新浪财经

麦克斯韦方程组,史上最美的方程!

格上基金官方微博

关注

原标题:麦克斯韦方程组,史上最美的方程! 来源:格上理财

2004年,英国的科学期刊《物理世界》举办了一个活动:让读者选出科学史上最伟大的公式。结果,麦克斯韦方程组力压质能方程、欧拉公式、牛顿第二定律、勾股定理、薛定谔方程等”方程界“的巨擘,高居榜首。

麦克斯韦方程组以一种近乎完美的方式统一了电和磁,并预言光就是一种电磁波,这是物理学家在统一之路上的巨大进步。很多人都知道麦克斯韦方程组,知道它极尽优美,并且描述了经典电磁学的一切。但是,真正能看懂这个方程组的人却不多,因为它不像质能方程、勾股定理这样简单直观,等式两边的含义一眼便知。毕竟,它是用积分和微分的形式写的,而大部分人要到大学才正式学习微积分。

不过大家也不用担心,麦克斯韦方程组虽然在形式上略微复杂,但是它的物理内涵确是非常简单的。而且,微积分也不是特别抽象的数学内容,大家只要跟着长尾科技的思路,看懂这个“最伟大“的方程也不会是什么难事~

1、电磁统一之路

电和磁并没有什么明显的联系,科学家一开始也是独立研究电现象和磁现象的。这并不奇怪,谁能想到闪电和磁铁之间会有什么联系呢?

1820年,奥斯特在一次讲座上偶然发现通电的导线让旁边的小磁针偏转了一下,这个微小的现象并没有引起听众的注意,但是可把奥斯特给高兴坏了。他立马针对这个现象进行了三个月的穷追猛打,最后发现了电流的磁效应,也就是说电流也能像磁铁一样影响周围的小磁针。

消息一出,物理学家们集体炸锅,立马沿着这条路进行深入研究。怎么研究呢?奥斯特只是说电流周围会产生磁场,那么这个电流在空间中产生的磁场是怎么分布的呢?比方说一小段电流在空间某个地方产生的磁感应强度的多大呢?这种思路拓展很自然吧,定性的发现某个规律之后必然要试图定量地把它描述出来,这样我不仅知道它,还可以精确的计算它,才算完全了解。

三个月,在奥斯特正式发表他的发现仅仅三个月之后,毕奥和萨伐尔在大佬拉普拉斯的帮助下就找到了电流在空间中产生磁场大小的定量规律,这就是著名的毕奥-萨伐尔定律。也就是说,有了毕奥-萨伐尔定律,我们就可以算出任意电流在空间中产生磁场的大小,但是这种方法在实际使用的时候会比较繁琐。

又过了两个月之后,安培发现了一个更实用更简单的计算电流周围磁场的方式,这就是安培环路定理。顺便,安培还总结了一个很实用的规律来帮你判断电流产生磁场的方向,这就是安培定则(也就是高中学的右手螺旋定则)。

至此,电生磁这一路的问题“似乎”基本解决了,我们知道电流会产生磁场,而且能够用安培环路定理(或者更加原始的毕奥-萨伐尔定律)计算这个磁场的大小,用安培定则判断磁场的方向。那么,我们现在知道怎么单独描述电和磁,知道了电怎么生磁,秉着对称的思想,我怎么样都要去想:既然电能够生磁,那么磁能不能生电呢?

由于种种原因,奥斯特在1820年发现了电生磁,人类直到11年后的1831年,才由天才实验物理学家法拉第发现了磁生电的规律,也就是电磁感应定律。法拉第发现磁能生电的关键就是:他发现静止的磁并不能生电,一定要变化的磁才能生电。

发现电磁感应定律之后,我们知道了磁如何生电,有了安培环路定理,我们就知道电流如何产生磁场。咋一看,有关电磁的东西我们好像都有解决方案了。其实不然,我们知道安培环路定理是从奥斯特发现了电流周围会产生磁场这一路推出来的,所以它只能处理电流周围表示磁场的情况。

但是,如果没有电流呢?如果我压根就没有导线让你可以形成电流,如果仅仅是电场发生了变化,那么这样能不能产生磁场呢?大家不要觉得我胡搅蛮缠,你想想,根据电磁感应定律,变化的磁场是可以产生电场的。所以,我会反过来猜想变化的电场能否产生磁场并不奇怪。而这,正好是安培环路定理缺失的部分。

于是,麦克斯韦就对安培环路定理进行了扩充,把变化的电场也能产生磁场这一项也添加了进去,补齐了这最后一块短板。

到这里,电和磁的统一之路就走得差不多了,麦克斯韦方程组的基本形式也呼之欲出了。这里我先让大家考虑一下:我们都知道麦克斯韦方程组描述了经典电磁学的一切,而且它是由四个方程组成的。那么,如果让你选择四个方程来描述电磁里的一切,你大致会选择四个什么样的方程呢?

此处思考一分钟……

我不知道大家是怎么考虑的,反正我觉得下面这条思路是很自然的:如果要用四个方程描述电磁的一切,那么我就用第一个方程描述电,第二个方程描述磁,第三个方程描述磁如何生电,第四个方程描述电如何生成磁。嗯,好巧,麦克斯韦方程组就是这样的~

所以,我们学习麦克斯韦方程组,就是要看看它是如何用四个方程优雅自洽地描述电、磁、磁生电、电生磁这四种现象的。接下来我们就来一个个地看。

2、库仑的发现

在奥斯特发现电流的磁效应之前,人类已经单独研究电研究了好长时间,人们发现电荷有正负两种,而且同性相斥,异性相吸。后来库伦发现了电荷之间相互作用的定量关系,它发现电荷之间的作用力跟距离的平方成反比的。也就是说,如果我把两个电荷之间的距离扩大为原来的两倍,这两个电荷之间的作用力就会减少为原来的四分之一,扩大为三倍就减少为九分之一。

这个跟引力的效果是一样的,引力也是距离扩大为原来的两倍,引力的大小减少为原来的四分之一。为什么大自然这么偏爱“平方反比”规律呢?因为我们生活在一个各向同性的三维空间里。

