新浪财经 股票

一篇文章全面了解ADC

市场资讯 2023.04.29 07:31

转自:药渡

前言

抗体偶联药物(ADC)是由靶向特异性抗原的单克隆抗体与小分子细胞毒性药物通过连接子链接而成,兼具传统小分子化疗的强大杀伤效应及抗体药物的肿瘤靶向性。ADC由三个主要部分组成:负责选择性识别癌细胞表面抗原的抗体,负责杀死癌细胞的药物有效载荷,以及连接抗体和有效载荷的连接子。

ADC对抗原的识别导致ADC通过内吞途径进入细胞内,通过溶酶体降解后,有效载荷以生物活性形式释放并发挥作用,导致癌细胞死亡。细胞内有效载荷的数量由每个细胞表面抗原的数量、每个ADC的药物有效载荷分子的数量(也称为药物抗体比率,DAR)以及抗原返回细胞表面所需的时间决定。有效载荷可能在癌细胞死亡和降解后逃逸,也可能从胞浆中透膜而出。这种释放的后果可能是有益的(也称为旁观者效应),也可能是有害的,导致全身毒性。

2009年gemtuzumab ozogamicin(Mylotarg) 是美国食品和药物管理局(FDA)批准的第一个ADC药物。目前,FDA已经批准上市了14个ADC药物,还有上百个ADC药物正处于临床研究阶段。

2009年,卡利霉素、金盏花素和美登素类药物是用于ADC开发的主要细胞毒素。十年来,这些分子仍然被用作有效载荷进行优化,以获得更好的稳定性和亲水性。新的细胞毒性物质也被开发出来,如PBDs、杜卡霉素和喜树碱衍生物等。

抗体工程在10年间也已经取得了相当大的进展,允许更多的位点特异性偶联,提高了ADC的均一性和稳定性。新的第二代和第三代ADC已经进入临床,以期获得更好的治疗效果和安全性。几十种基于半胱氨酸残基、非天然氨基酸或分子工程模式的生物偶联技术也已经在临床前研究获得了验证。此外,更多的肿瘤特异性抗原靶点和肿瘤内细胞毒性药物的释放机制使ADC获得了爆炸式的发展,ADC药物进入了黄金时代。

ADC的有效载荷

1. 微管破坏药物

金盏花素

Auristatins是ADC中使用的重要有效载荷,最著名的家族成员MMAE存在于两种上市药物Adcetris和Polivy中。目前,超过10种以金盏花素(如MMAE)或一甲基金盏花素F(MMAF)为有效载荷的ADC正在进行临床试验。

上图描述了auristatine及其常用的连接位点。金盏花素的构效关系(SAR)已被广泛研究,主要集中在末端亚单位:P1(N-末端)和P5(C-末端),最常见的方法是在P1上引入氨基甲酸酯功能。

2015年,西雅图遗传学的研究人员将ADC有效载荷的范围扩大到包括叔胺,特别是N-二甲基auristatine,首次通过铵键将药物与单克隆抗体结合。所得ADCs在生理条件下稳定,体内外活性高,免疫特异性强。这些结果扩大了ADC可用于靶向给药的药物种类。

最近,Agensys公司通过调节中心亚基P2-P3-P4,将叠氮化物基团引入P2和P4亚基,在与蛋白酶可裂解的连接子偶联后,产生了在体外和体内效力提高的亲水性衍生物,这为连接子的连接提供了新途径。

一般来说,在同时含有胺和醇反应的auristatin中,首选的连接点是胺通过氨基甲酸酯键偶联。西雅图遗传学开发了一种新的策略,将含醇的有效载荷与亚甲基烷氧基氨基甲酸酯(MAC)偶联。为了稳定MAC键,碱性基团和吸电子基团都靠近氨基键,结果表明,该偶联物在生理条件下是稳定的,具有很高的效价,并且在体内外都具有免疫特异性。

此外,乌普萨拉大学的研究人员还开发了AZASTATIN,作为一类新的强有力的auristatin衍生物,包含一个中心胺侧链的抗体结合位点。他们的研究结果证实,这些auristatin衍生物是一类新的细胞毒性有效载荷,适合ADC开发。

美登素衍生物(DM2,DM4)

美坦辛是一种非常有效的微管组装抑制剂,可诱导细胞的有丝分裂停止。但是这种结构很难共轭,因为它没有反应性官能团,为了克服这个问题,一系列含有SMe基团的非常有效的衍生物被创造出来。这一类分子的第一个例子是DM1和DM4,它们带有甲硫丙酰基而不是天然N-乙酰基。

从有效载荷DM1和DM4中,通过使用二硫键与连接子偶联。稳定的二硫键连接子在血液循环中表现出良好的稳定性,同时在细胞内保持有效的分裂。

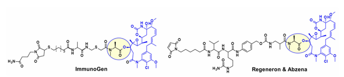
此外,几种基于maytansine的ADC利用相同的二级羟基作为附着点,并在大多数情况下携带转谷氨酰胺酶生物结合的连接子。例如,一种基于Daratumumab的ADC被证明能向CD38过度表达的癌细胞特异性地传递DM4。最近ImmunoGen开发了一种新型的ADC,它包含一种含硫的maytansinoid,通过一种高度稳定的三肽连接体连接到抗体上,附着点与上述羟基相同。与先前的美登素ADC相比,增加连接物中亚甲基单元的数量增加了旁观者杀伤活性,并提高了小鼠体内的疗效。在类似的方法中,保持核心大环不变,Regeneron和Abzena的研究人员研究了N-甲基丙氨酸氮取代的影响,也改变了大环上侧链的长度,以及通过伯胺和仲胺连接的连接子。

