新浪财经 股票

年销售超20亿美元药物乌帕替尼,中国化合物专利被宣告无效

市场资讯 2023.09.13 18:40

转自:一度医药

国家知识产权局8月10日发布,艾伯维自主研发产品乌帕替尼中国化合物专利无效口审决定结果,专利号为2010800629206的专利权全部无效,专利号为 2018109020920的专利权部分无效。

在中国上市药品专利信息登记平台中,艾伯维公司针对乌帕替尼缓释片登记了以上2篇授权有效专利,该2篇专利是乌帕替尼的核心专利,权利要求保护范围涉及乌帕替尼的化合物、含有乌帕替尼的药物组合物、乌帕替尼的医药用途等,专利权要到2030年12月到期。

2022年12月,四川国为制药有限公司针对以上两个专利向国家知识产权局提交了无效宣告请求,通过双方近一年的证据和反证PK,合议组最终给出结论:乌帕替尼中国化合物专利无效。

乌帕替尼(Upadacitinib)

乌帕替尼(Upadacitinib)是艾伯维自主研发的一种JAK1抑制剂,目前正在多种免疫介导性疾病中对其进行研究。基于酶和细胞试验,乌帕替尼对JAK1显示出的抑制效力大于对JAK2、JAK3和TYK2的抑制效力。

2019年8月乌帕替尼首次获批上市,用于中重度类风湿性关节炎,是第一款获批上市的JAK1抑制剂,目前全球已经获批7项适应症。

2022年2月,乌帕替尼缓释片首次在国内获批上市,目前在国内已获批5项适应症,包括:中重度特应性皮炎、中重度类风湿性关节炎、活动性银屑病关节炎、中重度活动性溃疡性结肠炎、中重度活动性克罗恩病。

自上市以来,乌帕替尼销售额迅速增长,2019年、2020年、2021年、2022销售额分别为0.47、7.31、16.51、25.22亿美元,2023年上半年达到了16.04亿美元,同比增长了51.7%。艾伯维预计,2025年乌帕替尼的销售额将超过75亿美元。

专利(2010800629206)专利权全部无效

艾伯维专利号2010800629206共计申请了30项权利要求,最终仅保留要求14中的具体化合物或其药学上可接受的盐,删除该权利要求中的“异构体”,并且删除了其他29条权利要求。

专利2010800629206的第14条权利要求

而四川国为制药有限公司胜利的主要因素是抓住了创造性问题,在专利无效宣告请求中,请求人采用最多的法律条款《专利法》第22条第3款的创造性问题,此次也不例外。专利法第22条第3款规定:创造性,是指与现有技术相比,该发明具有突出的实质性特点和显著的进步,该实用新型具有实质性特点和进步。

而在专利确权阶段,允许专利申请人在申请日或者优先权日之后提交补充实验数据并对该补充实验数据了以审查,对于补充实验数据的判断原则是“补交实验数据拟证明的待证事实和/或技术效果应当是所属技术领域的技术人员能够从专利申请公开的内容中得到的”。

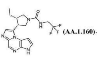
专利 2018109020920专利权部分无效

在四川国为制药有限公司第一次提交无效申请的证据时,艾伯维对专利 2018109020920的权利要求进行修改,从24项变成20项。最终在修改的20条权利要求中,权利要求1-10、13-20保留,但是权利要求4中涉及的化合物AA1.160的技术方案无效,因此涉及AA1.160化合物的11-12权利要求亦无效。

AA1.160结构式

其权利要求也是不具备专利法第22条第3款规定的创造性,没有证据能够证明乌帕替尼(AA1.160)较之请求人主张的最接近现有技术公开的技术方案取得了何种预料不到的技术效果,本专利权利要求4、11、12仅提供了一种结构类似化合物的药物组合物,因此,这部分的专利给予无效决定。

2023 年 02 月艾伯维重新更正的专20条权利要求如下(感兴趣的可以看看)

向下滑动查看所有内容

曾经,2018年国家知识产权局做出第36902号无效宣告请求审查决定,宣告辉瑞托法替布的化合物专利无效。第二年,正大天晴和齐鲁制药拿下了托法替布仿制药的生产批件。随后国内有超30家药企申报了托法替布的仿制药。对于乌帕替尼,等待后续艾伯维的应对。

专利局的无效宣告当然不意味着彻底给这个专利宣判死刑,艾伯维可在收到《无效宣告请求审查决定书》之日起到3个月内向北京知识产权法院起诉。根据往年的翻案数据来看,成功翻案的可能性是比较低的,概率低于20%。

JAK1抑制剂的创新药现状

目前全球已有9 款JAK1药物获批,根据药物针对靶点的选择性,可分为两类,分别为选择性较低、结合谱较广的第一代泛JAK抑制剂,除JAK1之外亦同时结合JAK2、JAK3或TYK2 等同源靶点,包括Ruxolitinib(诺华)、Tofacitinib(辉瑞)、Baricitinib(礼来)、Peficitinib(安斯泰来)、Delgocitinib(日本Tobacco);以及具有较高选择性、特异性结合JAK1 的第二代抑制剂,包括Fedratinib(新基)、Upadacitinib(艾伯维)、Filgotinib(吉利德)、Abrocitinib(辉瑞)。有5款在国内获批上市:Ruxolitinib、Baricitinib、Tofacitinib、Upadacitinib、Abrocitinib。

目前国内药企尚没有已上市的JAK1抑制剂新药,其中以泽璟制药的杰克替尼、恒瑞医药的SHR0302和信达生物的Itacitinib进度最为靠前。

杰克替尼是泽璟制药自主研发的一种新型JAK抑制剂类药物,它对Janus激酶包括JAK1、JAK2、JAK3和TYK2具有显著的抑制作用,且对JAK2和TYK2的抑制作用最强,于去年10月提交的上市申请已获得NMPA受理,用于治疗中、高危骨髓纤维化;

SHR0302是恒瑞与美国Arcutis进行的合作,目前已开展了包括类风湿性关节炎、溃疡性结肠炎、特应性皮炎、斑秃、银屑病关节炎等多领域的临床研究。2021年1月,SHR0302片剂被国家药监局授予了突破性疗法,用于治疗成人及12岁以上青少年的中重度特应性皮炎,目前Ill期临床结果已经达到了共同主要终点及次要终点,恒瑞已于2023年6月递交了该适应症的上市申请,8月24日再次提交新适应症的上市申请获得受理。根据临床试验进展,推测本次申报上市的适应症为治疗活动性强直性脊柱炎成人患者。

Itacitinib是新型、高效、选择性抑制 JAK1 信号通路的小分子抑制剂。2018年12月,信达生物与 Incyte就Itacitinib 达成战略合作,信达生物获得了在中国大陆、中国香港、中国澳门和中国台湾地区在血液病和肿瘤治疗领域进行开发和商业化的权利。2019年11月14日,Itacitinib获批治疗移植物抗宿主病临床,国内研究正式进入临床阶段。

参考资料:

1.国家知识产权局官网

2.第5项!艾伯维「乌帕替尼缓释片」新适应症在华获批,治疗克罗恩病,医药魔方Info,2023-07-04.

3.重磅药物乌帕替尼,中国化合物专利被宣告无效,药事纵横,2023-09-12.

4.一文掌握JAK抑制剂研发进展,博药,2023-04-15.

作者:Fan

主编:小宝

加载中...