吉卡昔替尼(曾用名:杰克替尼)纳入新版CSCO指南Ⅰ级推荐,助力骨髓纤维化治疗
转自:泽璟制药
NEWS
近期,备受瞩目的中国临床肿瘤学会(CSCO)指南大会在泉城济南召开。时隔一年,全国各地的肿瘤领域专家学者再度相聚,共同聚焦肿瘤学科的最新研究进展,深入探讨临床实践中的热点话题。此次大会旨在为肿瘤学科的高质量发展明确思路、指明方向,见证多部CSCO肿瘤诊疗指南的更新及新指南的首次发布。
此次大会发布了《CSCO恶性血液病诊疗指南(2024年)》,为恶性血液病治疗带来了新方案和新手段,由泽璟制药自主研发的吉卡昔替尼(曾用名:杰克替尼),被纳入了原发性骨髓纤维化(PMF)一线分层治疗的I级推荐,并维持二线及进展期治疗的推荐。尤其是在骨髓纤维化(MF)相关贫血患者的一线治疗中,被列为I级推荐的首选。
MF是一种慢性骨髓增殖性肿瘤(MPN),由于骨髓造血组织中成纤维细胞异常增殖、网状蛋白和胶原的异常沉积而严重影响骨髓造血功能,包括PMF、真性红细胞增多症继发的MF(Post-PV-MF)或原发性血小板增多症继发的MF(Post-ET-MF)。3种MF的患病率各不相同,处于0.5/10万-9/10万[1]之间,发病人群主要是老年人,年龄多在50-70岁之间。MF临床表现较为复杂,主要病理特征是肝、脾脏肿大、髓系血细胞减少或增加和骨髓形态呈现纤维化。患者出现包括疲劳、发热、体重减轻、早饱、瘙痒、盗汗、咳嗽、脾肿大引起的疼痛和骨骼疼痛等全身症状,若疾病恶化还可进展为急性白血病。大多数患者的疾病负担会比较重,不进行治疗的话,生存质量低,而且生存期较短。
目前,大多数MF患者面临着沉重的疾病负担,需要临床引起高度重视。虽然在众多治疗手段中JAK抑制剂(JAKi)能显著改善患者症状,延长生存时间,目前国内仅有芦可替尼获批用于MF治疗,然而其难以持续控制MF患者脾肿大及相关症状和体征,且一部分患者会出现不耐受或治疗失败,因此,在MF治疗的疗效、安全性、经济性等方面仍存在着不可忽视的需求,也成为了临床重点关注问题和难题。
吉卡昔替尼在MF的部分临床数据已在国际舞台崭露头角,其Ⅲ期临床期中分析[2]显示,第24周时,吉卡昔替尼组和羟基脲组脾脏体积较基线缩小≥35%(SVR35)的患者比例分别为72.3% vs. 17.4% (p≤0.0001) (图1)。
图1 24周IRC评价的脾脏体积相比基线变化的百分比瀑布
在症状评分方面,吉卡昔替尼组第24周总体症状评分减少≥50%(TSS50)的患者比例为63.8%,羟基脲组为43.5%(图2)。
图2 患者TSS50随时间变化情况
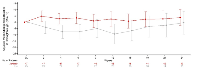
在贫血响应方面,第24周时,吉卡昔替尼组7例基线需要红细胞输注的患者中有5例患者实现红细胞输注量减少≥50%,羟基脲组5例中有2例实现红细胞输注量减少≥50%。吉卡昔替尼组4例基线输血依赖的患者中有1例患者转化为非输血依赖,羟基脲组3例基线输血依赖的患者均未转化为非输血依赖。在基线血红蛋白≤100g/L的非输血依赖的患者中,吉卡昔替尼组血红蛋白升高≥20g/L的患者比例高于羟基脲组,分别为39.3%和15.4%。在血红蛋白水平方面,吉卡昔替尼组各时间点相对基线的血红蛋白水平均有所升高,而羟基脲组均有所下降(图3)。
图3两组患者血红蛋白水平与基线相比变化情况
在安全性方面,吉卡昔替尼的总体安全性好于羟基脲。吉卡昔替尼组≥3级治疗期不良事件(TEAE)、严重TEAE、导致永久停药以及导致剂量减少或暂停用药TEAE的发生率均低于羟基脲。最常见的≥3级血液学TEAE是贫血、血小板减少、白细胞减少、中性粒细胞减少和淋巴细胞计数减少。
关于盐酸吉卡昔替尼
盐酸吉卡昔替尼(曾用名:盐酸杰克替尼)是公司自主研发的一种新型JAK和ACVR1双抑制剂类药物,属于1类新药,公司拥有该产品的自主知识产权。吉卡昔替尼对Janus激酶包括JAK1、JAK2、JAK3和TYK2具有显著的抑制作用,且对JAK2和TYK2的抑制作用最强。吉卡昔替尼的作用机制为阻断JAK-STAT信号传导通路,直接或间接阻断多种相关细胞因子信号转导,抑制免疫过度或异常。另外,吉卡昔替尼还可以通过抑制激活素受体1(ACVR1)活性,降低铁调素转录,改善铁代谢失衡,增加血红蛋白,降低骨髓纤维化患者贫血发生率和减少输血依赖。
盐酸吉卡昔替尼片目前正在开展多个免疫炎症性疾病和纤维化疾病的临床研究。2022年10月,公司提交的吉卡昔替尼片治疗中、高危骨髓纤维化适应症的NDA申请获得国家药监局受理,目前正在审评审批过程中;同时,吉卡昔替尼片用于芦可替尼不耐受患者的安全性和有效性的IIB期临床试验已经完成、吉卡昔替尼片用于芦可替尼复发/难治的骨髓纤维化患者的安全性和有效性的IIB期临床试验已经完成。此外,公司正在开展吉卡昔替尼片用于重症斑秃(III期)、中重度特应性皮炎(III期)、强直性脊柱炎(III期)、特发性肺纤维化(II期)、中重度斑块状银屑病(II期)等自身免疫性疾病的临床试验。吉卡昔替尼片用于治疗骨髓纤维化的研究获得国家“重大新药创制”科技重大专项立项支持。
关于泽璟制药(688266.SH)
泽璟制药是一家专注于肿瘤、出血及血液疾病、免疫炎症性疾病和肝胆疾病等多个治疗领域的创新驱动型化学及生物新药研发和生产企业,致力于研发和生产具有全球自主知识产权、安全、有效、患者可负担的创新药物,以满足国内外巨大的临床需求。
公司自成立以来,坚持独立自主的原始创新和改良再创新并重的发展策略。在研药品注重肿瘤、出血及血液疾病、免疫炎症性疾病和肝胆疾病等领域,填补国内空白,为尚未满足的临床需求提供治疗选择。公司注重同时布局大病种疾病和罕见病,注重在研药品的领先性、可及性、广谱性或特效性,从而形成产品管线的差异化综合竞争优势。
公司建立了三个研发中心、三条GMP生产线,形成了泽璟在江苏昆山、上海张江、美国加州的拥有技术和资源优势的全球发展框架,最大限度地发挥泽璟在小分子新药和生物大分子新药的研发和产业化潜能。
引用文献
[1]Byun JM, et al. Ann Hematol. 2017 Mar;96(3):373-381
[2]Zhang, Yi, et al. Hemasphere. 2023(S7): e7077553