喜报|诺泰生物注射用比伐芦定喜获中国上市许可
转自:诺泰生物
2023年6月12日,江苏诺泰澳赛诺生物制药股份有限公司(简称“诺泰生物”)收到了国家药品监督管理局签发的注射用比伐芦定《药品注册证书》。注射用比伐芦定是公司自主研发的第5个获批的制剂产品。诺泰生物是国内通过或视同通过注射用比伐芦定一致性评价的药品上市许可持有人之一。此次注射用比伐芦定的获批,标志着公司具备了在中国销售注射用比伐芦定的资格,同时进一步丰富了公司的制剂产品线。
喜
报
独特的药理作用
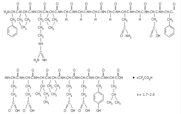
图1:注射用比伐芦定活性成分结构1
从结构上看,比伐芦定属于一类人工合成的水蛭素的衍生物,特异性结合循环及血块中的凝血酶催化位点和阴离子结合性外位点,直接抑制凝血酶。
图2:比伐芦定的抗凝机制2
凝血酶是一种丝氨酸蛋白酶,在凝血过程中起关键作用,可切割纤维蛋白原,使其成为纤维蛋白单体,并激活凝血因子XIII,使其转变为凝血因子XIIIa,从而使纤维蛋白形成共价交联的丝网,可稳定血栓。凝血酶还能激活凝血因子V和VIII,进一步促使产生凝血酶,并将激活血小板,刺激产生凝集作用并释放颗粒。比伐芦定与凝血酶结合是可逆的,因为凝血酶可缓慢切割比伐芦定-Arg3-Pro4键,导致凝血酶活性位点功能恢复。
在体外研究中,比伐芦定不仅能抑制游离的凝血酶,还能抑制与凝血块结合的凝血酶,且不会被血小板释放反应产物中和,能够延长正常人血浆的活化部分凝血活酶时间(aPTT)、凝血酶时间(TT)和凝血酶原时间(PT)。
相较于肝素,比伐芦定发挥作用时因为不需要与抗凝血酶Ⅲ结合,不引起血小板Ⅳ因子的抵抗。以冠心病抗凝为例,肝素使用会影响患者的正常凝血功能,除了会导致出血外,还会导致血小板减少等严重问题,但比伐芦定不会带来这些隐患。
充分的临床询证依据3
在非ST段抬高型ACS患者中的应用情况
随机化、开放标签试验 ACUITY 研究共纳入了13800 例非 ST 段抬高的 ACS 患者,试验的主要临床终点是比较各组患者 30d 内复合性心脑血管不良事件(心因性死亡、再发心肌梗死)和主要安全性终点(出血事件发生率及输血率)情况。
结果显示,单用比伐芦定在 30d 内的复合性不良事件发生率相比于肝素和 GPI 的联用组无显著性差异(P=0.33),而出血的风险却下降47%(分别为10.2%、11.6%,P<0.05);此外,在另外一项 REPLACE-2 研究中,结果显示无论是否合并肾功能不全的患者,使用比伐芦定的患者出血发生率显著降低 41.0%。
在ST段抬高型ACS患者中的应用情况
HORIZONS-AMI 试验则是一个前瞻性、开放及随机试验,共纳入了3602例接受 PCI术的急性ST段抬高型心肌梗死(STEMI)患者,接受 PCI 术的 STEMI 患者在给予比伐芦定单药治疗后,30d 及1年的大出血以及不良反应事件均显著降低,在2010年公布的3年随访结果表明,接受肝素+GPI治疗患者其严重出血率明显降低(分别为6.9%、10.5%,P<0.01),并且,组内心因性死亡率(P<0.01)和再发心肌梗死率(P=0.03)均更低。
稳定及不稳定型心绞痛
ISAR-REACT-3 试验纳入了 4570 例因稳定及不稳定心绞痛接受 PCI 的患者,结果表明比伐芦定组与肝素组对比显著减少了出血风险,而在净临床受益方面则无显著差异。
用药指南推荐
比伐芦定创新机制突破传统抗凝血药物局限性-特异性的直接凝血酶抑制,直接作用于凝血酶II因子,即刻起效,半衰期短,不会诱导激活血小板,平衡抗凝和出血关系。因此,被国内指南推荐用于PCI(Percutaneous Coronary Intervention, 经皮冠状动脉介入治疗)围术期抗凝。
图3:比伐芦定国内用药指南推荐
备注1:结构摘自美国FDA网站原研说明书
备注2:图片摘自成都军区昆明总医院郭瑞威教授的PPT
备注3:摘自复星健康医生端周济宇
撰稿人:胡荣荣
关于诺泰生物
诺泰生物(股票代码:688076)是一家聚焦多肽药物及小分子化药自主研发与定制研发生产相结合的产研销一体企业。公司总部设在浙江省杭州市,2个生产基地分别设在江苏连云港和浙江建德,研究院下属的3个研发中心分别位于杭州和连云港。
公司深耕多肽类药物10余年,经过多年研发积累,多肽原料药已在CDE登记备案或美国FDA进行DMF/VMF 登记备案,包括司美格鲁肽、比伐芦定、依替巴肽、胸腺法新、利拉鲁肽、醋酸兰瑞肽、醋酸奥曲肽、醋酸西曲瑞克等多个品种,其中部分品种为全球首仿的独家原料药供应商。
另外,公司制剂产品中注射用胸腺法新、苯甲酸阿格列汀片、依替巴肽注射液、磷酸奥司他韦胶囊已取得注册批件,其中注射用胸腺法新中标第五批国家组织药品集中采购,磷酸奥司他韦胶囊中标第七批国家组织药品集中采购。