什么意思?我们可以想想:假设现在有一个点源开始向四面八方传播,因为它携带的能量是一定的,那么在任意时刻能量达到的地方就会形成一个球面。而球面的面积公式S=4πr²(r为半径),它是跟半径的平方r²成正比的,这也就是说:我们同一份能量在不同的时刻要均匀的分给4πr²个部分,那么每个点得到的能量就自然得跟4πr²成反比,这就是平方反比定律的更深层次的来源。

因此,如果我们生活在四维空间里,我们就会看到很多立方(三次方)反比的定律,而这也是科学家们寻找高维度的一个方法。许多理论(比如超弦理论)里都有预言高维度,科学家们就去很小的尺度里测量引力,如果引力在一个很小的尺度里不再遵循平方反比定律,那就很有可能是发现了额外的维度。

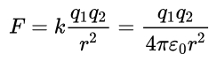
好了,从更深层次理解了静电力遵循平方反比定律后,要猜出静电力的公式就是很简单的事情了。因为很明显的,两个电荷之间的静电力肯定跟两者的电荷量有关,而且还是电荷越大静电力越大,加上距离平方反比规律,两个电荷之间的静电力大致就是下面这样的了:

这就是我们中学学的库伦定律:两个电荷之间的静电力跟两个电荷量的乘积成正比,跟它们距离的平方成反比,剩下的都是常数。q1、q2就是两个电荷的电荷量,ε0是真空的介电常数(先不管它是啥意思,知道是个跟电相关的常数就行了),我们熟悉的球面积公式S=4πr²赫然出现在分母里,这是三维空间平方反比规律的代表。

库伦定律是一个实验定律,也就说库伦做了很多实验发现两个电荷之间确实存在着一个这么大小的静电力,但是它并没有告诉你这个静电力是如何传递的。两个并没有接触的物体之间存在某种力,一个常见的想法就是这两个物体之间存在着某种我们看不见的东西在帮它们传递作用力,那么这种东西是什么呢?有人认为是以太,有人认为是某种弹性介质,但是法拉第说是力线,而且这种力线不是什么虚拟的辅助工具,而是客观的物理实在。它可以传递作用力,也可以具有能量。这些思想慢慢形成了我们现在熟知的场。

3、电场的叠加

有了场,我们就可以更加细致的描述两个电荷之间的相互作用了。为什么两个电荷之间存在这样一个静电力呢?因为电荷会在周围的空间中产生一个电场,这个电场又会对处在其中的电荷产生一个力的作用。这个电场的强度越大,电荷受到的力就越大,正电荷受力的方向就是这点电场的方向。所以,电场具有大小和方向,这是一个矢量。

为了直观形象的描述电场,我们引入了电场线。电场线的密度刚好就代表了电场强度的大小,而某点电场线的切线方向就代表了该处电场的方向。一个正电荷就像太阳发光一样向四周发射电场线,负电荷就汇集电场线。

这些内容大家在中学的时候应该都学了,我就一笔带过,接下来我们考虑一个稍微复杂一点的问题:库伦定律告诉了我们两个点电荷之间静电力的大小,那么我们就可以根据这个求出一个点电荷周围的电场强度。然而,一个点电荷是最简单的情况,如果带电源再复杂一点呢?如果我有很多个电荷,或者说我直接就是一块形状不规则的带电体,这时候我们要怎么求它产生的电场呢?

一个很简单自然的想法就是:如果有很多个电荷,我就把每个电荷在这点产生的电场强度算出来,再把它们叠加起来就行了。如果这是一个连续的带电体(比如一根带电的线),那我们就再次举起牛顿爵爷留给我们的微积分大刀,哗啦啦地把这个带电体切成无数个无穷小的部分,这样每一个无穷小的部分就可以看做一个点电荷,然后把这无数个点电荷在那点产生的电场强度叠加起来(就是积分)就行了。

我们上面的思路其实就是秉着“万物皆可切成点,万物皆可积”的精神,强行让库伦定律和微积分联姻,“硬算”出任何带电体在任意位置的场强。这在原理上是行得通的,没问题,但是在具体操作上就很复杂了,有没有更简单优雅一点的办法呢?

有,不过这需要我们换个角度看问题。物理学研究物体运动变化的规律,但是物体时时刻刻都处在变化之中,你要怎么去寻找它的规律呢?这里就涉及到科学研究的一个重要思想:把握变化世界里那些不变的东西。

牛顿发现一切物体在运动中都有某种共同不变的东西,不管物体怎样运动,受到什么样的力,这个东西只由物体的密度和体积决定,于是牛顿从中提炼出了质量的概念(当然,现在质量是比密度体积更基本的概念);科学家们发现物体在各种变化的过程中有某种守恒的东西,于是提炼出了能量的概念。那么,带电体在周围空间中产生电场的过程,能不能也提炼出某种不变的东西呢?

4、通量的引入

我们先不管电,先来看看我们更熟悉的水。毕竟水流和电流有某种相似之处,

我在一个水龙头的出口处装一个喷头,让水龙头向周围的空间喷射水流(就像正电荷喷射电场线一样),然后我用一个完全透水(水能够自由的穿过塑料袋)的塑料袋把水龙头包起来。那么,从水龙头出来的所有的水都必须穿过这个塑料袋,然后才能去其他地方,穿过这个塑料袋的表面是所有水的必经之路。

这个看似平常的现象后面却隐藏了这样一个事实:无论塑料袋有多大,是什么形状,只要你是密封的。那么,从水龙头流出的水量就一定等于通过这个塑料袋表面的水量。

从这里,我们就抽象出来了一个非常重要的概念:通量。通量,顾名思义,就是通过一个曲面的某种流量,通过塑料袋表面的水的流量就叫塑料袋的水通量。这样上面的例子我们就可以说成水龙头的出水量等于塑料袋的水通量了。

好,水的事就先说到这里,我们再回过头来看看电。还是用上面的实验,现在我们把水龙头换成一个正电荷,我们还是用一个完全透电(对电没有任何阻力)的塑料袋套住一个正电荷,那会发生什么呢?水龙头的喷头散发的是水流,正电荷“散发”的是电场线;通过该塑料袋的水流量叫塑料袋的水通量,那么电场线通过塑料袋的数量自然就叫塑料袋的电通量。对于水通量,我们知道它等于水龙头的出水量,那么塑料袋的电通量等于什么呢?

