新浪财经 股票

他救回“垃圾桶”里的药物分子,开启了治愈丙肝的新时代

市场资讯 2024.04.08 08:02

转自:医药观澜

型肝炎病毒(HCV)是一种常见的血源性病原体,其主要感染部位是肝脏。尽管与乙肝相比,丙肝的知名度并不高,但其潜在危害却同样不容忽视。HCV可能引发急性或慢性肝炎,并增加感染者发展为肝硬化、肝功能衰竭和肝细胞癌(肝癌)的风险,且迄今为止尚未有针对性的疫苗被成功研发出来。但好消息是,2013年年底,首款无需干扰素就能高效治愈丙肝的直接抗病毒药物NS5B抑制剂索非布韦(sofosbuvir)获FDA批准上市,彻底变革了丙肝的治疗格局。在临床试验中,索非布韦展示出了对丙肝2型和3型患者100%的治愈率,其诞生是科学家在丙肝攻坚史上树立的一座里程碑。

在索非布韦诞生的背后,除了有历代科学家们为HCV治疗药物的开发奠定了坚实的前期研究基础,还有一名药物研究科学家在其中发挥了关键的推动作用。他凭借扎实的化学功底、灵活的头脑、勇于挑战的个性和坚定的信念最终导致了这款被《细胞》杂志称为“这一代人在公共卫生领域取得的最重要成就之一的疗法的诞生。在今天的文章中,药明康德内容团队将结合公开资料,为大家讲述这位开创了治愈丙肝的新时代的关键科学家迈克尔·索菲亚(Michael J. Sofia)博士的故事。

挑战攻克一种难防难治的棘手疾病

故事要从2005年索菲亚博士决定离开大型医药公司,加入一家只有15人的小型生物技术公司准备“从头再来”开始说起。

在加入这家名为Pharmasset的小公司之前,索菲亚博士已在大型医药公司里贡献了自己20年的青春。很多人到了像他这样的年纪,年轻时的抱负和梦想都已在时光中被渐渐掩埋,但他却越来越按不下心中的那股冲动。

索菲亚博士从博士后阶段开始就对黄病毒研究十分感兴趣,自1989年科学家首次鉴定出属于黄病毒科的丙肝病毒后,他就开始对这种与进行性肝病和癌症相关的新型人类病毒进行了小规模的研究。起初,他没想过要寻找能够治疗HCV感染的方法,只是单纯想要更好地了解这种病毒。但几年后发生的一件事改变了他的想法。

那时,一名丙肝小患者的家人联系到他想向他寻求治疗丙肝的新疗法。多年来,这个家庭为了给女儿治病四处求医,在标准治疗无效的情况下,他们唯一的选择只有无奈地期盼新药的出现。当时,索菲亚博士只能对他们表示遗憾,但他想为丙肝患者做点什么的想法已经种下。当然,基于对丙肝病毒的了解,他知道这不是一件易事。

▲HCV感染的自然史(图片来源:参考资料[5])

HCV是一种高度多样化的病毒,具有多种亚型,这使得科学家们不管是想要制造出一种提供广泛保护作用的疫苗还是开发一款能够全面覆盖多种亚型的疗法都十分困难。因此,最初被用于治疗丙肝的“标准方案”里的两种药物——干扰素(一种具有抗病毒、抗肿瘤和免疫调节特性的多效性细胞因子)和利巴韦林(一种广谱抗病毒药物)都不是专门用来治疗丙肝的。这种标准方案需要连续使用6至12个月,总体治愈率却只有40%左右。并且由于干扰素会产生流感样症状、抑郁和骨髓抑制等严重的副作用,许多患者根本无法坚持完整个疗程。但对丙肝患者来说,他们没有更好的选择了。

时间来到了20世纪末,随着丙肝病毒体外培养的难题被攻克,转机出现了。科学家们终于有了能用来筛选丙肝药物的工具,这为开发直接抗病毒药物(direct-acting antiviral agents,DAAs)奠定了基础。索菲亚博士知道,他实现理想的机会来了。

作为一名新药开发工作者,没有什么比亲手开发出一款能够造福广大无药可用的患者的有效药物更能令人感到欣慰和满足的了。为了让自己的学识和多年积累下的药物开发经验能更好地发挥其价值,也为了实现自己的一腔抱负,他毅然离开了稳定的工作环境,选择加入了一家专注于抗病毒药物开发的小公司,从搭建新的研发团队开始,尝试走一条前途未卜的路。毕竟,以前从没人能成功过。

