2023上半年FDA批准肿瘤药物分析
转自:药时代
肿瘤药物是每年FDA批准的新分子实体(NMEs)药物中的重要部分。
2023上半年,FDA共批准了26款新分子实体药物,其中针对肿瘤的共有6款(包括诊断试剂flotufolastat F 18,表1),占据了23%的份额。
表1 2023年上半年肿瘤学新化学实体药物(诊断试剂)一览表
除了表1中展示的新分子实体药物与诊断试剂之外,2023年上半年FDA还批准了很多肿瘤适应症扩展以及加速审批后的完全批准。
一、扩大B细胞恶性肿瘤靶向治疗组合
分子靶向疗法的发展极大地改善了B细胞恶性肿瘤患者的治疗,包括布鲁顿酪氨酸激酶(BTK)抑制剂,阻断参与恶性B细胞存活的BTK酶的功能。第一个BTK抑制剂ibrutinib(Imbruvica)于2013年获得批准,随后又有其他抑制剂相继问世。
Zanubrutinib(适应症扩展)
今年1月19日,BTK抑制剂zanubrutinib(Brukinsa,图1)首次批准用于治疗慢性淋巴细胞白血病(CLL)和小淋巴细胞淋巴瘤(SLL)。
Zanubrutinib是新一代BTK抑制剂,与以前的BTK抑制剂相比,具有更高的疗效和更好的安全性。在治疗复发或难治性CLL和SLL领域,zanubrutinib的效力优于ibrutinib。
图1 Zanubrutinib化学结构
Pirtobrutinib(新分子实体)
1月27日,另一种BTK抑制剂Pirtobrutinib(Jaypirca,图2)获得加速批准,用于治疗在先前治疗线(包括其他BTK抑制剂)后进展的MCL(套细胞淋巴瘤)成年患者。
Pirtobrutinib是唯一FDA批准的可逆BTK抑制剂,这意味着它不会与BTK酶不可逆地形成共价键。由于可能诱导BTK结合位点的突变,不可逆的BTK抑制剂可能产生耐药性,因此它们不能持续性地用于治疗。
Pirtobrutinib可以在BTK突变的情况下仍然保持活性,可以在现有BTK抑制剂治疗后的疾病进展情况下使用。
图2 Pirtobrutinib化学结构
二、靶向结直肠癌中的HER2
Tucatinib(适应症扩展)
1月19日,FDA批准加速批准tucatinib(Tukysa),用于化疗后进展的某些不可切除或转移性结直肠癌患者,这些患者群体通常治疗选择有限。
图3 Tucatinib化学结构
三、激素受体阳性乳腺癌
Elacestrant(新化学实体)
激素疗法被用作ER阳性乳腺癌的治疗方法,以抑制雌激素的产生或阻止其对癌细胞的影响。1月27日,elacestrant(Orserdu,图4)被批准用于某些局部晚期或转移性ER阳性HER2阴性乳腺癌患者。
Elacestrant属于选择性ER降解剂(SERDs)的激素治疗药物,通过引起受体降解来阻断ER信号传导。
在elacestrant获批之前,fulvestrant(Faslodex)是唯一获批的SERD,这意味着fulvestrant治疗无效的患者丧失了治疗选择。与只能肌内注射的fulvestrant不同,elacestrant可以口服给药。
图4 Elacestrant化学结构
Sacituzumab govitecan-hziy(适应症扩展)
2月3日,FDA批准sacituzumab govitecan-hziy(Trodelvy)用于局部晚期或转移性激素受体(HR)阳性,HER2阴性乳腺癌患者,这些乳腺癌无法手术切除并且已经接受了先期治疗。该批准扩展了2020年批准sacituzumab govitecan-hziy治疗转移性三阴性乳腺癌。
Abemaciclib(适应症扩展)
3月3日,abemaciclib(Verzenio,图5)被批准与内分泌治疗联合用于HR阳性,HER2阴性,手术后疾病复发风险高的早期乳腺癌患者。Abemaciclib是一种靶向疗法,可抑制两种细胞周期调节蛋白CDK4和CDK6的功能。
图5 Ademaciclib化学结构