我们知道,之所以会有电场线,是因为空间中存在电荷。而且,电荷的电量越大,它产生的电场强度就越大,电场线就越密,那么穿过塑料袋的电场线的数量就越多,对应的电通量就越大。所以,我们虽然无法确定这个电通量的具体形式,但是可以肯定它一定跟这个塑料袋包含的电荷量有关,而且是正相关。

这就是在告诉我们:通过一个闭合曲面的电通量跟曲面内包含电荷总量是成正比的,电荷量越大,通过这个任意闭合曲面的电通量就越大,反之亦然。这就是麦克斯韦方程组的第一个方程——高斯电场定律的核心思想。

把这个思想从电翻译到水上面去就是:通过一个闭合曲面的水量是这个曲面内包含水龙头水压的量度,水压越大,水龙头越多,通过这个闭合曲面的水量就越大。这几乎已经接近“废话”了~所以,大家面对那些高大上的公式方程的时候不要先自己吓自己,很多所谓非常高深的思想,你把它用人话翻译一下,就会发现它非常简单自然。

我们再来审视一下高斯电场定律的核心思想:通过一个闭合曲面的电通量跟曲面包含的电荷量成正比。那么,我们要怎么样把这个思想数学化呢?电荷的总量好说,就是把所有电荷的带电量加起来,那么通过一个闭合曲面的电通量要怎么表示呢?

5、电场的通量

我们先从最简单的情况看起。

问题1:我们假设空间里有一个电场强度为E的匀强电场,然后有一个面积为a的木板跟这个电场方向垂直,那么,通过这个木板的电通量Φ要怎么表示呢?

我们想想,我们最开始是从水通过曲面的流量来引入通量的,到了电这里,我们用电场线通过一个曲面的数量表示电通量。而我们也知道,电场线的密度代表了电场强度的大小。所以,我们就能很明显的发现:电场强度越大,通过木板的电场线数量越多;木板的面积越大,通过木板的电场线数量越多。而电场线的数量越多,就意味着电通量越大。

因为电场强度E是一个矢量(有大小和方向),所以我们用E的绝对值|E|来表示E的大小,那么我们直接用电场强度的大小|E|和木板面积a的乘积来表示电通量的大小是非常合理的。也就是说,通过木板的电通量Φ=|E|×a。

木板和电场线方向相互垂直是最简单的情况,如果木板和电场的方向不垂直呢?

问题2:还是上面的木板和电场,如果木板跟电场的方向不是垂直的,它们之间有一个夹角θ,那这个电通量又要怎么求呢?

如上图,首先,我们能直观地感觉到:当木板不再和电场方向垂直的时候,这个木板被电场线穿过的有效面积减小了。原来长度为AB的面都能挡住电场线,现在,虽然还是那块木板,但是真正能够有效挡住电场线的变成了BC这个面。

然后,我们再来谈一谈曲面的方向,可能很多人都认为曲面的方向就是定义为AB的方向。其实不是的,我们是用一个垂直于这个平面的向量的方向表示这个平面的方向,这个向量就叫这个平面的法向量。如上图所示,我画了一个跟木板垂直的法向量n,那么这个法向量n和电场E的夹角才是木板这个平面和电场的夹角θ。

AB、BC和θ之间存在一个非常简单的三角关系:BC=AB×cosθ(因为夹角θ跟角ABC相等,cosθ表示直角三角形里邻边和斜边的比值)。而我们有知道垂直的时候通过木板的电通量Φ=|E|×|a|,那么,当它们之间有一个夹角θ的时候,通过木板的电通量自然就变成了:Φ=|E|×|a|×cosθ。

6、矢量的点乘

到了这里,我们就必须稍微讲一点矢量和矢量的乘法了。

通俗地讲,标量是只有大小没有方向的量。比如说温度,房间某一点的温度就只有一个大小而已,并没有方向;再比如质量,我们只说一个物体的质量是多少千克,并不会说质量的方向是指向哪边。而矢量则是既有大小,又有方向的量。比如速度,我们说一辆汽车的速度不仅要说速度的大小,还要指明它的方向,它是向东还是向南;再比如说力,你去推桌子,这个推力不仅有大小(决定能不能推动桌子),还有方向(把桌子推向哪一边)。

标量因为只有大小没有方向,所以标量的乘法可以直接像代数的乘法一样,让它们的大小相乘就行了。但是,矢量因为既有大小又有方向,所以你两个矢量相乘就不仅要考虑它的大小,还要考虑它的方向。假如你有两个矢量,一个矢量的方向向北,另一个向东,那么它们相乘之后得到的结果还有没有方向呢?如果有,这个方向要怎么确定呢?

这就是说,我们从小学开始学习的那种代数乘法的概念,在矢量这里并不适用,我们需要重新定义一套矢量的乘法规则,比如我们最常用的点乘(符号为‘·’)。你两个标量相乘就是直接让两个标量的大小相乘,我现在矢量不仅有大小还有方向,那么这个方向怎么体现呢?简单,我不让你两个矢量的大小直接相乘,而是让一个矢量的投影和另一个矢量的大小相乘,这样就既体现了大小又体现了方向。

如上图,我们有两个矢量OA和OB(线段的长短代表矢量的大小,箭头的方向代表矢量的方向),我们过A点做AC垂直于OB(也就是OA往OB方向上投影),那么线段OC的长度就代表了矢量OA在OB方向上的投影。而根据三角函数的定义,一个角度θ的余弦cosθ被定义为邻边(OC)和斜边(OA)的比值,即cosθ=OC/|OA|(绝对值表示矢量的大小,|OA|表示矢量OA的大小)。所以矢量OA在OB方向上的投影OC可以表示为:OC=|OA|×cosθ。

既然两个矢量的点乘被定义为一个矢量的投影和和另一个矢量大小的乘积,现在我们已经得到了投影OC的表达式,那么矢量OA和OB的点乘就可以表示为:

OA·OB=OC×|OB|=|OA||OB|cosθ。

为什么我们上面明明还在讲电场通过一个平面的通量,接着却要从头开始讲了一堆矢量的点乘的东西呢?因为电场强度也是一个矢量,它有大小也有方向(电场线的密度代表大小,电场线的方向代表它的方向);平面其实也是一个矢量,平面的大小不用说了,平面的方向是用垂直于这个平面的法向量来表示的。而且,我们再回顾一下当平面跟电场方向有一个夹角θ的时候,通过这个平面的电通量Φ=|E|×|a|×cosθ。这是不是跟上面两个矢量点乘右边的形式一模一样?

