最佳睡眠时间出炉:每晚睡7小时,晚上10-11点入睡,或最有益健康
转自:药渡
工作、学习、生活中的种种压力带给我们最明显的问题就是睡眠障碍,据世界卫生组织(WHO)的统计,全球睡眠障碍率达27%,而在中国,成年人失眠发生率高达38.2%,六成以上90后觉得睡眠不足。
我们都知道,人体有一个24小时的随昼夜节律变化的生物钟,生物钟调控着我们的身心健康。之前有研究表明,睡得太少或太多会扰乱生物钟,而睡得太早或睡得太晚,同样会扰乱生物钟,从而影响健康。
因此,健康所需的最佳睡眠时间,既要合适的睡眠时长,又要在合适的时间点入睡。
首先,一天睡多长时间更健康呢?
2022年4月28日,复旦大学类脑智能科学与技术研究院冯建峰教授/程炜青年研究员团队在 Nature 子刊 Nature Aging 期刊发表了题为:The brain structure and genetic mechanisms underlying the nonlinear association between sleep duration, cognition and mental health 的研究论文【1】。
该研究利用大数据分析方法对近50万人的基因、影像、行为等多维度数据开展了研究。该研究首次系统刻画了中老年人睡眠时长认知功能、精神健康等多维度表型之间的非线性关系,并发现该关系背后的遗传与神经基础,为指导中老年人健康睡眠、促进中老年人认知与精神健康提供科学依据。
该研究表明,7小时是中年及以上人群的理想睡眠时间,睡眠过多或过少与较差的认知能力和心理健康有关。
2021年9月3日,《美国医学会杂志》(JAMA)子刊 JAMA Ntework Open 上发表了一篇题为:Association of Sleep Duration With All- and Major-Cause Mortality Among Adults in Japan, China, Singapore, and Korea 的研究论文【2】。
该研究调查了日本、中国、新加坡和韩国的322721名成年参与者的睡眠时长与死亡风险之间的关联。研究结果显示,不论男女,7小时睡眠时长是与全因死亡风险、心血管疾病风险和其他原因死亡风险相关的最低点。当睡眠时间少于不足7小时或超过7小时,均与全因死亡风险增加有关。
睡眠时长与男性全因死亡风险(图A)和心血管疾病风险(图B)之间的关联
睡眠时长与女性全因死亡风险(图A)和心血管疾病风险(图B)之间的关联
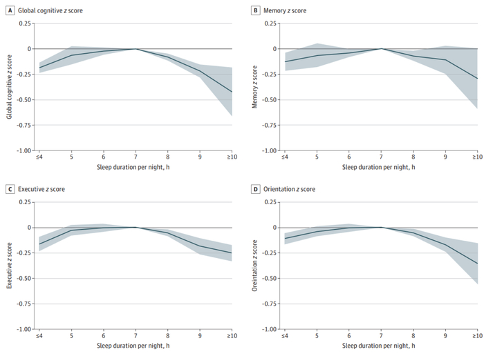
2020年9月21日,北京大学第一医院和首都医科大学附属北京朝阳医院的研究人员在《美国医学会杂志》(JAMA)子刊 JAMA Ntework Open 上发表了一篇题为:Association Between Sleep Duration and Cognitive Decline 的研究论文【3】。
该研究发现,睡眠时长与认知下降速度的关系呈倒U形曲线,与睡眠时长为7小时的参与者相比,每晚睡眠时长≤4小时或≥10小时者不但基线认知得分显著较低,而且在后续随访期间的认知得分下降速度也显著更快。
这些结果表明,睡得太少或太多都与认知水平下降有关,而每天睡眠7小时或是更理想的睡眠时长。
每晚睡眠时长与认知能力之间的关联
此外,还有许多研究揭示了睡眠时长与健康的关联,例如,2021年2月,哈佛大学医学院的研究人员在 Aging 期刊发表的一项研究显示【4】,睡眠障碍和睡眠不足与痴呆症和全因死亡风险增加有关,那些每天睡眠时间不足5小时者,患痴呆症和全因死亡风险增加了一倍以上。2020年10月,首尔大学的研究人员在 Journal of the American Society of Nephrology 期刊发表的一项研究显示【5】,与中等睡眠时间(每天6-8小时)相比,短睡眠时间(每天<6小时)或长睡眠时间(每天≥9小时)与慢性肾病患病率较高相关。
接下来,一天什么时间入睡更健康呢?