初到公司就面临棘手难题

当时,许多生物技术和医药公司正竞相开发DAAs,最重要的目标就是要摆脱对干扰素的依赖。其中,研究进展最快的要数HCV蛋白酶抑制剂类药物,但这类药物并没能达到研究人员的预期。首先,这些抑制剂也需要与干扰素和利巴韦林联合使用。其次,这类药物也会产生许多不良副作用。不仅如此,它们也无法覆盖多种不同的HCV亚型,并且患者也会迅速对其产生耐药性。

HCV的基因组结构和DAAs的作用靶点(图片来源:参考资料[4])

那时,索菲亚博士选择加入的生物技术公司正在开发的候选丙肝药物PSI-6130采取的是另一种治疗策略。PSI-6130是一种核苷类似物,靶向NS5B RNA聚合酶。这类药物可以作为DNA或RNA合成的替代物,被引入到新合成的DNA或RNA链中,从而干扰核酸的合成过程,阻止病毒的复制。

索菲亚博士刚到公司就面临着一个棘手的问题。尽管PSI-6130在细胞实验中的表现非常突出——它耐受性良好,并且能显著抑制HCV RNA的合成,但该候选分子也有一个硬伤,它在口服时很难被吸收,还会产生一大堆没有活性的尿苷代谢物。

为了解决这个问题,索菲亚博士带领团队尝试开发了PSI-6130的前药。简单地说,前药就好比是一种药物的“特洛伊木马”,它们通过对目标药物分子进行修饰,隐藏了目标药物的真实面目。这样一来,药物就能够通过一些原本无法通过的障碍(比如无法进入细胞),更容易被身体吸收。当前药进入体内后,外部的伪装会被解除,目标药物就能够显示出真正的功效。

索菲亚博士团队开发的这款名为RG7128的前药的早期临床数据确实相当令人鼓舞。RG7128在单独给药或与干扰素+利巴韦林联合给药时都能抑制HCV的复制。尤其是在不使用干扰素的情况下,RG7128联用HCV蛋白酶抑制剂也能发挥作用,这让研究人员看到了开发出一款能够完全摆脱干扰素的丙肝疗法的希望。但这种前药依然存在局限性,丙肝患者需要每天多次服用以克为单位的药物才能看到临床效果,并且这种前药同样会产生大量无活性的尿苷代谢物。

在这样的情况下,Pharmasset公司的一些工作人员认为,如果要开发出一款最终能够上市的丙肝疗法,他们可能需要找到一种更好的药物。索菲亚博士深以为然。

救回“垃圾桶”里的药物分子,开启治愈丙肝的新时代

索菲亚博士知道,自己所需要解决的问题很多,包括在保持药物良好特性(如HCV亚型覆盖广、不易耐药和具有高选择性)的同时,提高其药效并减少给药频率。此外,这种药物最好还能选择性地靶向HCV所在的肝脏。问题是,要如何找到这样一种药物呢?

索菲亚博士的团队随后进行了大量药物结构改造的探索,但始终没能找到比最初发现的PSI-6130更好的候选分子。于是,他们决定重新以原本想要放弃开发的PSI-6130为突破口,继续开展研究。

幸运的是,在他同事菲尔·弗曼(Phil Furman)及其团队的帮助下,索菲亚博士理出了一些继续开发的方向。通过研究PSI-6130的代谢过程和作用机制,他们发现PSI-6130的一种尿苷三磷酸(uridine triphosphate)代谢产物正好符合他们理想中的HCV聚合酶抑制剂的特性——它的半衰期更长,可能具有更好的效力并有望实现一天一次的给药频率。接下来的问题就在于,如何让这种活性代谢产物能特异性地在肝脏细胞中生成并发挥作用呢?

