新浪财经

核心个股季度业绩前瞻

上海证券报

关注

核心个股季度业绩前瞻 |蔚来-SW、小鹏汽车-W理想汽车-W

2025年03月03日(3只)

季度业绩前瞻 | 蔚来-SW:销量增长预期强劲,预测2024年第四季度营业收入195.62-300.72亿元,同比增长14.4%-75.8%

1.蔚来-SW第四季度业绩预期怎么样?

截至2025年02月27日,根据朝阳永续季度业绩前瞻数据:

预测蔚来2024年四季度营业收入195.62-300.72亿元,同比增长14.4%-75.8%;预测净利润-54.86-26.74亿元,同比增长1.9%-52.2%。

关注后续财报数据披露后能否超预期,朝阳永续港股季度业绩前瞻数据将为投资者提供业绩鉴定。

2.蔚来-SW最新卖方观点

国盛证券认为:蔚来-SW在第三季度实现了毛利率的进一步提升,交付了61855辆车,收入达到186.7亿人民币。毛利率提升至10.7%,汽车毛利率达到13.1%,其他业务毛亏损率改善至8.8%。尽管归母净亏损为51亿人民币,但non-GAAP归母净亏损率环比收窄至23.6%。预计第四季度销量为7.2-7.5万,收入增长15%-19.2%。产品矩阵不断完善,2025年销量指引强劲,包括蔚来品牌NT3.0平台的ET9车型和乐道品牌的产能爬坡。萤火虫品牌也将亮相,定位精品紧凑型汽车市场。公司计划继续扩张补能网络,以支持品牌汽车的竞争力。

分业务来说:

1) 蔚来品牌ET9: 2024年12月21日上市,预计2025年3月开始交付,预售价80万元。

2) 乐道品牌产能爬坡: 预计2025年3月产能可爬升至2万辆,将推出两款SUV车型,成为销量增长的强劲驱动力。

3) 萤火虫品牌亮相: 定位精品紧凑型汽车市场,首款车型预计2025年上半年交付。

4) 补能网络扩张: 计划加速布局换电站,实现“加电县县通”的目标,支持品牌汽车全国竞争力。

开源证券认为:蔚来-SW预计通过子品牌乐道L60和萤火虫在2025年驱动销量增长,同时上调2024-2026年收入预测至659/876/934亿元,同比增速18%/33%/7%。尽管主品牌销售动能需依赖改款发布提振,但公司毛利率因BOM降本和服务减亏而提升。2024Q3收入186.7亿元,毛利率提升至10.7%。2024Q4交付目标7.2-7.5万辆,乐道L60产能爬坡后预计稳定放量,2款家用SUV及萤火虫新车放量,有望推动2025年整体销量增长。

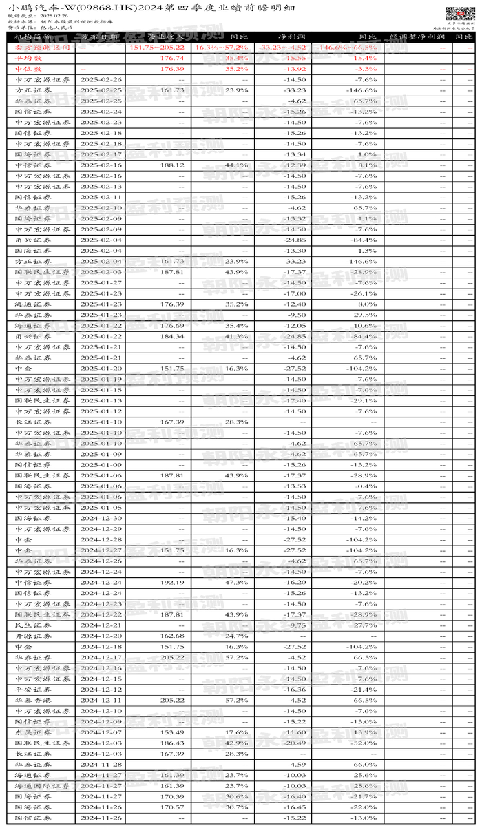
季度业绩前瞻 | 小鹏汽车-W:科技平权,销量盈利双增长,预测2024年第四季度营业收入151.75-205.22亿元,同比增长16.3%-57.2%

1.小鹏汽车-W第四季度业绩预期怎么样?