四、肺癌、子宫癌和皮肤癌的免疫疗法
免疫检查点抑制剂(ICIs)帮助T细胞对抗癌症,已成为许多癌症类型护理标准的一部分。
Pembrolizumab(适应症扩展)
1月26日,FDA批准pembrolizumab(Keytruda)用于手术和铂类化疗后NSCLC(非小细胞肺癌)的辅助治疗。Pembrolizumab是继2021年获批的atezolizumab之后,第二种获批用于该适应症的免疫检查点抑制剂。
dostarlimab-gxly(加速批准后完全批准)
2月9日,FDA发布了免疫检查点抑制剂dostarlimab-gxly(Jemperli)对某些复发性或晚期子宫内膜癌患者的全面批准,这些患者的肿瘤具有称为错配修复缺陷(dMMR)的DNA修复缺陷,使他们更有可能对ICI产生反应。Dostarlimab-gxly在2021年获得了对该患者群体的加速批准。
retifanlimab-dlwr(新分子实体)
3月22日,FDA加速批准一种新的ICI:retifanlimab-dlwr(Zynyz),用于治疗转移性或复发性局部晚期Merkel细胞癌的成年患者,这是一种罕见但侵袭性的非黑色素瘤类型的皮肤癌,有复发和转移的高风险。
FDA的这个批准扩大了用于治疗Merkel细胞癌的ICI产品组合,其中包括avelumab(Bavencio)和pembrolizumab。
五、儿童脑癌的新疗法
Dabrafenib/trametinib(适应症扩展)
3月16日,FDA批准dabrafenib(Tafinlar)与trametinib(Mekinist)联合用于1岁或以上的低级别胶质瘤(最常见的小儿脑癌类型)的儿科患者。该批准标志着那些需要全身治疗且肿瘤中含有BRAF基因特定突变(V600E),并且与化疗和放疗反应不佳的患者,从此拥有了第一个靶向治疗选择。
Dabrafenib和trametinib是分子靶向疗法,分别阻断BRAF和MEK信号蛋白的活性,以关闭通常在BRAF突变肿瘤中激活的信号通路。该组合先前已批准用于6岁及以上患有BRAF V600E突变的不可切除或转移性实体瘤(包括低级别胶质瘤)的患者,这些患者在先前治疗后出现病情进展。
图6 Dabrafenib和Trametinib化学结构
六、ADC
enfortumab vedotin-ejfv/pembrolizumab(适应症扩展)
4月,enfortumab vedotin-ejfv(Padcev)与pembrolizumab(Keytruda)联合疗法被批准作为局部晚期或转移性膀胱癌的一线治疗。Enfortumab vedotin-ejfv由抗体(结合膀胱癌细胞上nectin-4蛋白)和MMAE细胞毒素组成。
Enfortumab vedotin-ejfv先前被批准作为单一疗法,用于既往接受过治疗的局部晚期或转移性膀胱癌患者。2023年的批准将该药物的使用范围扩大到未接受任何治疗的患者,其中许多人不符合一线标准化疗的条件,并将其与免疫疗法相结合。将Enfortumab vedotin-ejfv与pembrolizumab联合使用可能会增强抗肿瘤免疫反应。
polatuzumab vedotin-piiq/R-CHP
4月,polatuzumab vedotin-piiq(Polivy)与类固醇和化疗方案(通常称为R-CHP)的联合疗法获批,针对某些弥漫性大B细胞淋巴瘤或高级别B细胞淋巴瘤(HGBCL)患者的一线治疗。
七、BiTEs
除了将有毒药物引导到癌细胞外,抗体还可用于将细胞毒性免疫细胞引至癌细胞。双特异性T细胞接合剂(BiTEs),就是这样可以同时结合两种蛋白质(一种在癌细胞上,另一种在T细胞上)的抗体,将T细胞引至癌细胞并将其消灭。
2023年第二季度,FDA加速批准了两个BiTE,治疗某些复发或难治性B细胞淋巴瘤患者。
Epcoritamab-bysp(新分子实体)