索菲亚博士想到了肝脏的首过代谢。首过代谢是指,所有药物在消化道被吸收后,首先会通过门静脉系统直接输送到肝脏被代谢和清除。基于这个想法,索菲亚博士及其同事设计了一种磷酰胺前药,该药物是PSI-6130的衍生物,在进入肝细胞后会因首过代谢脱去药物中的磷酸基团,然后代谢为其单磷酸衍生物,并进一步代谢为他们找到的那种有效的HCV聚合酶抑制剂。为了从大量前药类似物中筛选出最佳候选药物,索菲亚博士团队还建立了全新的体外和体内筛选系统。

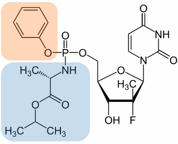
经过一系列全面的筛选,他们最终选择了一种名为PSI-7851的分子作为临床候选药物。在1期临床试验中,这种疗法被证明是安全有效的,且每天只需服用一次。不过PSI-7851实际上是两种异构体分子的混合物,其中一种形式比另一种形式更有效。经过进一步的优化研究,索菲亚博士团队开发了一种新的化学合成方法来制造PSI-7851中疗效更佳的那种异构体,该单一分子被命名为PSI-7977,也就是后来的索非布韦。

▲索非布韦的分子结构(图片来源:参考资料[4])

2012年初,吉利德科学公司(Gilead Sciences)收购了Pharmasset公司,并继续开发索非布韦。尽管此前索非布韦就在临床试验中展现了不俗的实力,但2013年1月公布的一项临床试验结果才最终奠定了其在丙肝治疗中的重要地位。在这项针对丙肝2型和3型患者的临床试验中,索非布韦联用利巴韦林在没有干扰素的情况下,只需给药12周,患者的治愈率为100%!这意味着,索非布韦是首款无需干扰素就能高效治愈丙肝的直接抗病毒药物,彻底变革了丙肝的治疗,让患者不再受干扰素副作用的困扰。

2013年12月6日,美国FDA批准了索非布韦(Sovaldi)方案用于某些HCV类型患者的治疗。在它获批后,慢性HCV感染者开启了无干扰素治愈丙肝的新时代。而继索非布韦之后,国内外更多DAAs药物被研发上市,让全球丙肝患者看到了治愈的希望。

后记

在医学史上,只有屈指可数的慢性疾病能够被治愈,丙肝正是其中的一种。2016年,索菲亚博士因其在丙肝药物开发中做出的突出贡献与另外两位优秀科学家共同获得了拉斯克临床医学研究奖。

对于索菲亚博士来说,获奖固然令人兴奋,但最令他感到开心的是,他实现了自己的理想,同时改变了许多丙肝患者的人生。在得知他即将获得拉斯克奖后,当年那位找他求药的小患者家属向他发来了祝贺,并告诉他,他们女儿的病已经治愈并过上了幸福的生活。对于一个基础科学家来说,没有什么是比这更好的奖励了。

根据《内科学年鉴》上发表的一项新的研究,基于现有的筛查和治疗手段,到2036年,曾经在世界传染病中排名前列的丙肝将成为罕见病,世界卫生组织更是把2030年消灭丙肝作为目标。

如今,与丙肝的斗争似乎已经进入了尾声,但科学家的努力还没有结束。期待有效的丙肝疫苗被开发出来那一天,人类能够正真消灭这种疾病。

参考资料:

[1] Hepatitis C replicon system and drug development. Retrieved March 30, 2024, from https://laskerfoundation.org/winners/hepatitis-c-replicon-system-and-drug-development/

[2] Williams CL. Ralf Bartenschlager, Charles Rice, and Michael Sofia are honored with the 2016 Lasker~DeBakey Clinical Medical Research Award. J Clin Invest. 2016 Oct 3;126(10):3639-3644. doi: 10.1172/JCI90179. Epub 2016 Sep 13. PMID: 27620536; PMCID: PMC5096798.

[3] Hepatitis C. Retrieved March 30, 2024, from https://www.who.int/en/news-room/fact-sheets/detail/hepatitis-c

[4] Palese P. Profile of Charles M. Rice, Ralf F. W. Bartenschlager, and Michael J. Sofia, 2016 Lasker-DeBakey Clinical Medical Research Awardees. Proc Natl Acad Sci U S A. 2016 Dec 6;113(49):13934-13937. doi: 10.1073/pnas.1616592113. Epub 2016 Nov 18. PMID: 27864510; PMCID: PMC5150379.

[5] Vilarinho S, Lifton RP. Pioneering a Global Cure for Chronic Hepatitis C Virus Infection. Cell. 2016 Sep 22;167(1):12-15. doi: 10.1016/j.cell.2016.08.038. Epub 2016 Sep 13. PMID: 27634325.

[6] Sofia MJ. Enter Sofosbuvir: The Path to Curing HCV. Cell. 2016 Sep 22;167(1):25-29. doi: 10.1016/j.cell.2016.08.044. Epub 2016 Sep 13. PMID: 27634323.

加载中...