也就是说,如果我们从矢量的角度来看:电场E通过一个平面a的电通量Φ就可以表示为这两个矢量(电场和平面)的点乘,即Φ=E·a(因为根据点乘的定义有E·a=|E|×|a|×cosθ)。

这种表述既简洁又精确,你想想,如果你不使用矢量的表述,那么你在公式里就不可避免地会出现很多和夹角θ相关的地方。更关键的是,电场强度和平面本来就都是矢量,你使用矢量的运算天经地义,为什么要用标量来代替它们呢?

总之,我们知道一个电场通过一个平面的电通量可以简洁的表示为:Φ=E·a,这就够了。但是,高斯电场定律的核心思想是通过闭合曲面的电通量跟曲面包含的电荷量成正比,我们这里得到的只是一个电场通过一个平面的电通量,一个平面和一个闭合曲面还是有相当大的区别的。

7、闭合曲面的电通量

知道怎么求一个平面的电通量,要怎么求一个曲面的电通量呢?

这里就要稍微涉及一丢丢微积分的思想了。我们都知道我们生活在地球的表面,而地球表面其实是一个球面,那么,为什么我们平常在路上行走时却感觉不到这种球面的弯曲呢?这个答案很简单,因为地球很大,当我们从月球上遥望地球的时候,我们能清晰地看到地球表面是一个弯曲的球面。但是,当我们把范围仅仅锁定在我们目光周围的时候,我们就感觉不到地球的这种弯曲,而是觉得我们行走在一个平面上。

地球的表面是一个曲面,但是当我们只关注地面非常小的一块空间的时候,我们却觉得这是一个平面。看到没有,一个曲面因为某种原因变成了一个平面,而我们现在的问题不就是已知一个平面的电通量,要求一个曲面的电通量么?那么地球表面的这个类比能不能给我们什么启发呢?

弯曲的地球表面在小范围内是平面,这其实是在启发我们:我们可以把一个曲面分割成许多块,只要我们分割得足够细,保证每一小块都足够小,那么我们是可以把这个小块近似当作平面来处理的。而且不难想象,我把这个曲面分割得越细,它的每一个小块就越接近平面,我们把这些小平面都加起来就会越接近这个曲面本身。

下面是重点:如果我们把这个曲面分割成无穷多份,这样每个小块的面积就都是无穷小,于是我们就可以认为这些小块加起来就等于这个曲面了。这就是微积分最朴素的思想。

如上图,我们把一个球面分割成了很多块,这样每一个小块就变成了一个长为dx,宽为dy的小方块,这个小方块的面积da=dx·dy。如果这个小块的电场强度为E,那么通过这个小块的电通量就是E·da。如果我们我们把这个球面分割成了无穷多份,那么把这无穷多个小块的电通量加起来,就能得到穿过这个曲面的总电通量。

这个思想总体来说还是很简单的,只是涉及到了微积分最朴素的一些思想。如果要我们具体去计算可能就会比较复杂,但是庆幸的是,我们不需要知道具体如何计算,我们只需要知道怎么表示这个思想就行了。一个小块da的电通量是E·da,那么我们就可以用下面的符号表示通过这个曲面S的总电通量:

这个拉长的大S符号就是积分符号,它就是我们上面说的微积分思想的代表。它的右下角那个S代表曲面S,也就是说我们这里是把这个曲面S切割成无穷小块,然后对每一块都求它的通量E·da,然后把通量累积起来。至于这个大S中间的那个圆圈就代表这是一个闭合曲面。

8、方程一:高斯电场定律

总之,上面这个式子就代表了电场E通过闭合曲面S的总电通量,而我们前面说过高斯电场定律的核心思想就是:通过闭合曲面的电通量跟这个曲面包含的电荷量成正比。那么,这样我们就能非常轻松的理解麦克斯韦方程组的第一个方程——高斯电场定律了:

方程的左边,我们上面解释了这么多,这就是电场E通过闭合曲面S的电通量。方程右边带enc下标的Q表示闭合曲面内包含的电荷总量,ε0是个常数(真空介电常数),暂时不用管它。等号两边一边是闭合曲面的电通量,另一边是闭合曲面包含的电荷,我们这样就用数学公式完美地诠释了我们的思想。

麦克斯韦方程组总共有四个方程,分别描述了静电、静磁、磁生电、电生磁的过程。库伦定律从点电荷的角度描述静电,而高斯电场定律则从通量的角度来描述静电,为了描述任意闭合曲面的通量,我们不得不引入了微积分的思想。我们说电通量是电场线通过一个曲面的数量,而我们也知道磁场也有磁感线(由于历史原因无法使用磁场线这个名字),那么,我们是不是也可以类似建立磁通量的概念,然后在此基础上建立类似的高斯磁场定律呢?

9、方程二:高斯磁场定律

磁通量的概念很好建立,我们可以完全模仿电通量的概念,将磁感线通过一个曲面的数量定义磁通量。因为磁场线的密度一样表征了磁感应强度(因为历史原因,我们这里无法使用磁场强度)的大小。所以不难理解,我们可以仿照电场把磁感应强度为B的磁场通过一个平面a的磁通量Φ表示为Φ=B·a。

同样,根据我们在上面电场里使用的微积分思想,类比通过闭合曲面电通量的作法,我们可以把通过一个闭合曲面S的磁通量表示为:

然后,我们可以类比高斯电场定律的思想“通过闭合曲面的电通量跟这个曲面包含的电荷量成正比”,建立一个高斯磁场定律,它是核心思想似乎就应该是:通过闭合曲面的磁通量跟这个曲面包含的“磁荷量”成正比。

然而这里会有个问题,我们知道自然界中有独立存在的正负电荷,电场线都是从正电荷出发,汇集与负电荷。但是自然界里并不存在(至少现在还没发现)独立的磁单极子,任何一个磁体都是南北两极共存。所以,磁感线跟电场线不一样,它不会存在一个单独的源头,也不会汇集到某个地方去,它只能是一条闭合的曲线。