2021年11月9日,英国Huma医疗公司的研究人员在欧洲心脏病学会(ESC)旗下期刊 European Heart Journal-Digital Health 上发表了题为:Accelerometer-derived sleep onset timing and cardiovascular disease incidence: a UK Biobank cohort study 的研究论文【6】。
这项大规模研究表明,晚上10点到11点睡觉与更低的心脏病风险有关。
该研究包括2006年至2010年期间在英国生物样本库(UK Biobank)招募的88026名参与者,他们年龄在43-79岁之间,平均年龄为61岁,女性占58%。研究团队通过让参与者佩戴腕戴式加速度计收集他们7天内入睡和醒来的时间,并对参与者进行了生活方式、健康状况、身体评估等调查。然后他们接受了心血管疾病的诊断,包括心脏病、心力衰竭、慢性缺血性心脏病、中风及短暂性脑缺血。
研究团队在调整了年龄、性别、睡眠时间、睡眠不规律(没有固定的入睡和醒来时间)、自我报告的睡眠类型(早起或夜猫子)、吸烟、体重指数、糖尿病、血压、血胆固醇和社会经济状况等情况后,分析了睡眠时间点与心血管疾病之间的关系。
在之后平均为5.7年的随访期间,有3172名参与者(3.6%)患上了心血管疾病。其中,睡眠时间在午夜或更晚的参与者的心血管疾病发病率最高,而在晚上10点-11点入睡的人心血管疾病发病率最低。进一步性别分析显示,女性的入睡时间与心血管风险增加的相关性更强。
具体来说,与晚上10-11点入睡相比,在晚上12点或之后入睡的人患心血管疾病的风险高出25%,在晚上11-12点之间入睡的风险高出12%,而在晚上10点之前入睡的人患心血管疾病的风险高出24%。
许多熬夜导致睡眠不足的人会选择在白天小睡,试图弥补前一天晚上睡眠不足的伤害。但这真的有效吗?
2021年6月22日,美国匹茨堡大学和密歇根州立大学的研究人员在 Sleep 期刊发表了题为:Slow-wave sleep during a brief nap is related to reduced cognitive deficits during sleep deprivation 的研究论文【7】。
这项研究发现,晚上熬夜,白天小睡并没有减轻睡眠剥夺带来的认知伤害。这一结果强调了睡眠时间点的重要性,提醒了我们晚上熬夜,试图通过白天小睡的方式来弥补,实际上并不可行。
上述研究的研究对象都是成年人,而对于年轻人或青少年而言,睡眠时间同样重要。
2021年10月26日,美国哈佛医学院、波士顿儿童医院的研究人员在 Cerebral Cortex Communications 期刊上发表了一篇题为:Shorter Duration and Lower Quality Sleep Have Widespread Detrimental Effects on Developing Functional Brain Networks in Early Adolescence 的研究论文【8】。
该研究表明,睡眠不足对发育中的青少年大脑绝对是毁灭性的伤害,并可能导致日后的记忆、注意力和情绪问题。
睡眠对于人类而言显然非常重要,之前的研究显示,当我们睡眠期间时,大脑中的血管会以特定的模式收缩和扩张,这可能是清除大脑有害废物的关键机制之一【9】。还有研究显示,我们在清醒状态下,DNA损伤会在神经元中积累并增加睡眠压力,而在睡眠期间,细胞内进行了有效的DNA修复,也就是说大脑需要睡眠来促进DNA修复活动【10】。
上述这些研究提示我们,每天睡眠7小时、每晚10-11点入睡,或许是最佳睡眠时间。那么,如何获得更好的睡眠质量呢?
2022年3月14日,美国西北大学范伯格医学院的研究团队在《美国国家科学院院刊》(PNAS)发表了题为:Light exposure during sleep impairs cardiometabolic function 的研究论文【11】。
这项研究结果表明,睡眠期间暴露于中等室内光照下仅一晚就会损害血糖和心血管调节,从而增加心脏病、糖尿病和代谢综合征风险。这提示了我们,夜晚睡眠期间避免或尽量减少光照量非常重要。
2023年5月22日,哈佛大学医学院的研究人员在国际顶尖学术期刊 Cell 上发表了题为:A gut-secreted peptide suppresses arousability from sleep 的研究论文【12】。
该研究发现,当饮食富含蛋白质时,睡眠中的果蝇和小鼠对机械振动的反应能得到更好的抑制,获得更好的睡眠质量。该研究进一步揭示了背后的机制——肠道中较高浓度的蛋白质促进肠内分泌细胞释放神经肽CCHa1,CCHa1向大脑中的一小群多巴胺神经元发出信号,降低它们对振动的反应。此外,CCHa1通路和饮食蛋白质不影响对所有感官输入的反应,这表明在睡眠期间,不同的信息流可以通过独立的机制被控制。
而在人类中也观察到了类似的结果:通过饮食摄入高蛋白质可以抑制感官反应,促进深度睡眠。
1. https://www.nature.com/articles/s43587-022-00210-2
2. https://jamanetwork.com/journals/jamanetworkopen/fullarticle/2783717
3. https://jamanetwork.com/journals/jamanetworkopen/fullarticle/2770743
4. https://www.aging-us.com/article/202591
5. https://doi.org/10.1681/ASN.2020050666
6. https://doi.org/10.1093/ehjdh/ztab088
7. https://doi.org/10.1093/sleep/zsab152
8. https://doi.org/10.1093/texcom/tgab062
9. https://www.nature.com/articles/s41467-023-36643-5
10. https://doi.org/10.1016/j.molcel.2021.10.026
11. https://www.pnas.org/doi/full/10.1073/pnas.2113290119
12. https://doi.org/10.1016/j.cell.2023.02.022