刷手机、看电脑,老得更快!国人数据显示:每多看1小时屏幕,视网膜年龄多衰老32天
转自:生物谷
在这个数字化的时代,我们的眼睛每天都在进行一场“屏幕前的马拉松”。
早晨睁开眼的第一件事儿,看手机;白天从坐在办公室的那一刻起就要盯着电脑屏幕,时时刻刻需要check手机上的日程和信息;结束了一天劳累的生活,回家之后看会儿电视、玩会儿手机,开启报复性熬夜......
近几十年来,科技飞速发展的同时,藏在背后的问题与挑战也随之暴露出来。比如:过度接触设备屏幕,包括智能手机、电脑和电视等配有LED的设备,已成为全球普遍关注的健康问题。
越来越多的证据表明,长时间接触屏幕与近视、干眼症、数码眼疲劳等眼部疾病有关。与此同时,延长屏幕时间还会带来其他负面的健康问题,比如:增加肥胖、心理健康、昼夜节律紊乱、心血管疾病和中风等疾病的发生风险。
不仅如此,这场“视觉马拉松”与健康并不沾边,甚至会让人“折寿”!
来自上海交通大学医学院的研究团队收集了中国人群的数据后发现,每多看1小时的手机/电视/电脑屏幕,视网膜年龄会加速0.087年,相当于衰老加速了32天。
而这其中发挥中介效应的是——睡眠时间。研究者发现,过度接触屏幕会扰乱昼夜节律,如缩短睡眠时间和推迟入睡时间,加速衰老的发生。因此,为减轻屏幕对视网膜以及衰老的不利影响,最简单的方法就是:放下手机,早早睡觉。
doi: 10.1007/s11357-024-01321-x
这项横断面研究开展于中国上海。经过纳入排除标准之后,最终收集到566名健康成年人,入组年龄在45-62岁。通过基础检查和问卷调查形式,收集到具体的屏幕曝光时间,包括手机、电脑、电视、投影仪等在内的日常常见“屏幕”。
在整个调查中,非常重要的环节是生物学年龄的测量。而本研究很巧妙地选用了「视网膜年龄」来计算年龄差异。
事实上,视盘和血管等视网膜结构的形态变化,不仅代表眼部疾病的发生和发展,还是一般健康状况的指标。举例来说,视网膜血管的直径变化被认为与高血压、动脉硬化、慢性肾病和中风等全身疾病有关。
因此,研究者选用了视网膜年龄作为衰老生物标记,并基于彩色眼底图像的深度学习(DL)模型,计算出了视网膜年龄差距,即DL模型预测的视网膜年龄与实际年龄之间的差异。当计算得到的视网膜年龄差距这一指标为正数时,意味着生物年龄衰老超过了正常时间;而视网膜年龄差距为负数,则是相反的情况。
试验流程图
基础统计数据显示,参与者平均每日总屏幕曝光时间为4.55±2.16小时,其中“开灯环境”下使用屏幕的时间为4.46±2.11小时,另有0.09±0.3小时处在黑暗环境中。
这么算算,感觉参与者玩手机/看电视的时间也不算很长,小编每日屏幕曝光时间起码到10+小时,睡前关了灯后还会“报复性”地刷个1-2小时。
分析屏幕暴露时间与视网膜年龄差距后发现,当以“屏幕暴露时间”进行分类,随着屏幕暴露时间的不断延长,视网膜年龄差距显著增加,从最低三等分组的0.49±3.51岁增加到最高三等分组的5.13±4.96岁。
夸张点说,长时间暴露在屏幕面前,让你领跑真实年龄5岁多,堪称走在时间前面的人👍。
而当以“视网膜年龄差距”进行分类,也得到了类似的结果。具体来说,与视网膜年龄差距较小的组相比,视网膜年龄差异较大组中的参与者接触屏幕的时间明显更长,后者约比前者长1.5小时/天。
以视网膜年龄进行分类后的基本信息
基于视网膜年龄差距与总屏幕暴露时间之间关系的线型回归分析则更能说明问题。
调整了多种混杂因素后发现,屏幕暴露时间与视网膜年龄差距之间呈线性相关,总屏幕暴露时间每增加1小时,视网膜年龄差距就会加快0.087年,换算下来约等于32天。
视网膜年龄差距与总屏幕暴露时间之间关系
这个有趣的现象引起了研究者的好奇,为什么玩玩手机、看看电脑就会老得更快呢?
