新浪财经 股票

一文理清单糖、二糖、多糖的关系

市场资讯 2023.07.19 06:01

转自:药事纵横

不能水解成更小分子的多羟基醛或多羟基酮叫单糖,如葡萄糖、果糖、半乳糖、甘露糖等;

二糖:能水解成两、三或几个分子单糖的碳水化合物叫低聚糖,其中最重要的是二糖,如蔗糖、麦芽糖、纤维二糖、乳糖等;

多糖:水解后能产生较多个分子单糖的碳水化合物叫多糖,如淀粉、纤维素。

立体化学:在介绍单糖、二糖、多糖之前,我们先来了解立体化学,凡分子式相同,构造式也相同的分子,只是因为原子在空间排列不同而产生的异构体,称为立体异构体;两个分子彼此为镜像关系(物和像的关系,彼此不能重合)的立体异构体,称为对映异构体(旋光异构体);凡与自身的镜像不能重合的分子是具有手性的分子,称为手性分子,手性分子都存在对映异构体。手性分子具有旋光性,而非手性分子则不具有旋光性,当偏振光通过某些液体物质或某些物质的溶液时,需将原来的振动平面旋转一定角度后才能通过,即偏振光出来时将在另一个平面上振动。这种能使偏振光振动平面旋转的物质,称为旋光性物质。凡使偏振光左旋的称为左旋体,使偏振光右旋的称为右旋体。如果等量的左旋体和右旋体相混合,它们各自对偏振光的影响就相互抵消,因而对偏振光就没有影响了,这种等量对映体的混合物称为外消旋体。

构型的标记法:DL标记法,利用Fischer投影式表示(+-甘油醛一对对映体的构型时,把含碳原子的基放在竖立的方向,醛基在上边,羟甲基在下边,羟基在手性碳原子的右边,氢原子在左边,这种构型被定为D型,他的对映体则被定为L型。在既要表明构型又要标出旋光性时,则同时用DL表示构型和(+),(-)表示旋光性。

单糖

单糖构型的确定是以甘油醛为标准。凡由D-+-甘油醛经过增碳反应转变成的醛糖称为D型,由L---甘油醛经过增碳反应转变成的醛糖称为L型。另外,单糖的构型还可通过与甘油醛对比来确定。即单糖分子中距羰基最远的手性碳原子与D-+-甘油醛的手性碳原子构型相同时,称为D型;与L---甘油醛构型相同时,称为L型。

单糖中甘露糖、葡萄糖、半乳糖、果糖的开链式结构见下图:

实际上单糖是以五或六元环状半缩醛的形式存在,主要以δ-氧环式存在,即δ-碳原子(C5)上的羟基与醛基作用生成了环状半缩醛。葡萄糖、果糖由开链式到氧环式的演变过程见下图:

对比开链式和环氧式可以看出,环氧式比开链式多一个手性碳原子,所以有两种异构体存在,这个手性碳原子(半缩醛的碳原子)叫苷原子,它所连接的羟基(半缩醛的羟基)叫苷羟基。其中苷羟基与C5上的羟甲基处在环的异侧者叫α-D-+-葡萄糖,处于同侧者叫β-D-+-葡萄糖。

又如,D---果糖也具有开链式和环氧式结构,在水溶液中,开链式和环氧式处于动态平衡,游离的D---果糖具有δ-环氧式结构,称为D---吡喃果糖。而蔗糖的果糖则是γ-环氧式结构,称为D---呋喃果糖。

单糖的化学性质:氧化、还原、脎的生苷的生成、醚的生成、酯的生成。其中还原糖与氨基化合物(如蛋白质、肽、胺、氨和氨基酸)会发生Maillard反应。

在美拉德反应中,参与反应的糖可以是双糖、五碳糖和六碳糖。参与反应的双糖有乳糖、麦芽糖、纤维二糖;五碳糖有木糖、核糖和阿拉伯糖;六碳糖有葡萄糖、果糖、甘露糖、半乳糖等。反应的速度为五碳糖> 己醛糖 > 己酮糖 > 双糖。

二糖

二糖是一个单糖分子中的苷羟基和另一个单糖分子中的苷羟基或醇羟基之间脱水后的缩合物。最常见的二糖有蔗糖、麦芽糖、乳糖等。

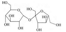
蔗糖是一分子葡萄糖和一分子果糖的缩水产物。蔗糖是由葡萄糖和果糖的羟苷基之间缩水而成的二糖。故其分子中没有苷羟基,蔗糖不是还原糖,不会与氨基化合物发生Maillard反应。其结构式见下图:

β-D-呋喃果糖基-α-D-吡喃葡萄糖苷(蔗糖)

乳糖是一分子吡喃半乳糖的苷羟基与另一分子葡萄糖C4上的羟基缩水而成,由于葡萄糖还存在苷羟基,故有α-β-两种异头物,故乳糖分为α-乳糖和β-乳糖。由于其为还原糖,故其会与氨基化合物发生Maillard反应。具体结构式见下图。

4-O-β-D-吡喃半乳糖基-α-D-葡萄糖(α-乳糖)

4-O-β-D-吡喃半乳糖基-β-D-葡萄糖(β-乳糖)

麦芽糖是一分子葡萄糖的苷羟基与另一分子葡萄糖C4上的羟基缩水而成,由于另一分子葡萄糖还存在苷羟基(其相连的苷羟基称为α-14苷键),故有α-β-两种异头物,由于其为还原糖,故其会与氨基化合物发生Maillard反应。其具体结构式见下图。

4-O-α-D-吡喃葡萄糖基-β-D-吡喃葡萄糖(麦芽糖)

4-O-α-D-吡喃葡萄糖基-α-D-吡喃葡萄糖(麦芽糖)

异麦芽糖是两个D-+-葡萄糖单位通过α-16-苷键链接而成。

纤维二糖是一分子葡萄糖的苷羟基与另一分子葡萄糖C4上的羟基缩水而成,由于另一分子葡萄糖还存在苷羟基(其相连的苷羟基称为β-14苷键),由于其为还原糖,故其会与氨基化合物发生Maillard反应。其具体结构式见下图。

4-O-β-D-吡喃葡萄糖基-β-D-吡喃葡萄糖(β-纤维二糖)

多糖

淀粉水解得到麦芽糖和异麦芽糖,水解的最终产物是D-+-葡萄糖。其分为直链淀粉和支链淀粉,直链淀粉是葡萄糖单位通过α-14苷键连接而成;支链淀粉是葡萄糖单位通过α-14苷键及α-16苷键连接而成。虽然淀粉分子的末端含有苷羟基,但因相对分子质量很大,其还原性极不显著。

纤维素水解得到纤维二糖,纤维素是葡萄糖单位通过β-14苷键连接而成。虽然纤维素分子的末端含有苷羟基,但因相对分子质量很大,其还原性极不显著。

加载中...