顶刊鉴析 | 不同种类HBV RNA预测停药后临床复发
转自:仁度生物
经研究证实,在血清中所能够检测到的HBV RNA主要为3.5kb长的pgRNA,目前并未有大量研究揭示不同靶点区域的HBV RNA是否在检出率或是临床使用中存在差异。南方医科大学南方医院发表在Antiviral Research上的一篇研究显示,在停药队列中,S区HBV RNA的检出率最高;在ETV治疗队列中,不同区段的RNA区别并不显著,而在预测停药后的临床复发当中,不同区段的RNA并无太大差别,但都优于HBV DNA。
方法:该研究回顾性分析了三组没有接受或停止NAs治疗的非肝硬化CHB患者。
ETV队列
纳入 78名初治、HBeAg阳性、接受恩替卡韦(ETV)单药治疗的CHB患者,并且从2015年5月到2018年9月在南方医院肝病科完成了为期2年的治疗随访,收集基线和第6个月的血清样本,检测血清 HBV RNA 水平。
STOP队列1
纳入127名患者,来自一系列持续 7 年的试验,其中包括 2 年的随机试验对照试验(EFFORT 1研究),延长3年试验(EFFORT 2研究)及其2年进一步延长试验(EFFORT3)。入组患者一共包括599例初治HBeAg阳性CHB患者接受替比夫定的抗病毒治疗长达 7 年。从第三年开始,130名患者符合停止标准,定义为达到HBeAg血清转换和HBV DNA<300拷贝/毫升,持续至少48周,建议他们停止治疗并监测复发情况。
STOP队列2
STOP 队列 1 的主要限制是使用非一线药物(替比夫定)。因此,该研究对STOP队列2进行了单独的验证分析,招募了61名来自另一项前瞻性试验、并且使用恩替卡韦或替诺福韦停药的患者。
对以上三个队列患者的血清HBV RNA检测使用双靶点(靶向HBV RNA的5'和3'端,[DT-RNA])和三个单靶点(靶向HBV RNA [PolyA-RNA]的S区[S-RNA],X-区[X-RNA]和polyA尾部)(图1),以预测治疗结果。
图1:用于HBV RNA定量检测的双靶标和单靶标检测的扩增子位置
注释:全长 pgRNA 和 3′末端截短的 pgRNA 显示为实线或虚线曲线。红色粗体曲线代表血清HBV RNA的扩增子检测。
结果显示,在两个STOP队列中,S-RNA的阳性率最高(队列1为68.5%,队列2为60.7%),而PolyA-RNA的含量最低一个(队列 1 和队列 2 分别为 11.0% 和 8.2%,图 2)。但是在ETV治疗队列当中,未治疗和已治疗 6 个月的患者群体中,DT-RNA、S-RNA 和 X-RNA 的区别并不显著(平均数分别为6.1、6.0和5.7 log10 copies/ml, p > 0.05)。
图2:不同检测方法定量血清HBV RNA水平以及ETV和STOP队列中的血清HBV DNA水平
注释:来自ETV和两个STOP队列的CHB患者的DT-RNA,S-RNA,X-RNA,PolyA-RNA和HBV DNA的阳性率。“Untreated”和“Treated(6 month)”代表血清HBV RNA/DNA水平在ETV队列中,未治疗和接受治疗的患者在基线和6个月时的阳性率。
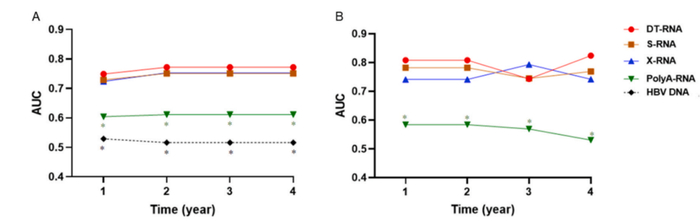
研究进一步显示,就预测临床复发率而言,DT-RNA、S-RNA和X-RNA在不同时间点的AUC值较为类似,但都优于HBV DNA(图3)。
图3:HBV RNA预测治疗结束后的临床复发比例
注释:AUC用于STOP队列1的临床复发(A)以及STOP队列2的临床复发(B)。缩写:AUC,曲线下面积。*标记物和DT-RNA之间的差异是有统计学意义(P < 0.05)。
在STOP队列1种,DT-RNA的AUC,用于预测临床复发第1年、第2年、第3年和第4年分别为0.749、0.772、0.772和0.772,与 S-RNA 相似(0.729、0.751、0.751 和 0.751分别为第 1 年、第 2 年、第 3 年和第 4 年)和 X-RNA(0.724、0.753、0.753 和 0.753分别为第 1、2、3 和 4 年),但明显高于所有时间点的HBV DNA的预测值。而STOP队列2当中也是类似的情况。
若继续研究不同种类的RNA与累计复发率的关系,数据显示,高水平的HBV RNA的患者在4年累积复发率也会更高(图4)。
图4:STOP队列1治疗结束时不同HBV RNA状态的患者的累积临床复发率
在STOP队列-1中,在停药时HBV RNA阴性的患者,在随访第 4 年的临床复发率显著低于HBV RNA 呈阳性(DT-RNA,12.0% vs 49.9%;S-RNA,12.9% vs. 40.1%;X-RNA,14.6% vs 41.4%;PolyA-RNA,26.3% vs 75.4%,所有的 P值均小于 0.05。
小结:
在停药队列中,S区HBV RNA的检出率最高;在ETV治疗队列中,不同区段的RNA区别并不显著,而在预测停药后的临床复发当中,不同区段的RNA并无太大差别,但都优于HBV DNA。高水平的HBV RNA水平伴随较高的停药后累积复发率。
仁度生物自主研发的乙型肝炎病毒核酸测定试剂盒,以其独特的检测技术、高灵敏性和高特异性等特点率先获准上市。区别于传统的PCR技术,本试剂盒采用独特的SAT技术,即RNA实时荧光恒温扩增扩增技术,能对RNA分子进行直接扩增和定量,不受样本中的HBV DNA干扰,无需DNA酶处理,检测下限低至50 copies/mL,搭载AutoSAT全自动平台,消除手工操作误差、节约实验室人力物力,为乙肝患者保驾护航。
全程监测更安心,直接定量更精准