5月19日,FDA批准了epcoritamab-bysp(Epkinly)用于治疗既往至少接受过两线全身治疗的复发或难治性DLBCL-NOS(弥漫性大B细胞淋巴瘤)或HGBCL(高级别B细胞淋巴瘤)患者。Epcoritamab-bysp是一种BiTE,可结合T细胞上的CD3受体和恶性B细胞上的CD20。这是第一个获得FDA批准的DLBCL或HGBCL的BiTE。
glofitamab-gxbm(新分子实体)
6月15日,FDA加速批准了glofitamab-gxbm(Columvi),用于治疗由滤泡性淋巴瘤引起的复发或难治性DLBCL-NOS或大B细胞淋巴瘤(LBCL)患者,这些患者既往接受过两线或更多线全身治疗。与epcoritamab-bysp一样,glofitamab-gxbm是一种BiTE,可结合T细胞上的CD3受体和恶性B细胞上的CD20。
Blinatumomab(加速批准后完全批准)
6月,blinatumomab(Blincyto)获得完全批准,用于治疗CD19阳性B细胞前体急性淋巴细胞白血病(B-ALL)成人和儿童患者。Blinatumomab是一种BiTE,可结合白血病细胞上的CD19和T细胞上的CD3受体。
八、转移性去势抵抗性前列腺癌患者PARP抑制剂
转移性去势抵抗性前列腺癌(mCRPC)患者的典型治疗包括雄激素阻断治疗或化疗,但大多数患者通过这些治疗存活不到三年。某些在雄激素阻断治疗下mCRPC进展的患者,可以通过使用PARP蛋白抑制剂进行治疗,PARP蛋白调节雄激素受体的活性并参与DNA修复。
FDA在2023年第二季度批准了两项PARP抑制与雄激素阻断的联合疗法,从而将PARP抑制提升到早期治疗线上。
Olaparib/abiraterone
5月,FDA批准了Olaparib(Lynparza)与abiraterone(Zytiga)(图7)和皮质类固醇联合用于携带BRCA基因突变的mCRPC患者。
图7 Olaparib与abiraterone化学结构
Talazoparib/enzalutamide
6月,FDA批准了talazoparib(Talzenna)与enzalutamide(Xtandi)(图8)联合用于携带BRCA基因或者其它参与同源重组的基因突变的mCRPC患者。
图8 Talazoparib与enzalutamide化学结构
九、肿瘤学诊断试剂
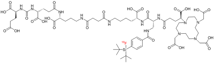
除了肿瘤学治疗剂外,FDA还在2023年上半年批准了一款肿瘤学诊断试剂:Posluma(flotufolastat F 18,图9)是一种18F标记的配体,也是一种成像剂,用于在PET(正电子发射断层扫描)检测和定位前列腺癌。Flotufolastat F-18与前列腺癌细胞上表达的前列腺特异性膜抗原(PSMA)结合(IC50=4.4 nM)。
图9 Flotufolastat F 18化学结构
总结
2023上半年FDA批准的新分子实体药物中,肿瘤学产品(6款)占据了将近四分之一的比例。
从适应症的角度看,这些新肿瘤药物针对B细胞淋巴癌、乳腺癌、前列腺癌,以及皮肤癌,还包括一款针对前列腺癌的正电子发射断层扫描成像诊断试剂;从模态角度来看,这些肿瘤学新药以及诊断试剂,涵盖了小分子(2款)、抗体(3款:1款ICI和2款BiTE),以及拟肽(flotufolastat F 18)。
相信随着医药创新研发能力持续提升,肿瘤药物领域将产生更多惊喜,真正造福肿瘤患者。
参考文献:
FDA Approvals in Oncology:April-June 2023.American Association for Cancer Research.30.06.2023.
FDA Approvals in Oncology:January-March 2023.American Association for Cancer Research.07.04.2023.