新浪财经 股票

​一文解读:礼来重磅JAK抑制剂巴瑞替尼,被判专利全部无效

市场资讯 2024.01.26 07:30

转自:药渡

撰文:药丸   编辑:维他命

近期,巴瑞替尼核心化合物(专利号:ZL200980116857.7)被国知局宣告全部无效,继同靶点JAK抑制剂乌帕替尼后,又一重磅药物专利被无效,引发市场重大关注。

本文主要对巴瑞替尼药物、涉案专利及无效案进行简析,从专利创造性三步法角度来梳理涉案专利不具备创造性的理由和依据,以期为行业提供一些思考。

01

药物简介

巴瑞替尼是由Incyte Corp研发的一种小分子JAK抑制剂。目前该药物最高研发阶段为批准上市,用于治疗幼年型类风湿性关节炎、斑秃、新型冠状病毒感染、特应性皮炎和类风湿关节炎。值得注意的是,2023年3月27日,巴瑞替尼片正式获得中国批准,用于成人重度斑秃的系统性治疗,这是国内首个系统性治疗重度斑秃的创新靶向药物。

  • 主要国家注册情况:欧盟2017-2-13;日本2017-7-3;美国2018-5-31;中国2019-6-24;

  • 中国注册及竞品情况:

    【原研】在中国,原研于2019年6月24日首次获批进口,上市许可持有人是礼来药业。

    【仿制】1家仿制厂家于2023年9月28日获批上市,生产厂家是南京优科制药有限公司,上市许可持有人是南京力博维制药有限公司。2023年9月13日,还有1家仿制厂家(山东华铂凯盛/安徽泰恩康制药)提交4类上市申请,目前审评审批中。

  • 巴瑞替尼相关市场交易:2009年12月21日, Incyte和礼来就巴瑞替尼达成合作。

  • 巴瑞替尼市场表现:巴瑞替尼17年上市后,截至目前已为礼来带来约33亿美元的净收入。

以上图表数据中,巴瑞替尼的销售数据是净收入,已扣除作为销售成本的2021年的3.3亿美元和2022年的2.6亿美元。

02

专利简介

巴瑞替尼核心化合物(专利号:ZL200980116857.7),于2009年3月10日申请,理论于2029年3月10日到期。

表1. 巴瑞替尼涉案专利情况,参考来源:中国专利检索平台

涉案专利授权文本保护14项权利要求,包括独立权利要求和从属权利要求。其中独立权利要求1、2及3保护了涉及巴瑞替尼或其药用盐,具体包括磷酸盐和其组合物。

巴瑞替尼在中国药品上市登记平台上收录1项专利,登记专利类型是化合物和用途。

表2. 巴瑞替尼专利登记平台情况,参考来源:中国药品上市登记平台

03

专利无效案件及简析

涉案专利(专利号为200980116857.7)由南京斯帕克医药科技有限公司于2023年7月提起无效宣告请求,国知局经审查,于2024年1月12日做出审查决定,基于专利法第22条第3款,宣告涉案专利全部无效(决定号:564902)。

表3. 巴瑞替尼涉案专利无效情况,参考来源:国知局

具体过程及分析如下:

无效请求人无效宣告理由:以权利要求1-14不具备创造性,不符合专利法第22条第3款的规定为由,请求宣告本专利权利要求1-14全部无效。

专利创造性三步法

1、确定最接近的现有技术;

2、确定发明的区别技术特征和发明实际解决的技术问题;

3、判断要求保护的发明对本领域的技术人员来说是否显而易见。

本文主要从专利创造性三步法角度,来简述巴瑞替尼涉案专利独立权利要求1的情况:

  • 【确定最接近的现有技术】无效请求人主要证据:证据1是作为现有技术;证据2-6用于证明本专利与证据1的技术效果。其中,证据1涉及两面神激酶抑制剂的杂芳基取代的吡咯并[2,3-b]吡啶和吡咯并[2,3-b]嘧啶,而且公开保护通式化合物,经查看,本专利权利要求1保护的化合物巴瑞替尼落入证据1的通式范围内。

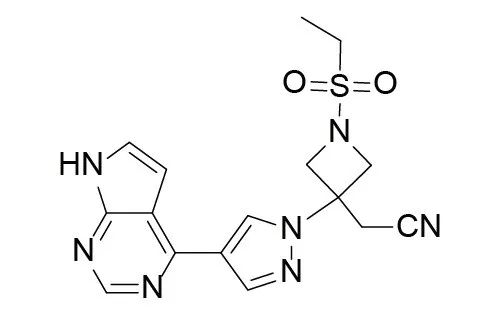
  • 【确定发明的区别技术特征和发明实际解决的技术问题】确定区别技术特征:进一步,以证据1的实施例67化合物作为最接近的现有技术方案。权利要求1与之相比区别在于:吡唑环1位上的取代基不同,权利要求1为1-乙基磺酰基-3-氰基甲基氮杂环丁烷-3-基,证据1实施例67为1-环戊基-2-氰基乙基。

    审查员引用的主要对比文件证据1是Incyte的芦可替尼专利。

确定实际解决的问题:再者,从试验数据角度查看分析。本专利的巴瑞替尼与证据1 中的上述化合物活性基本相当,并未明显优于现有技术。基于本专利说明书记载的效果实验数据,结合证据2-6的内容,本专利权利要求1相对于证据1实际解决的技术问题是提供一种具有用途相同结构类似的化合物。

  • 【判断是否显而易见】经审查,证据1给出了吡唑环1-位可以是被C1-4氰基烷基和烷基磺酰基取代的亚杂环烷基的技术启示,本领域技术人员在证据1的基础上得到权利要求1保护的化合物是显而易见的。

综上,基于上述事实和理由,涉案专利不具备创造性,被宣告全部无效。

后续救济:当事人对本决定不服的,自收到本决定之日起三个月内向北京知识产权法院起诉。

04

后记

首先,纵观巴瑞替尼化合物专利无效案,现有技术证据1的马库什通式范围很广,并且从马库什变量的具体选择上出发,可以直接得到本案巴瑞替尼的结构式,可见现有技术给出了涉案专利相关技术启示。

其次,从意料不到的技术效果出发,很遗憾的是原研提供的试验数据与证据1中的上述化合物活性基本相当,并未明显优于现有技术。

再者,基于本案还有救济的机会,原研后续仍有机会对该无效决定不服进而提起行政诉讼,而原研能否提供新的证据证明其具有更优的活性从而逆风翻盘,我们拭目以待。

最后值得一提的是,在中国药品专利期限可获得延长的背景下,专利无效、仿制专利策略需要好好研究了。

参考资料:

1、巴瑞替尼说明书

2、礼来历年年报数据

3、注册信息:CDE、NMPA、FDA、EMA及PMDA等

4、专利信息:中国专利检索平台、国家知识产权局、欧专局等

5、巴瑞替尼无效决定号:564902

加载中...