用好的电池厂家并不多。

因此,现阶段硅负极+预锂化的商业化应用尚不成熟,除了松下,动力电池企业应用并不多。预锂技术也很难称作杀手锏。

不过,有业内人士对《电动汽车观察家》表示,作为对提升电池负极容量最为直接和有效的方式,预锂技术在动力电池领域的应用情景非常广阔,未来3-5年有望看到采用预锂技术的规模化产品。

版权声明

本文来源亿欧,经亿欧授权发布,版权归原作者所有。转载或内容合作请点击转载说明,违规转载法律必究。

加载中...