蛋白类生物制品中常见的表面活性剂
转自:药事纵横
聚山梨(醇)酯20/80是生物制品中常见的非离子型表面活性剂,常见于蛋白类产品的辅料添加中。相比于离子表面活性剂(如十二烷基硫酸钠),非离子型表面活性剂避免了与带电蛋白质分子发生的强相互作用,而且毒性低且临床耐受性好。
FDA已经批准上市的近120款抗体类产品(单抗、双抗和ADC),产品中的表面活性剂添加不低于产品总数的70%,聚山梨酯20和聚山梨酯80的添加又分别占到了其中的30%和70%左右,还有少量产品中添加了波洛沙姆188。聚山梨酯80是1986年第一个上市单克隆抗体产品(Orthoclone OKT3,1986)辅料之一,聚山梨酯类表面活性剂的常见使用浓度在0.01mg/mL到1.0 mg/mL之间。
表1:表面活性剂常见用量示例
一般认为表面活性剂的添加具有1)表面活性剂与蛋白类产品竞争气-液的交界面,从而减低蛋白产品的暴露;2)降低产品与其接触面(如管壁、瓶塞等)的非特异性吸附;3)增加产品的溶解度。
图1:蛋白质稳定的不同机制示意图
聚山梨酯其实是一种混合物,主要为聚氧乙烯山梨醇脂肪酸酯组成的一种两亲性非离子表面活性剂。下图为聚山梨酯80的合成过程示例。山梨醇首先脱水成脱水山梨醇(脱水山梨醇可以进一步脱水成异山梨醇),脱水产物与环氧乙烷反应并进一步与油酸(或月桂酸)部分酯化,分别生成聚山梨酯80(或聚山梨酯20),产物中通常存在许多未酯化的分子(图2)。
图2:聚山梨酯80的合成。使用月桂酸代替油酸,以类似的方式合成聚山梨醇酯20。
聚山梨醇酯是由不同脂肪酸酯组成的多相混合物,中国药典要求聚山梨酯80和聚山梨酯20中的油酸含量范围分别为不低于58.0%,月桂酸应为40.0%~60.0%之间。一份数据显示,不同供应商间不同批次(A1-E3)聚山梨酯80均有差异(表2)。
表2:不同供应商间不同批次聚山梨酯80(PS80)差异(红框标注)
研发生产过程中应考虑到产品辅料本身对产品的的影响,以确保最终产品的安全有效性,各国药典要求市售产品必须满足其最低标准才可允许其销售(表3)。表1表明产品中聚山梨酯的实际使用量较低,实际采购时应该考虑到订购量的问题以防发生辅料变质问题。
表3:国际药典描述了用于制药目的的市售产品必须满足的最低标准
除聚山梨酯原料之外,聚山梨酯本身也存在着降解风险而造成其中含有的物质更加复杂。通常而言,聚山梨酯有酸/碱/酶催化的水解风险以及包括金属离子在内造成的氧化降解风险,聚山梨酯暴露于空气、光和过渡金属是导致其氧化的已知因素,酶介导的水解(一般由宿主蛋白介导)被认为是在生物药中观察到的降解的主要原因。抗体类产品使用的溶媒一般是生理盐水或者无菌注射用水,聚山梨酯的降解产物中的游离脂肪酸溶解度差,是形成不溶性颗粒的的主要原因之一。
图3:聚山梨酯降解的主要途径
针对水解,实际产品中经常会添加一定的缓冲辅料(如组氨酸(盐)、磷酸盐等),因此聚山梨酯所处的体系酸碱度变化应该不大。宿主蛋白的残留是一个棘手的问题,促使制剂产生多种聚集体以至于产生肉眼可见的颗粒,如蛋白质二硫化物酶(PD19)、热休克蛋白(DanK)等参与到了聚集进程中,不仅如此,宿主蛋白也会导致制剂降解的发生,使聚山梨酯功能丧失而破坏制剂稳定性。针对宿主蛋白残留,上游可以通过对细胞系相关基因的敲减(在不影响实际生产条件下),细胞培养条件优化,下游可以通过优化纯化步骤来改善,应该注意到高浓度抗体产品可能会伴随高浓度酶杂质的存在。当然,过程中有可能含有具有酶活性的其他物质,根据其性质,应该有针对性的去处理。针对金属离子(一般为铜、铁离子)在内造成的氧化问题,一般可以通过添加依地酸二钠来改善,而缓冲剂中常见的柠檬酸也可以起到络合金属离子的作用。
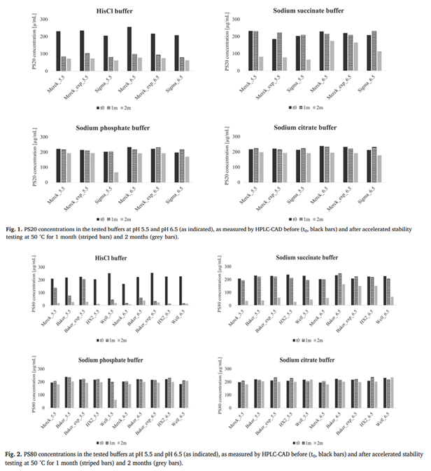
针对几种常见的缓冲体系中(组氨酸体系、柠檬酸体系、琥珀酸体系和磷酸缓冲体系),聚山梨酸酯在组氨酸缓冲液中的降解率最高(图4)。该实验的组氨酸缓冲体系以及聚山梨酯的使用浓度接近实际获批上市抗体类产品的实际使用浓度,提供了一定的借鉴意义。在配方筛查时,采用聚山梨酯为表面活性剂的产品中,配方中缓冲剂的选择应该是需要考虑的一种因素。值得注意的是近120款抗体类产品中有50%左右的产品中采用组氨酸缓冲体系,而组氨酸缓冲体系中有超过50%产品添加的表面活性剂为聚山梨酯。
图4:不同缓冲体系对聚山梨酯的保护效果
实际的配方组成要考虑到多种成分的添加以及各种成分的比例以及实际的用量,正交实验可能是针对这样变量繁多而复杂实验的良好解决方法。
常见的分离方法是色谱法(如HPLC),检测方法有紫外/可见光谱和荧光光谱、质谱法等等。由于聚山梨酯本身的异质性以及降解产物的复杂性,为其定性和定量表征提出了挑战。由于聚山梨酯复杂的组成、异质性和缺乏生色团,开发和验证多山梨酸酯的分析方法是比较困难的。
由于上述聚山梨酯可能存在的问题,其他的表面活性剂可能是替代其作用的良好辅料。FDA批准上市的抗体类中还有一些产品采用泊洛沙姆188(P188)替代聚山梨酯作为表面活性剂。
实际上P188 被批准用于各种配方中,作为乳化剂、增溶剂和分散剂等。
表4:FDA批准上市含泊洛沙姆抗体辅料信息
Grapentin C等人研究了四种单抗在含有聚山梨酯或P188不同液体配方的玻璃瓶中稳定性,发现P188在胁迫(冻融、摇动)条件下提供与聚山梨酯相当的保护效果(图5)。
图5:泊洛沙姆188和聚山梨酯对蛋白制剂保护效果