上图是一个很常见的磁铁周围的磁感线,磁铁外部的磁感线从N极指向S极,在磁铁的内部又从S极指向N极,这样就形成一个完整的闭环。

如果磁感线都是一个闭环,没有独立存在的磁单极,那我们可以想一想:如果你在这个闭环里画一个闭合曲面,那么结果肯定就是有多少磁感线从曲面进去,就肯定有多少跟磁感线从曲面出来。因为如果有一根磁感线只进不出,那它就不可能是闭合的了,反之亦然。

如果一个闭合曲面有多少根磁感线进,就有多少根磁感线出,这意味着什么呢?这就意味着你进去的磁通量跟出来的磁通量相等,那么最后这个闭合曲面包含的总磁通量就恒为0了。这就是麦克斯韦方程组的第二个方程——高斯磁场定律的核心思想:闭合曲面包含的磁通量恒为0。

通过闭合曲面的磁通量(B·a是磁通量,套个曲面的积分符号就表示曲面的磁通量)我们上面已经说了,恒为0无非就是在等号的右边加个0,所以高斯磁场定律的数学表达式就是这样的:

对比一下高斯电场定律和高斯磁场定律,我们会发现他们不仅是名字想象,思想也几乎是一模一样的,只不过目前还没有发现磁荷、磁单极子,所以高斯磁场定律的右边就是一个0。我们再想一想:为什么这种高斯XX定律能够成立?为什么通过任意闭合曲面的某种通量会刚好是某种量的一个量度?

原因还在它们的“平方反比”上。因为电场强度和磁感应强度都是跟距离的平方成反比,而表面积是跟距离的平方正比,所以你前者减小多少,后者就增加多少。那么,如果有一个量的表示形式是前者和后者的乘积,那么它的总量就会保持不变。而通量刚好就是XX强度和表面积的乘积,所以电通量、磁通量就都会有这样的性质。

所以,再深思一下你就会发现:只要一种力的强度是跟距离平方成反比,那么它就可以有类似的高斯XX定律,比如引力,我们一样可以找到对应的高斯定律。数学王子高斯当年发现了高斯定理,我们把它应用在物理学的各个领域,就得到了各种高斯XX定律。麦克斯韦方程组总共就四个方程,就有两个高斯定律,可见其重要性。

静电和静磁方面的事情就先说这么多,还有疑问的请咨询高斯,毕竟这是人家独家冠名的产品。接下来我们来看看电和磁之间的交互,看看磁是如何生电,电是如何生磁的。说到磁如何生电,那就肯定得提到法拉第。奥斯特发现电流的磁效应之后,大家秉着对称性的精神,认为磁也一定能够生电,但是磁到底要怎样才能生电呢?不知道,这就得做实验研究了。

10、电磁感应

既然是要做实验看磁如何生电,那首先肯定得有一个磁场。这个简单,找两块N极和S极相对的磁铁,这样它们之间就会有一个磁场。我再拿一根金属棒来,看看它有没有办法从磁场中弄出电来。因为金属棒是导电的,所以我把它用导线跟一个检测电流的仪器连起来,如果仪器检测到了电流,那就说明磁生电成功了。

法拉第做了很多这样的实验,他发现:你金属棒放在那里不动,是不会产生电流的(这是自然,否则你就是凭空产生了电,能量就不守恒了。你要这样能发电,那我买块磁铁回家,就永远不用再交电费了)。

然后,他发现金属棒在那里动的时候,有时候能产生电流,有时候不能产生,你要是顺着磁感线的方向运动(在上图就是左右运动)就没有电流,但是你要是做切割磁感线的运动(在上图就是上下运动)它就能产生电流。打个通俗的比喻:如果把磁感线想象成一根根面条,你只有把面条(磁感线)切断了才会产生电流。

再然后,他发现金属棒在磁场里不动虽然不会产生电流,但是如果这时候我改变一下磁场的强度,让磁场变强或者变弱一些,即便金属棒不动也会产生电流。

法拉第仔细总结了这些情况,他发现不管是金属棒运动切割磁感线产生电流,还是磁场强度变化产生电流,都可以用一个通用的方式来表达:只要闭合回路的磁通量发生了改变,就会产生电流。我们想想,磁通量是磁场强度B和面积a的乘积(B·a),我切割磁感线其实是相当于改变了磁感线通过回路的面积a,改变磁场强度就是改变了B。不管我是改变了a还是B,它们的乘积B·a(磁通量)肯定都是要改变的。

也就是说:只要通过曲面(我们可以把闭合回路当作一个曲面)的磁通量发生了改变,回路中就会产生电流,而且磁通量变化得越快,这个电流就越大。

到了这里,我们要表示通过一个曲面的磁通量应该已经轻车熟路了。磁通量是B·a,那么通过一个曲面S的磁通量给它套一个积分符号就行了。于是,通过曲面S磁通量可以写成下面这样:

细心的同学就会发现这个表达式跟我们高斯磁场定律里磁通量部分稍微有点不一样,高斯磁场定律里的积分符号(拉长的S)中间有一个圆圈,我们这里却没有。高斯磁场定律说“闭合曲面的磁通量恒为0”,那里的曲面是闭合曲面,所以有圆圈。而我们这里的曲面并不是闭合曲面(我们是把电路回路当成一个曲面,考虑通过这个回路的磁通量),也不能是闭合曲面。因为法拉第就是发现了“通过一个曲面的磁通量有变化就会产生电流”,如果这是闭合曲面,那根据高斯磁场定律它的磁通量恒为0,恒为0那就是没有变化,没变化按照法拉第的说法就没有电流,那还生什么电?

所以,我们要搞清楚,我们这里不再是讨论闭合曲面的磁通量,而是一个非闭合曲面的磁通量,这个磁通量发生了改变就会产生电流,而且变化得越快产生的电流就越大。上面的式子给出的只是通过一个曲面S的磁通量,但是我们看到了最终决定电流大小的并不是通过曲面的磁通量的大小,而是磁通量变化的快慢。那么这个变化的快慢我们要怎么表示呢?

我们先来看看我们是怎么衡量快慢的。比如身高,一个人在十二三岁的时候一年可以长10厘米,我们说他这时候长得快;到了十七八岁的时候可能一年就长1厘米,我们就说他长得慢。也就是说,我们衡量一个量(假设身高用y表示)变化快慢的方法是:给定一个变化的时间dt(比如一年,或者更小),看看这个量的变化dy是多少,如果这个量的变化很大我们就说它变化得很快,反之则变化得慢。

因此,我们可以用这个量的变化dy和给定的时间dt的比值dy/dt来衡量量这个量y变化的快慢。所以,我们现在要衡量磁通量变化的快慢,那就只需要把磁通量的表达式替换掉上面的y就行了,那么通过曲面S的磁通量变化的快慢就可以这样表示:

这样,我们就把磁生电这个过程中磁的这部分说完了,那么电呢?一个闭合回路(曲面)的磁通量有变化就会产生电,那这种电要怎么描述?