截至2025年02月26日,根据朝阳永续季度业绩前瞻数据:

预测小鹏汽车2024年四季度营业收入151.75-205.22亿元,同比增长16.3%-57.2%;预测净利润-33.23-4.52亿元,同比变动-146.6%-66.5%。

关注后续财报数据披露后能否超预期,朝阳永续港股季度业绩前瞻数据将为投资者提供业绩鉴定。

2.小鹏汽车-W最新卖方观点

开源证券认为:小鹏汽车-W在科技创新的推动下,造车及卖车的综合能力得到显著提升。预计2024-2026年营业收入将分别达到410.3亿、955.6亿和1220.6亿元,Non-GAAP净利润分别为-53.8亿、-22.3亿和3.4亿元。公司通过平台化技术降低成本,提高毛利,预计2025年销量将高速增长。同时,小鹏汽车在智能化品牌标签上不断强化,产品、营销、渠道和供应链方面均有所补强。2025年,小鹏汽车有望迎来ADAS产业的奇点,发布4款新车及多个改款,出口交付占比稳定在15%,推动交付曲线逐季向上。公司广泛布局AI芯片、大模型、机器人和飞行汽车,未来有望形成协同效应。

分业务来说:

1) M03和P7+: 预计2025Q2前后重回新增订单回升趋势,配合改款及新车发布,有望驱动2025年销量高速成长。

2) 智能化品牌标签强化: 营销聚焦智能化,渠道推动木星计划,产品强化定位,供应链提升零部件复用程度。

3) ADAS产业奇点: 2025年预计发布4款新车及多个改款,出口交付占比稳定在15%,推动2025年底前实现单季盈亏平衡目标。

4) 广泛布局AI芯片、大模型、机器人和飞行汽车: 未来有望形成协同效应。

海通国际证券认为:小鹏汽车-W在2024年三季度业绩公告中显示,公司实现营收101.0亿元,同比增长18%,环比增长25%,净亏损18.1亿元。汽车销售收入88.0亿元,同比增长12%,环比增长29%,交付新车4.7万辆,同比增长16%,环比增长54%。服务及其他收入13.1亿元,同比增长91%,环比增长1%。毛利率创历史新高,达到15.3%,汽车毛利率为8.6%。公司坚定全球化路线,24Q3海外销量环比增长70%,占总销量的15%,计划到2025年底进入超过60个国家和地区。大产品周期开启,小鹏P7+上市24小时大定约3.2万台,预计带动销量提升。公司预计24Q4新车交付量8.7-9.1万辆,收入总额预计达到153-162亿元。

季度业绩前瞻 | 理想汽车-W:电动化智能化引领增长,预测2024年第四季度营业收入414.47-700.14亿元,同比变动-0.7%-67.8%

1.理想汽车-W第四季度业绩预期怎么样?

截至2025年02月26日,根据朝阳永续季度业绩前瞻数据:

预测理想汽车2024年四季度营业收入414.47-700.14亿元,同比变动-0.7%-67.8%;预测净利润16.87-76.91亿元,同比变动-70.2%-35.9%。

关注后续财报数据披露后能否超预期,朝阳永续港股季度业绩前瞻数据将为投资者提供业绩鉴定。

2.理想汽车-W最新卖方观点

天风证券认为:理想汽车-W在电动化和智能化的浪潮中,实现了自主品牌在高端市场的渗透率显著提升,从2019年的不足5%增长至2024年的超过30%。公司通过调整组织架构,聚焦产品定义和用户调整,有望在纯电领域复制L系列产品的成功。理想汽车的补能网络布局接近2000家,快充网络布局行业领先,为纯电放量提供了有力支持。出海布局方面,公司已成立一级部门并加速推进,特别是在俄罗斯等地区已有销量积累,有望在海外市场实现销量和利润的增长。智能化方面,随着L3级别自动驾驶的潜在落地,理想汽车有望在国产替代中加速发展。

分业务来说:

1)自主品牌高端市场渗透率提升:2019-2024年自主品牌在30W以上SUV市场渗透率由不足5%提升至超过30%。

2)产品定义能力赋能:公司调整组织架构,聚焦产品定义与用户调整,有望在纯电领域复制L系列产品的成功。

3)补能网络布局:理想汽车超充站布局接近2000家,快充网络布局行业领先。

4)出海布局:公司成立出海一级部门,加速推进海外市场布局,特别是在俄罗斯等地区已有销量积累。

5)智能化发展:随着L3级别自动驾驶的潜在落地,理想汽车有望在国产替代中加速发展。

海通国际证券认为:理想汽车-W在2024年三季度业绩公告中显示,公司总营收达到429亿元,同比增长24%,环比增长35%,净利润为28亿元,同比增长0.3%,环比增长156%。预计四季度汽车交付量将在16万辆至17万辆之间,收入约为432亿元至459亿元。三季度交付量同比增长45%,环比增长41%,单车收入约27.0万元。毛利率为21.5%,净利率为6.6%。公司通过降本增效,毛利率和净利率均有所提升。智驾系统方面,理想汽车端到端+VLM智驾系统已开启全量推送,智驾总用户达到96万人,累计智驾里程达到24亿公里。

加载中...