ARV766结构的3处改变使其优先被考虑推至3期临床
转自:药时代
Arvinas是一家非常著名的PROTACs公司,其针对乳腺癌患者的ER降解剂ARV-471是首款进入临床3期的PROTAC。
ARV-110和ARV-766 都是AR降解剂,ARV-110不能降解AR L702H突变,而ARV-766是泛AR降解剂,可以降解AR L702H突变,进一步增加患者人群范围。
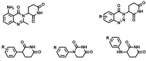
ARV-766与ARV-110相比,在结构上主要有3处不同,包括将中间的六元环改成取代的四元环,将左侧芳香环上氯原子替换成甲氧基以及将氟取代的沙利度胺替换为氟取代的苯甲酰胺,苯甲酰胺这一类CRBN配体有选择性高和血浆稳定性高等优点。
今年的ESMO会议上,ARV-766展示了非常好的临床1/2期活性,基于此,Arvinas将优先推ARV-766而不是ARV-110进入临床3期。
PROTACs先驱公司Arvinas
PROTACs是现在研究非常火热的一门领域,是一个由靶标蛋白配体、E3连接酶配体以及连接它们的接头三组分组成,可以招募E3连接酶降解靶标蛋白。
与传统的小分子相比,它有几大优势:可以消除整个蛋白从而破坏蛋白的骨架功能,而不是抑制蛋白活性;可以靶向不可成药靶点;可以催化性发挥作用。
由于这些优点,国内外药企纷纷加入布局PROTACs,不仅包括辉瑞、艾伯维等制药巨头,还有一些新型成立的专注于开发PROTACs的公司,如Arvinas和Kymera Therapeutics等。
Arvinas成立于2013年,已成为降解剂领域的先驱,研发管线众多,临床上有3期的ARV-471、2期的ARV-110和ARV-766三款产品,除此之外,还有多款产品在临床前,如靶向BCL6、AR-V7、HPK1和KRAS G12D/V的PROTACs等(图1)[1]。
图1. Arvinas的研发管线
AR第二代降解剂ARV-766
ARV110是Arvinas开发的第一代AR降解剂,用于治疗前列腺癌,目前处于临床2期。
前列腺癌是欧美人群非常易得的肿瘤,据统计在美国男性中是第二致死疾病。在中国男性最常诊断的癌症中排名第6位。晚期前列腺癌患者群体数量巨大,而且不断增长。雄激素受体是前列腺癌的一个重要靶点,前列腺癌患者对目前的抗雄激素标准治疗有固有的或获得性的耐药性。因此这就体现出AR降解剂的优势,它可以消除整个蛋白,从而解决临床晚期前列腺耐药的问题。
但是ARV110不能降解L702H突变的前列腺素受体,有研究表明L702H是导致耐药的主要原因,约占转移性去势抵抗性前列腺癌患者总数的11%。因此Arvinas开发了第二代AR降解剂ARV-766。
ARV-766的化学结构及活性
今年AACR会议上,ARV766的化学结构首次被披露。与ARV110相比,结构上主要有3处改变:1. 将原来的六元环改成取代的四元环,提高了所需的基因型覆盖率,这也是ARV766可以作用于多种AR基因突变可能的原因;2. 将左侧芳香环上氯原子替换成甲氧基,在某些情况下,可以提高暴露量;3. 氟取代的沙利度胺替换为氟取代的苯甲酰胺,更为重要的是,采用了单一构型(图2)[2]。
图2. ARV766的化学结构
ARV766在前列腺癌细胞LnCap和Vcap针对野生型的AR降解DC50分别小于1.3 nM和1nM,Dmax分别大于91%和94%。除此之外,针对多种突变包括L702H都有非常强的降解效果。而且ARV-766不降解neosubstrate,如:GSPT1, IKZF1/3,CK1a。同时在小鼠体内也具有非常好的肿瘤抑制效果(图3)[2]。
图3. ARV766的降解活性
Arvinas于2023年10月22日在欧洲肿瘤内科学会(ESMO)上公布了AR降解剂ARV-766的1/2期临床试验结果。
临床结果显示,ARV766比ARV110表现出更好的效果和耐受性。对于携带任何AR LBD突变的患者,PSA50为41%;对于携带AR L702H突变的患者,PSA50为50%。因此Arvinas公司将会优先推ARV766至临床3期研究(图4)[3]。
图4. ARV766的临床实验数据
新型CRBN配体:苯甲酰胺
上述提到将ARV-110的CRBN配体氟原子取代的沙利度胺替换为氟原子取代的苯甲酰胺,并采用了单一构型导致了下一代AR降解剂ARV-766。
接下来我们将重点介绍这个新型CRBN配体苯甲酰胺。CRBN配体常用的有沙利度胺、泊马度胺和来那度胺等。然而,这些 CRBN 配体诱导neosubstrate的降解并且本质上不稳定,在温和条件下容易水解降解。因此越来越多的研究集中到开发新型CRBN配体来克服这些缺陷,目前已有多个新型CRBN配体被报道(图5)。
图5. 新型CRBN配体
关于苯甲酰胺的报道主要是专利较多,除了Arvinas,其它公司也有专利报道,如C4等。最近德国的科学家在Journal of Medicinal Chemistry上发表题为“Leveraging Ligand Affinity and Properties: Discovery of Novel Benzamide-Type Cereblon Binders for the Design of PROTACs” 祥述了这一类结构的SAR[4]。