11、电场的环流

可能有人觉得磁通量的变化不是在回路里产生了电流么,那么我直接用电流来描述这种电不就行了么?不行,我们的实验里之所以有电流,是因为我们用导线把金属棒连成了一个闭合回路,如果我们没有用导线去连金属棒呢?那肯定就没有电流了。

所以,电流并不是最本质的东西,那个最本质的东西是电场。一个曲面的磁通量发生了变化,它就会在这个曲面的边界感生出一个电场,然后这个电场会驱动导体中的自由电子定向移动,从而形成电流。因此,就算没有导线没有电流,这个电场依然存在。所以,我们要想办法描述的是这个被感生出来的电场。

首先,一个曲面的磁通量发生了改变,就会在在曲面的边界感应出一个电场,这个电场是环绕着磁感线的,就像是磁感线的腰部套了一个呼啦圈。而且,你这个磁通量是增大还是减小,决定了这个电场是顺时针环绕还是逆时针环绕,如下图:

如果我们从上往下看的话,这个成闭环的感生电场就是如下图所示:它在这个闭环每点的方向都不一样,这样就刚好可以沿着回路驱动带电粒子,好像是电场在推着带电粒子在这里环里流动一样。

这里,我们就要引入一个新的概念:电场环流,电场的环流就是电场沿着闭合路径的线积分。这里有两个关键词:闭合路径和线积分。闭合路径好说,你只有路径是闭合的,才是一个环嘛,感生电场也是一个环状的电场。

电场的线积分是什么意思呢?因为我们发现这个感生电场是一个环状电场,它在每一个点的方向都不一样。但是,我们依然可以发动微积分的思想:这个电场在大范围内(比如上面的整个圆环)方向是不一样的,但是,如果在圆环里取一个非常小的段dl,电场E就可以看做是一个恒定的了,这时候E·dl就是有意义的了。然后把这个环上所有部分的E·dl都累加起来,也就是沿着这个圆环逐段把E·dl累加起来,这就是对电场求线积分。而这个线积分就是电场环流,用符号表示就是这样:

积分符号下面的C表示这是针对曲线进行积分,不同于我们前面的面积分(下标为S),积分符号中间的那个圆圈就表示这个是闭合曲线(电场形成的圆环)。如果大家已经熟悉了前面曲面通量的概念,我想这里要理解电场在曲线上的积分(即电场环流)并不难。

这个电场环流有什么物理意义呢?它就是我们常说电动势,也就是电场对沿着这条路径移动的单位电荷所做的功。我这里并不想就这个问题再做深入的讨论,大家只要直观的感觉一下就行了。你想想这个电场沿着这个回路推动电荷做功(电场沿着回路推着电荷走,就像一个人拿着鞭子抽磨磨的驴),这就是电场环流要传递的概念。而用这个概念来描述变化的磁产生的电是更加合适的,它既包含了感生电场的大小信息,也包含了方向信息。

12、方程三:法拉第定律

所以,麦克斯韦方程组的第三个方程——法拉第定律的最后表述就是这样的:曲面的磁通量变化率等于感生电场的环流。用公式表述就是这样:

方程右边的磁通量的变化率和和左边的感生电场环流我们上面都说了,还有一个需要说明的地方就是公式右边的这个负号。为什么磁通量的变化率前面会有个负号呢?

我们想想,法拉第定律说磁通量的变化会感生出一个电场出来,但是我们别忘了奥斯特的发现:电流是有磁效应的。也就是说,磁通量的变化会产生一个电场,这个电场它自己也会产生磁场,那么也就有磁通量。那么,你觉得这个感生电场产生的磁通量跟原来磁场的磁通量的变化会有什么关系?

假如原来的磁通量是增加的,那么这个增加的磁通量感生出来的电场产生的磁通量是跟原来方向相同还是相反?仔细想想你就会发现,答案必然是相反。如果原来的磁通量是增加的,你感生出来的电场产生的磁通量还跟它方向相同,这样不就让原来的磁通量增加得更快了么?增加得更快,按照这个逻辑就会感生出更强大的电场,产生更大的与原来方向相同的磁通量,然后又导致原来的磁通量增加得更快……

然后你会发现这个过程可以无限循环下去,永远没有尽头,这样慢慢感生出无限大的电场和磁通量,这肯定是不可能的。所以,为了维持一个系统的稳定,你原来的磁通量是增加的,我感生电场产生的磁通量就必然要让原来的磁通量减小,反之亦然。这就是楞次定律的内容,中学的时候老师会编一些口诀让你记住它的内容,但是我想让你知道这是一个稳定系统自然而然的要求。楞次定律背后还有一些更深层次的原因,这里我们暂时只需要知道这是法拉第定律那个负号的体现就行了。

到这里,我们就把麦克斯韦方程组的第三个方程——法拉第定律的内容讲完了,它刻画了变化的磁通量如何产生电场的过程。但是,我们上面也说了,我们这里的磁通量变化包含了两种情况:导体运动导致的磁通量变化和磁场变化导致的磁通量变化。这两种情况其实是不一样的,但是它们居然又可以用一个统一的公式来表达,这其实是非常不自然的,当时的人们也只是觉得这是一种巧合罢了,但是爱因斯坦却不认为这是一种巧合,而是大自然在向我们暗示什么,他最终从这里发现了狭义相对论,有兴趣的同学可以这里思考一下。

也因为这两种情况不一样,所以,法拉第定律还有另外一个版本:它把这两种情况做了一个区分,认为只有磁场变化导致的磁通量变化才是法拉第定律,前面导体运动导致的磁通量变化只是通量法则。所以我们有时候就会看到法拉第定律的另一个版本:

对比一下这两个法拉第定律,我们发现后面这个只是把那个变化率从原来的针对整个磁通量移到了只针对磁场强度B(因为B不是只跟时间t有关,还可以跟其它的量有关,所以我们这里必须使用对时间的偏导的符号?B/?t),也就是说它只考虑变化磁场导致的磁通量变化。这种形式跟我们后面要说的法拉第定律的微分形式对应得更好,这个后面大家会体会到。

磁生电的过程我们先讲这么多,最后我们来看看电生磁的情况。可能有些人会觉得我这个出场次序有点奇怪:明明是奥斯特先发现了电流的磁效应,大概十年后法拉第才发现了磁如何生电,为什么你却要先讲磁生电的法拉第定律,最后讲电生磁呢?

