新浪财经 股票

加速转换!复邦德转换Ⅲ期SPRINT研究登上国际顶刊《柳叶刀》子刊

市场资讯 2024.07.26 10:10

转自:艾迪药业

近日,艾迪药业自主研发的抗艾口服新药艾诺米替片Ⅲ期临床试验数据(SPRINT研究)在国际权威医学期刊《柳叶刀—区域健康(西太平洋)》(The Lancet Regional Health – Western Pacific)在线全文发表。

艾诺米替片(商品名:复邦德)是以抗艾口服新药艾诺韦林为基础,组合拉米夫定和替诺福韦的复方制剂,是中国首个自研抗艾创新单片复方。艾诺韦林(商品名:艾邦德)是中国自主研发的新型非核苷类逆转录酶抑制剂(NNRTI),具有良好的安全性和有效性,较少出现与经典NNRTI依非韦伦(EFV)相关的神经精神症状、肝脏毒性及血脂异常,并具有抗EFV主要耐药突变K103N的活性。目前已被国家药监局批准,并纳入中国临床指南一线治疗方案。

此前,艾诺韦林片的Ⅲ期临床试验(RACER研究)已于2023年4月24日在《柳叶刀》(Lancet)子刊发表,此次艾诺米替片再次登上此国际临床医学顶级期刊,不仅填补了我国抗HIV治疗领域循证医学的空白,也为西太平洋地区的抗艾事业做出了重大贡献。

该论文题目为《艾诺米替对照艾考恩丙替经治转换III期临床试验(SPRINT研究)的48周结果》;本文第一作者:张福杰(首都医科大学附属北京地坛医院);其他作者:马萍(天津市第二人民医院)、赵清霞(郑州市第六人民医院)、魏洪霞(南京市第二医院)、卢洪洲、王辉(深圳市第三人民医院)、何盛华、陈竹(成都市公共卫生临床医疗中心)、陈耀凯(重庆市公共卫生医疗救治中心)、王敏(长沙市第一医院)、宛皖(江苏艾迪药业);通讯作者:吴昊(首都医科大学附属北京佑安医院)、蔡卫平(广州医科大学附属市八医院)、傅和亮、秦宏(江苏艾迪药业)、张福杰。

SPRINT研究是由首都医科大学附属北京地坛医院张福杰教授牵头的一项多中心、双盲双模拟、随机阳性对照Ⅲ期试验,全国共计10家临床中心参与,共招募762名HIV成人,是全球首项非核苷逆转录酶抑制剂和整合酶抑制剂进行头对头比较的RCT临床研究。主要疗效终点为治疗48周时,艾诺米替组HIV-1 RNA水平≥50拷贝/mL的受试者百分比不劣于艾考恩丙替组,非劣效界值为4%。完成48周双盲治疗后进入为期48周的开放期研究,所有受试者的治疗方案改为艾诺米替片。

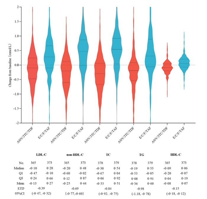
治疗48周时,艾诺米替组和艾考恩丙替组分别有7例(1.8%)和6例(1.6%)HIV-1 RNA≥50拷贝/mL(包括时间窗内无病毒学数据),经基线校正后百分比差为0.3%(95%CI [-1.6, 2.1]),达成预设非劣效。48周时,艾诺米替组自基线起体重增幅小于艾考恩丙替组,且具有统计学意义(最小二乘平均值,1.16 和 2.05 kg,估计治疗差异 [ETD] -0.90 kg,95% CI [-1.43, -0.37]);血脂谱自基线起变化显示,艾诺米替较艾考恩丙替更为友好,低密度脂蛋白胆固醇(LDL-C)ETD为-0.39 mmol/L [-0.47, -0.32]。此项研究表明,国产抗艾新药——艾诺米替片,在经治HIV-1成人转换治疗中,病毒抑制稳定,疗效非劣于艾考恩丙替片,并且在血脂代谢等心血管代谢安全性方面有额外获益。

日前,联合国艾滋病规划署(UNAIDS)和世界卫生组织(WHO),在德国慕尼黑正在召开的2024年国际AIDS大会上,再次强调了在既往达成“95-95-95”的基础上要达成第4个“95”,即95%的HIV人群享有更高的生活质量。艾诺米替转换治疗Ⅲ期SPRINT研究证实了艾诺米替较国际一线整合酶抑制剂方案可以改善体重和血脂等心血管代谢风险,与一线方案形成良好互补,可以为HIV人群提供更好的医疗照护。

此次SPRINT研究在AIDS大会召开期间同步发表于国际顶刊《柳叶刀》子刊,离不开参研的10家临床中心和762名HIV人士的共同努力,在此感谢他们为中国HIV循证医学领域做出的突破性贡献。

另外,在与美国FDA的pre-IND沟通中,美国FDA对于艾迪既往在初治人群中完成的期RACER研究和经治转换人群中完成的期SPRINT研究的临床价值和临床质量均给予了高度的认可。

专业学术期刊和高水平监管机构对艾诺韦林和艾诺米替的双重认可,是艾迪进一步开拓国际市场的坚实基础。

参考文献:

Fujie Zhang, et al. Switch to fixed-dose ainuovirine, lamivudine, and tenofovir DF versus elvitegravir, cobicistat, emtricitabine, and tenofovir alafenamide in virologically suppressed people living with HIV-1: the 48-week results of the SPRINT trial, a multi-centre, randomised, double-blind, active-controlled, phase 3, non-inferiority trial. The Lancet Reg Health, Vol 49 August, 2024.

关于艾邦德®(艾诺韦林片)和复邦德®(艾诺米替片):

艾邦德®(艾诺韦林片)于2021年6月获批上市,是中国首个获批上市的治疗HIV-1感染的原研口服1类新药。同年,《中国艾滋病诊疗指南(2021版)》将艾诺韦林正式纳入指南治疗方案目录。复邦德®(艾诺米替片)于2022年12月获批上市,是中国首个具有自主知识产权的三联单片复方抗HIV-1感染1类新药,在艾诺韦林的基础上加入富马酸替诺福韦二吡呋酯和拉米夫定,组成复方制剂。

关于复邦德®SPRINT研究:

SPRINT研究是一项多中心、随机、双盲双模拟、阳性对照、平行分组的Ⅲ期临床试验,主要评估艾诺米替对比艾考恩丙替治疗经治获得病毒学抑制HIV-1成人的有效性和安全性。此研究纳入762例经一种非核苷逆转录酶抑制剂(NNRTI)联合两种核苷逆转录酶抑制剂(NRTIs)治疗至少12个月的HIV成人,入组后分别接受艾诺米替和艾考恩丙替治疗,为期96周。

关于艾迪药业:

艾迪药业是一家致力于探索、研发创新性化学药物以及人源蛋白产品的创新型制药企业。目前核心在研产品包括8个1类新药和4个2类新药,范围涉及抗HIV非核苷类逆转录酶抑制剂、整合酶抑制剂、长效治疗药物、炎症、脑卒中等治疗领域,累计拥有授权专利30项。两款创新药艾邦德®(艾诺韦林片)和复邦德®(艾诺米替片)已获批上市,全新化学结构的整合酶链转移抑制剂ACC017片,于2024年1月获得药物临床试验批准,现已完成Ⅰ期临床试验。HIV治疗长效药物ACC027也处于研发阶段。通过布局开发系列抗病毒新药管线,力求为患者提供更为全面多元的产品选择,形成产品集群,不断满足国内艾滋病治疗升级的迫切需求。

加载中...