一直以来,屏幕暴露对睡眠、昼夜节律的影响深受关注。事实上,屏幕设备的发光光谱主要集中在450纳米左右的短波长蓝光波段,而这一波段的蓝光通常会抑制褪黑素水平、改善昼夜节律、提高警觉性和降低睡眠质量。
先前有研究显示,长时间接触屏幕会导致睡眠时长的缩短、入睡时间的推迟、睡眠质量的下降以及其他昼夜节律紊乱的表现。而睡眠又与衰老密切相关。于是,研究者记录了睡眠相关的指数,分析是否睡眠特征在这一关系中发挥出中介作用。
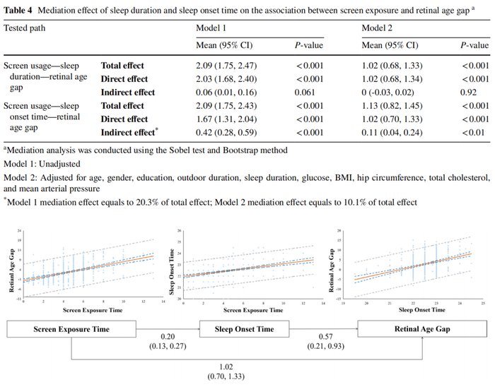
果不其然,玩手机/看电视等屏幕暴露影响了睡眠特征,从而加速衰老的发生;不过,在屏幕暴露时间与视网膜年龄差距之间的中介因素是入睡时间,而不是睡眠时长。
具体来说,长时间使用屏幕会延迟入睡时间,进而增加视网膜年龄差距,间接效应比例为10.1%。但睡眠持续时间并未出现任何的间接效应。
此外,入睡时间同样介导了开灯和关灯环境下屏幕使用对视网膜年龄差距的影响,间接效应比例分别为20.5%和100%。也就是说,在黑暗的环境里玩手机/看电视导致的衰老,完完全全地由入睡时间介导;但在开灯的环境里,入睡时间可以解释20.5%的衰老发生。
基于睡眠特征的中介分析
研究者解释道,正如先前提及的那样,无论是手机、电脑还是电视,这些LED屏幕都富含蓝光,会诱导ROS的产生,加速细胞损伤和光化学反应,导致脂质过氧化、感光细胞丧失、视网膜色素上皮细胞功能障碍或凋亡。而视网膜的损伤又会进一步导致神经元兴奋性和突触传递能力的下降。与此同时,大量的蓝光还会扰乱昼夜节律,导致人类加速衰老和缩短寿命。
综上所述,在中老年人中,过长时间地看手机、电脑、电视屏幕与视网膜年龄差距较大息息相关,屏幕暴露时间越长,视网膜年龄差距也会越大,这其中由入睡时间过迟介导的。
“屏幕虽好,可不要贪玩哦!”想要防止自己老得快,最好的办法就是控制每日屏幕使用时间,尤其是睡前更应早早地放下手机,看看书或者放放空都是不错的“培养睡意”的选择呢!
参考资料:
[1]Lin S, Gao M, Zhang J, Wu Y, Yu T, Peng Y, Jia Y, Zou H, Lu L, Li D, Ma Y. Sleep onset time as a mediator in the association between screen exposure and aging: a cross-sectional study. Geroscience. 2024 Aug 27. doi: 10.1007/s11357-024-01321-x. Epub ahead of print. PMID: 39190220.
撰文 | Swagpp
编辑 | Swagpp
(转自:生物谷)