新浪财经

AI分类器可能误判!科学家设计攻击实验,让Deepfake以假乱真

新浪财经

关注

原标题:AI分类器可能误判!科学家设计攻击实验,让Deepfake以假乱真 来源:智东西(公众号:zhidxcom)

编 | 董温淑

智东西4月9日消息,谷歌公司和加州大学伯克利分校的研究人员最近的一项研究显示,现有的鉴定分类器在一些情况下不能有效甄别出Deepfake作品。

用人工智能手段进行人体图像合成被称为Deepfake。简单来说,Deepfake技术可以给图片、视频中的人物“换脸”。网络上流行的换脸app、一键脱衣app均是基于Deepfake技术实现功能。

提起Deepfake,就不能不提到滥用这种技术会造成严重恶性后果。例如此前曝出的新闻:网络IP伪造名人色情影片、犯罪分子冒充英国能源公司CEO挪用公司资金、别有用心者在大选期间传播对竞选者不利的虚假材料等等。

为了避免这种情况,许多网站引入了能够区分真假内容的AI鉴定分类系统。

然而,谷歌公司和加州大学伯克利分校的研究表明,即使是最先进的分类器也很容易被攻击影响。

无独有偶,另一个由加州大学圣地亚哥分校主导的研究也表明,只要在虚假视频中添加一些信息,分类器就无法把它辨别出来。

这些研究结果为我们敲响了警钟:目前的分类器并不是100%可靠,仍需警惕Deepfake制作的虚假信息。

目前谷歌和加州大学伯克利分校的研究已经发表在学术网站arXiv上,论文标题为《用白盒、黑盒攻击绕过Deepfake图像鉴别工具(Evading Deepfake-Image Detectors with White- and Black-Box Attacks)》

论文链接:https://arxiv.org/pdf/2004.00622.pdf

实验中用到的假图像基于生成对抗网络(generative adversarial networks,GAN)来合成。GAN由一个生成网络和一个判别网络组成。

GAN模型的学习过程就是生成网络和判别网络的相互博弈的过程:生成网络从潜在空间中随机取样作为输入,目标是输出与训练集中样本一致的图像。判别网络的目标则是判定生成网络的输出是否属于训练集。

经过一段时间的学习,生成网络输出的图像将与训练集中的十分相似,不能被判别网络识别出来。

研究人员共对3个分类器做了测试,其中两个为第三方分类器,一个为研究人员训练出的用于对照的分类器。

研究人员选用了两种不同训练方式的第三方分类器。

第一个的分类器模型基于深度残差网络ResNet-50(Deep residual network)。

研究人员预先用大型视觉数据库ImageNet对ResNet-50进行了训练。训练集中包括720000个训练图像和4000个验证图像,其中一半为真实图像,另一半是用ProGAN生成的合成图像。训练集中的图像采用空间模糊和JEPG压缩方法增强。

经过训练后,这个分类器能准确识别出ProGAN生成的图像,而且还能分类其他未被发现的图像。

第二个鉴定分类器采用的是基于相似性学习(similar learning-based)的方法。经过训练后这款分类器可以准确辨认出由不同生成器合成的图像。

研究团队还自己搭建了一个鉴定分类器模型,作为前述两个鉴定分类器的对照示例。这个分类器采用一百万个ProGAN生成的图像进行训练,其中真假图像各占一半。论文中指出,这个分类器的训练管道比前述两种简单很多,因此错误率是前面两个模型的3倍。

研究人员根据分类器是否开放了访问权限,选用了不同的攻击方式。对开发访问权限的分类器采用白盒攻击;对不开放访问权限的分类器采用黑盒攻击。

另外,研究人员用接收者操作特征曲线(ROC曲线)评估分类器的正确率。评估标准是曲线下面积(AUC)的大小。AUC的取值范围为0~1,一般来说AUC>0.5即代表分类器有预测价值,AUC值越大代表分类器准确率越高。

一、白盒攻击

对于开放了访问权限的分类器,研究人员用白盒攻击评估其稳健性。

白盒攻击即攻击者能够获知分类器所使用的算法以及算法使用的参数。在产生对抗性攻击数据的过程中,攻击者能够与分类器系统产生交互。

攻击过程中用到的所有图像都来自一个包含94036张图像的视觉数据库。

开始白盒攻击之前,基于这个数据库的分类器得到了0.97的AUC数值。即使在执行典型的清洗策略隐藏图像合成痕迹后,分类器的AUC数值仍保持在0.94以上。

接下来研究人员使用了4种白盒攻击方法。这4种攻击在之前的对抗性示例中已有过研究。攻击的具体方式是对图像进行修改,使分类器误认为它们是真实的。

▲四种攻击前后,分类器的ROC曲线图。蓝色实线代表JPEG格式的合成图像,蓝色虚线代表PNG格式的合成图像

1、失真最小化攻击(Distortion-minimizing Attack)

失真最小化攻击即对合成图像添加一个较小的加法扰动δ。假设一个合成图像x先被分类器判定为假,施加扰动后,(x+δ)就会被判定为真。

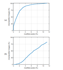
▲a:分类器把假图像识别为真;b:分类器把真图像识别为假。把像素翻转1%,就会有一半的假图像被判定为真;把像素翻转7%,就会有一半的真图像被判定为假。

2、损失最大化攻击(Loss-Maximizing Attack)

损失最大化攻击即定义一个更简单的目标函数,更大限度地提升合成图像被判定为真的概率。

3、通用对抗性补丁攻击(Universal Adversarial-Patch Attack)

失真最小化攻击方法有有一个局限性:攻击者需要花费0.1秒为每个图像定制攻击方式。

为了弥补这一局限性,研究人员创建了一个单一的可视噪声模板补丁。这个补丁可以叠加在任何假图像上,有效增加了假图像的迷惑性。

4、通用潜空间攻击(Universal Latent-Space Attack)

不同于之前三种方法通过对假图像施加扰动来影响分类结果,第四种攻击方法是对图像的潜在空间进行攻击。

▲a为通用对抗性补丁攻击效果,b~d为通用潜空间攻击效果。图中所有假图像都被分类器误判为真

经过白盒攻击,分类器的AUC数值下降到了0.1以下。

二、黑盒攻击

论文指出,现实中的社交网站、约会网站等,并不会公开其鉴定分类器的算法,因此很难进行前面所说的白箱攻击。

面对这种情况,研究人员进行了黑盒攻击。黑盒攻击假设对方知道攻击的存在,并且掌握了一般的防御策略。

研究结果显示,即使在这种限制性较强的黑盒攻击条件下,鉴定分类器也很容易受到对抗性因素影响。经过黑盒攻击,分类器的AUC数值下降到0.22以下。

结语:现有分类器有局限性,仍需深入研究

谷歌公司和加州大学伯克利分校研究团队证明,只要对虚假图片适当加以处理,就能使其“骗”过分类器。

这种现象令人担忧,论文中写道:“部署这样的分类器会比不部署还糟糕,不仅虚假图像本身显得十分真实,分类器的误判还会赋予它额外的可信度”。

因此,研究人员建议开创新的检测方法,研究出可以识别经过再压缩、调整大小、降低分辨率等扰动手段处理的假图像。

据悉,目前有许多机构正在从事这一工作,如脸书亚马逊网络服务及其他机构联合发起了“Deepfake鉴别挑战”,期待能探索出更好的解决方案。

文章来源:VentureBeat,arXiv

责任编辑:李兀 SF053

加载中...