13、安培环路定理

确实,是奥斯特首先爆炸性地发现了电流的磁效应,发现了原来电和磁之间并不是毫无关系的。

如上图,假设电流从下往上,那么它在周围就会产生这样一个环形的磁场。磁场的方向可以用所谓的右手定则直观的判断:手握着导线,拇指指向电流的方向,那么你右手四指弯曲的方向就是磁场B的方向。

然后毕奥、萨伐尔和安培等人立马着手定量的研究电流的磁效应,看看一定大小的电流在周围产生的磁场的大小是怎样的。于是,我们就有了描述电流磁效应的毕奥-萨伐尔定律和安培环路定理。其中,毕奥-萨伐尔定律就类似于库伦定律,安培环路定理就类似于高斯电场定律,因为在麦克斯韦方程组里,我们使用的是后一套语言,所以我们这里就只来看看安培环路定理:

安培环路定理的左边跟法拉第定律的左边很相似,这是很显然的。因为法拉第定律说磁通量的变化会在它周围产生一个旋转闭合的电场,而电流的磁效应也是在电流的周围产生一个旋转闭合的磁场。在上面我们已经说了我们是用电场环流(也就是电场在闭合路径的线积分)来描述这个旋转闭合的电场,那我们这里一样使用磁场环流(磁场在闭合路径的线积分)来描述这种旋转闭合的磁场。

安培环路定理的右边就比较简单了,μ0是个常数(真空磁导率),不用管它。I通常是用来表示电流的,enc这个右标我们在高斯电场定律那里已经说过了,它是包含的意思。所以,右边这个带enc的电流I就表示被包含在闭合路径里的总电流,哪个闭合路径呢?那自然就是你左边积分符号中间那个圈圈表示的闭合路径了。

也就是说,安培环路定理其实是在告诉我们:通电导线周围会产生旋转磁场,你可以在这个电流周围随便画一个圈,那么这个磁场的环流(沿着这个圈的线积分)就等于这个圈里包含的电流总量乘以真空磁导率。

那么,这样就完了么?静电、静磁分别由两个高斯定律描述,磁生电由法拉第定律描述,电生磁就由安培环路定理描述?

不对,我们看看安培环路定理,虽然它确实描述了电生磁,但是它这里的电仅仅是电流(定理右边只有电流一项)。难道一定要有电流才会产生磁?电磁感应被发现的原因就是看到奥斯特发现了电流的磁效应,发现电能生磁,所以人们秉着对称性的原则,觉得既然电能够生磁,那么磁也一定能够生电。那么,继续秉着这种对称性,既然法拉第定律说“变化的磁通量能够产生电”,那么,我们实在有理由怀疑:变化的电通量是不是也能产生磁呢?

14、方程四:安培-麦克斯韦定律

那么,为什么描述电生磁的安培环路定理里却只有电流产生磁,而没有变化的电通量产生磁这一项呢?难道当时的科学家们没意识到这种对称性么?当然不是,当时的科学家们也想从实验里去找到电通量变化产生磁场的证据,但是他们并没有找到。没有找到依然意味着有两种可能:不存在或者目前的实验精度还发现不了它。

如果你是当时的科学家,面对这种情况你会作何选择?如果你因为实验没有发现它就认为它不存在,这样未免太过保守。但是,如果你仅仅因为电磁之间的这样一种对称性(而且还不是非常对称,因为大自然里到处充满了独立的电荷,却没有单独的磁单极子)就断定“电通量的变化也一定会产生磁”这样未免太过草率。这种时候就是真正考验一个科学家能力和水平的时候了。

麦克斯韦选择了后者,也就是说麦克斯韦认为“变化的电通量也能产生磁”,但是他并不是随意做了一个二选一的选择,而是在他的概念模型里发现必须加入这样一项。而且,只有加上了这样一项,修正之后的安培环路定理才能跟高斯电场定律、高斯磁场定律、法拉第定律融洽相处,否则他们之间会产生矛盾(这个矛盾我们在后面的微分篇里再说)。麦克斯韦原来的模型太过复杂,我这里就不说了,这里我用一个很简单的例子告诉大家为什么必须要加入“变化的电通量也能产生磁”这一项。

在安培环路定理里,我们可以随意选一个曲面,然后所有穿过这个曲面的电流会在这个曲面的边界上形成一个环绕磁场,问题的关键就在这个曲面的选取上。按理说,只要你的这个曲面边界是一样的,那么曲面的其他部分就随便你选,因为安培环路定理坐标的磁场环流只是沿着曲面的边界的线积分而已,所以它只跟曲面边界有关。下面这个例子就会告诉你即便曲面边界一样,使用安培环路定理还是会做出相互矛盾的结果。

上图是一个包含电容器的简单电路。电容器顾名思义就是装电的容器,它可以容纳一定量的电荷。一开始电容器是空的,当我们把开关闭合的时候,电荷在电池的驱动下开始移动,移动到了电容器这里就走不动了(此路不通),然后电荷们就聚集在电容器里。因为电容器可以容纳一定量的电荷,所以,当电容器还没有被占满的时候,电荷是可以在电路里移动的,电荷的移动就表现为电流。

所以,我们会发现当我们在给电容器充电的时候,电路上是有电流的,但是电容器之间却没有电流。所以,如果我们选择上图的曲面,那么明显是有电流穿过这个曲面,但是,如果我们选择下面这个曲面呢(此处图片来自《麦克斯韦方程直观》,需要的可以后台回复“麦克斯韦方程组”)?