首先他们在邻位引入氟原子,设计了化合物8d。8d表现出的亲和力的 IC50 值为 63 ± 16 μM。氟取代化合物在药物比例很高,因为氟的加入会影响几个重要的因素例如,亲脂性、代谢稳定性、膜渗透性和结合亲和力等。而且,氟也被认为是通过分子内C−F…H−N 的氢键 (IMHB)来达到构象约束的效果。
接着作者继续探索邻位取代基是否可以改善结合能力,作者设计了一系列相关化合物11a-11e(图6),都表现了对CRBN不错的结合能力。
在 MM.1S 细胞中评估这些化合物对IKZF3的降解能力。化合物 8d、11a 和 11d 不降解IKZF3,表现出了非常好的选择性;相比之下,化合物 11b (R = CF3)在 0.1 μM 时导致IKZF3明显降解。
SALL4也是一种癌胚蛋白参与胚胎发生过程中的肢体发育,有潜在的致畸作用。这些化合物都没有引发 SALL4 的实质性降解。此外,对 CK1α 或 GSPT1也没有降解。
图6. 苯甲酰胺类CRBN配体
最终目标是将新开发的 CRBN 配体应用到PROTAC分子的设计当中。作者综合选择了2个最优配体8d和11d设计了化合物43h和44h。与43h相比,44h表现出更强的蛋白降解。
为了探索PROTAC分子在体内的应用,作者评估包括化学溶解度和人血浆蛋白质结合以及在人血浆、人肝微粒体的稳定性等数据。化合物44h在缓冲液里面的溶解度不是很好,但表现出了非常好的血浆稳定性,在人肝微粒体稳定性一般可能是由于JQ1导致的。同样化合物43h也类似(图7)。为了证明这类CRBN配体的普适性,作者也应用于HDAC6降解剂的设计上,也能很好的降解HDAC6。
图7. 化合物43h,44h化学结构,降解能力及其理化性质
最后作者为了证明这类CRBN配体设计的降解剂对neosubstrate的降解情况。对MM.1S、MOLT4 或 HuH6 细胞进行用BRD4 降解剂 43 h和 44h处理24 小时后,发现了 IKZF1 和 IKZF3显著降解。当剂量为1μM,持续时间为4小时。IKZF1 和 IKZF3在MM.1S 和 MOLT4 细胞的降解不太明显(图8A)。
鉴于 BRD4 在表观遗传调控中的作用,作者假设 IKZF1 和 IKZF3 的下调可能BRD4 在转录水平上失活导致的。为了区分是蛋白质的直接降解还是影响转录 RNA的表达导致的,作者应用了独立表达的 IKZF3-GFP 融合蛋白,不依赖细胞转录控制。结果表明PROTAC 43h和44h没有导致IKZF3-GFP 的丰度明显改变。
相比之下,基于传统CRBN配体的降解剂如dBET6则显着下降IKZF3-GFP(图8B)。这些结果证实了基于苯甲酰胺配体的降解剂不存在 Neosubstrate的降解。在MOLT4 细胞中的定量蛋白质组学同样支持了这一结论。
图8. 基于苯甲酰胺的降解剂不降解neosubstrate
小结
通过在ARV110结构上进行3处改造包括将原来的六元环改成取代的四元环,将左侧芳香环上氯原子替换成甲氧基以及将氟取代的沙利度胺替换为氟取代的苯甲酰胺优化成下一代AR降解剂ARV766。
ARV766可以降解ARV110不能降解的L702H突变,增加了患者人群。
苯甲酰胺这一类CRBN配体是一类非常有前景的CRBN配体,有不降解neosubstrate以及血浆稳定性高等优点。而且溶解度也是可以通过对连接链的修饰得到提高,大大丰富了CRBN配体库。
参考文献
Pioneering the future of targeted protein degradation therapeutics
https://www.arvinas.com/wp-content/uploads/2023/04/discovery-of-arv-766-androgen-receptor-degrading-protac%C2%AE-treatment-metastatic-castration-resistant-prostate-cancer.pdf
https://ir.arvinas.com/static-files/2da814e8-2430-44cc-a492-70ec966404bc
Steinebach, C.; Bricelj, A.; Murgai, A.; Sosič, I.; Bischof, L.; Ng, Y. L. D.; Heim, C.; Maiwald, S.; Proj, M.; Voget, R.; Feller, F.; Košmrlj, J.; Sapozhnikova, V.; Schmidt, A.; Zuleeg, M. R.; Lemnitzer, P.; Mertins, P.; Hansen, F. K.; Gütschow, M.; Krönke, J.; Hartmann, M. D., Leveraging Ligand Affinity and Properties: Discovery of Novel Benzamide-Type Cereblon Binders for the Design of PROTACs. Journal of Medicinal Chemistry 2023, 66 (21), 14513-14543.
封面图来源:123rf