聚山梨酯中的酯键存在酶解或化学水解问题,而P188的结构对其则有良好的规避。但是P188的聚环氧乙烯链和聚环氧丙烷链的降解是否会形成不溶性颗粒,目前仍不清楚。
Wang T等人研究表明,P188在组氨酸缓冲体系中的稳定性表现不如柠檬酸缓冲体系,金属离子的存在下,稳定型也变得比较差(图6)。GC-MS鉴定的物质包括P188的典型自氧化产物乙酸、乙二醇及其低聚物和醇类、丙二醇及其低聚物和醇类以及各种乙二醇酯和丙二醇酯。此外,还观察到一些PPO和PEO低聚物,这些降解产物对不同蛋白质配方的影响还需要进一步研究。
图6:泊洛沙姆188在不同条件下的稳定性
抗体类注射制剂中作为蛋白质稳定剂的表面活性剂除聚山梨酯20/80以及P188外,泊洛沙姆家族中的P407、PEG脂肪酯(如聚乙二醇(15)-羟基硬脂酸酯)、非酯表面活性剂(如十二烷基葡糖苷和十二烷基麦芽糖苷)等均具有潜在的应用价值。当然,这些潜在的替代物也有潜在的短板,比如酯类表面活性剂可能存在与聚山梨酯相似包括酶解在内的问题,但也不能忽视它们的可生物降解和生物相容性,这些辅料的对产品包括安全性以及有效性的影响还有待研究者们的进一步探究。
参考文献
1)Brovč EV, Mravljak J, Šink R, Pajk S. Rational design to biologicsdevelopment: The polysorbates point of view. Int J Pharm. 2020 May15;581:119285. doi: 10.1016/j.ijpharm.2020.119285. Epub 2020 Mar 30. PMID:32240804.
2)Ilko D, Braun A, Germershaus O, Meinel L, Holzgrabe U. Fatty acidcomposition analysis in polysorbate 80 with high performance liquidchromatography coupled to charged aerosol detection. Eur J Pharm Biopharm. 2015Aug;94:569-74. doi: 10.1016/j.ejpb.2014.11.018. Epub 2014 Nov 25. PMID:25460583.
3) Katz JS, Chou DK, Christian TR, Das TK, Patel M, Singh SN, Wen Y. EmergingChallenges and Innovations in Surfactant-mediated Stabilization of BiologicFormulations. J Pharm Sci. 2022 Apr;111(4):919-932. doi:10.1016/j.xphs.2021.12.002. Epub 2021 Dec 6. PMID: 34883096
4)Martos A, Koch W, Jiskoot W, Wuchner K, Winter G, Friess W, Hawe A. Trendson Analytical Characterization of Polysorbates and Their Degradation Productsin Biopharmaceutical Formulations. J Pharm Sci. 2017 Jul;106(7):1722-1735. doi:10.1016/j.xphs.2017.03.001. Epub 2017 Mar 14. PMID: 28302541.
5)Grapentin C, Müller C, Kishore RSK, Adler M, ElBialy I, Friess W, HuwylerJ, Khan TA. Protein-Polydimethylsiloxane Particles in Liquid Vial MonoclonalAntibody Formulations Containing Poloxamer 188. J Pharm Sci. 2020Aug;109(8):2393-2404. doi: 10.1016/j.xphs.2020.03.010. Epub 2020 Mar 16. PMID:32194095.
6)Brovč EV, Mravljak J, Šink R, Pajk S. Degradation of polysorbates 20 and 80catalysed by histidine chloride buffer. Eur J Pharm Biopharm. 2020 Sep;154:236-245.doi: 10.1016/j.ejpb.2020.07.010. Epub 2020 Jul 18. PMID: 32693155.
7) Wang T, Markham A, Thomas SJ, Wang N, Huang L, Clemens M, Rajagopalan N.Solution Stability of Poloxamer 188 Under Stress Conditions. J Pharm Sci. 2019Mar;108(3):1264-1271. doi: 10.1016/j.xphs.2018.10.057. Epub 2018 Nov 9. PMID:30419275