这个曲面的边界跟上图一样,但是它的底却托得很长,盖住了半块电容器。这是什么意思呢?因为我们知道电容器在充电的时候,电容器里面是没有电流的,所以,当我们把曲面选择成下面这个样子的时候,根本就没有电流穿过这个曲面。

也就是说,如果我选上面的曲面,有电流穿过曲面,按照安培环路定理,它是肯定会产生一个环绕磁场的。但是,如果我选择下面的曲面,就没有电流通过这个曲面,按照安培环路定理就不会产生环绕磁场。而安培环路定理只限定曲面的边界,并不管你曲面的其它地方,于是我们就看到这两个相同边界的曲面会得到完全不同的结论,这就只能说明:安培环路定理错了,或者至少它并不完善。

我们再来想一想,电容器在充电的时候电路中是有电流的,所以它周围应该是会产生磁场的。但是,当我们选择下面那个大口袋形的曲面的时候,并没有电流穿过这个曲面。那么,到底这个磁场是怎么来的呢?

我们再来仔细分析一下电容器充电的过程:电池驱使着电荷不断地向电容器聚集,电容器中间虽然没有电流,但是它两边聚集的电荷却越来越多。电荷越来越多的话,在电容器两个夹板之间的电场强度是不是也会越来越大?电场强度越来越大的话,有没有嗅到什么熟悉的味道?

没错,电场强度越来越大,那么通过这个曲面的电通量也就越来越大。因此,我们可以看到虽然没有电流通过这个曲面,但是通过这个曲面的电通量却发生了改变。这样,我们就可以非常合理地把“变化的电通量”这一项也添加到产生磁场的原因里。因为这项工作是麦克斯韦完成的,所以添加了这一项之后的新公式就是麦克斯韦方程组的第四个方程——安培-麦克斯韦定律:

把它和安培环路定理对比一下,你就会发现它只是在在右边加了变化的电通量这一项,其它的都原封未动。E·a是电通量,套个面积分符号就表示通过曲面S的电通量,再加个d/dt就表示通过曲面S电通量变化的快慢。因为在讲法拉第定律的时候我们详细讲了通过曲面磁通量变化的快慢,这里只是把磁场换成了电场,其他都没变。

ε0是真空中的介电常数,把这个常数和电通量变化的快慢乘起来就会得到一个跟电流的单位相同的量,它就被称为位移电流,如下图:

所以,我们经常能够听到别人说麦克斯韦提出了位移电流假说。其实,它的核心就是添加了“变化的电通量也能产生磁场”这一项,因为当时并没有实验能证明这一点,所以只能暂时称之为假说。在安培环路定理里添加了这一项之后,新生的安培-麦克斯韦定律就能跟其他的几条定律和谐相处了。而麦克斯韦之所以能够从他的方程组里预言电磁波的存在,这最后添加这项“变化的电通量产生磁场”至关重要。

因为你想想,预言电磁波的关键就是“变化的电场产生磁场,变化的磁场产生电场”,这样变化的磁场和电场就能相互感生传向远方,从而形成电磁波。而变化的电场能产生磁场,这不就是麦克斯韦添加的这一项的核心内容么?电场变了,磁通量变了,于是就产生了磁场。至于麦克斯韦方程组如何推导出电磁波,我后面再专门写文章解释,这里知道电磁波的产生跟位移电流的假说密切相关就行了。

15、麦克斯韦方程组

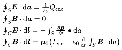
至此,麦克斯韦方程组的四个方程:描述静电的高斯电场定律、描述静磁的高斯磁场定律、描述磁生电的法拉第定律和描述电生磁的安培-麦克斯韦定律的积分形式就都说完了。把它们都写下来就是这样:

高斯电场定律说穿过闭合曲面的电通量正比于这个曲面包含的电荷量。

高斯磁场定律说穿过闭合曲面的磁通量恒等于0。

法拉第定律说穿过曲面的磁通量的变化率等于感生电场的环流。

安培-麦克斯韦定律说穿过曲面的电通量的变化率和曲面包含的电流等于感生磁场的环流。

我们看到,在这里从始至终都占据着核心地位的概念就是通量。

如果一个曲面是闭合的,那么通过它的通量就是曲面里面某种东西的量度。因为自然界存在独立的电荷,所以高斯电场定律的右边就是电荷量的大小,因为我们还没有发现磁单极子,所以高斯磁场定律右边就是0。

如果一个曲面不是闭合的,那么它就无法包住什么,就不能成为某种荷的量度。但是,一个曲面如果不是闭合的,它就有边界,于是我们就可以看到这个非闭合曲面的通量变化会在它的边界感生出某种旋涡状的场,这种场可以用环流来描述。因而,我们就看到了:如果这个非闭合曲面的磁通量改变了,就会在这个曲面的边界感生出电场,这就是法拉第定律;如果这个非闭合曲面的电通量改变了,就会在这个曲面的边界感生出磁场,这就是安培-麦克斯韦定律的内容。

所以,当我们用闭合曲面和非闭合曲面的通量把这四个方程串起来的时候,你会发现麦克斯韦方程组还是很有头绪的,并不是那么杂乱无章。闭上眼睛,想象空间中到处飞来飞去的电场线、磁场线,它们有的从一个闭合曲面里飞出来,有的穿过一个闭合曲面,有的穿过一个普通的曲面然后在曲面的边界又产生了新的电场线或者磁场线。它们就像漫天飞舞的音符,而麦克斯韦方程组就是它们的指挥官。

16、结语

有很多朋友以为麦克斯韦方程组就是麦克斯韦写的一组方程,其实不然。如我们所见,麦克斯韦方程组虽然有四个方程,但是其中有三个半(高斯电场定律、高斯磁场定律、法拉第定律、安培环路定理)是在麦克斯韦之前就已经有了的,真正是麦克斯韦加进去的只有安培-麦克斯韦定律里”电通量的变化产磁场”那一项。知道了这些,有些人可能就会觉得麦克斯韦好像没那么伟大了。

其实不然,在麦克斯韦之前,电磁学领域已经有非常多的实验定律,但是这些定律哪些是根本,哪些是表象?如何从这一堆定律中选出最核心的几个,然后建立一个完善自洽的模型解释一切电磁学现象?这原本就是极为困难的事情。更不用说麦克斯韦在没有任何实验证据的情况下,凭借自己天才的数学能力和物理直觉直接修改了安培环路定理,修正了几个定律之间的矛盾,然后还从中发现了电磁波。所以,丝毫没有必要因为麦克斯韦没有发现方程组的全部方程而觉得他不够伟大。

最美的方程,愿你能懂她的美~

加载中...