微管溶素

Tubulysins是微管聚合的有效抑制剂,可导致分裂细胞的细胞骨架迅速解体,并导致细胞凋亡。它们是一个天然存在的四肽家族,含有Mep、Ile、Tuv和Tut,R3=OH或Tup,R3=H。

利用Tubulysins作为ADC有效载荷,其广泛的附着点已被充分开发。这种结构中一个明显的附着点是Tut或Tup模块的羧酸,如Endocyte的EC1428,其中羧酸通过酰肼部分连接到连接子。Oncomatryx公司也采用了同样的方法,以同样的方式安装了可切割的PABAValCit马来酰亚胺连接子。

阿斯利康、百时美施贵宝和辉瑞使用的另一种方法依赖于Tup或Tut中苯环的衍生化。

连接子与Mep基团的连接也得到了广泛的研究。Ingenica研究人员报告说,去甲基Mep类似物保留了强大的细胞毒性活性,可被视为有价值的有效载荷,允许在仲胺上引入不可切割的马来酰亚胺己基连接子。

Oncomatryx的研究表明,当Mep被另一个拥有仲胺的基序取代时,通过氨基甲酸酯键引入可切割的连接体是产生ADC的有效途径。特别有趣的是,基因泰克关于通过季铵基团将连接子连接到含叔胺的有效载荷上。在有效载荷上引入mc-Val-Cit-PABA连接子导致更多亲水性结合物并改善了血液中的稳定性。西雅图遗传学也采用了同样的方法,通过过度表达葡萄糖醛酸,葡萄糖醛酸连接子也可以改善亲水性和选择性的细胞内切割通过癌细胞中过表达的β-葡萄糖醛酸酶。

隐粘菌素

隐粘菌素(Cryptomycins,CR)是一个具有抗肿瘤活性的六元大环二肽家族。已有的临床试验的结果表明,在达到治疗效果所需的剂量下,其毒性水平是不可接受的。

几个小组尝试将CR用于ADC,但是由于在CR中缺少偶联位点,目前,有两种不同的方法通过引入其它基团,使得能够连接ADC的连接子。一种是由基因泰克的研究人员将苯转化为苄胺以产生有效的有效载荷,这种有效载荷适合通过氨基甲酸酯键连接。在第二种方法中,四川大学的研究人员利用了隐霉素-52的前药形式(CR55),它可以在生理条件下重新环化为CR52。 

抗有丝分裂EG5抑制剂

纺锤体驱动蛋白(KSP,也称为Eg5或KIF11)是一种ATP依赖性运动蛋白,参与细胞周期中心体的分离。因此,用KSP抑制剂(KSPis)阻断有丝分裂中的这一重要事件可产生抗肿瘤效力。

拜耳发现了一个新的吡咯亚类的KSPis,他们研究了该分子不同位置与保持对KSP强亲和力的连接子的连接兼容性。

同样,诺华的研究人员使用含咪唑的KSP抑制剂作为Eg5 ADC。利用伯醇或仲酰胺部分,他们安装了带有马来酰亚胺端基的不可裂解连接子。当与靶向HER2和c-KIT的抗体偶联时,得到的ADC显示出优于Kadcyla的体内疗效。

2. DNA损伤药物

吡咯苯并氮卓类和吲哚氯苯并氮卓类

吡咯并[2,1-c][1,4]苯二氮杂卓(PBD)是一类具有抗肿瘤活性的天然产物。它们的作用方式是在DNA的小凹槽中进行选择性烷基化,其中鸟嘌呤的N2与PBD上的亲电N10/C11亚胺形成共价键。

西雅图遗传学使用SGD1882的苯胺作为附着点,模仿可切割连接子中常用的PAB单元,释放自由的PBD有效载荷。StemCentrx与Spirogen合作,利用PBD的N-10位置连接一个氨基甲酸酯的连接子。同样的氨基甲酸酯键也被Immunogen用于结构相似的吲哚氯苯偶氮卓二聚体(IBD)有效载荷。他们还报道了同一类IBD的不同方法,其中一个取代的苯环被用作两个IBD单体的C8/C8'位置之间的连接物。

以类似的方法,Spirogen和Genentech设计了一种碘苯连接的PBD,允许在过渡金属催化反应中引入不同的连接子。通过使用Sonogashira偶联、Buchwald–Hartwig偶联或叠氮化物-炔烃点击反应,分别获得炔烃、哌嗪或三唑连接的连接子有效载荷共轭物。

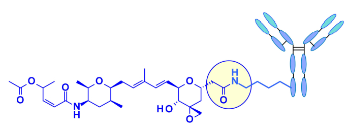
杜卡霉素

杜卡霉素是一种强大的细胞毒性物质,通过其高活性的环丙烷环与DNA的小凹槽结合,并在N3位置烷基化腺嘌呤。非环化的,卤甲基形式的杜卡霉素细胞毒性活性显著降低。由于分子中苯酚基团可作为内消旋体激活剂,从而形成亲电环丙烷,因此杜卡霉素ADC开发中的连接策略集中于酚官能团的连接子连接。

在Synthon开发的SYD985中,苯酚基团是通过双氨基甲酸酯连接连接子与Mc-val-cit-PABC有效载荷的位置。组织蛋白酶B裂解后,游离苯酚促进分子内重排成亲电环丙基形式。Medarex采用了一种不同的方法,通过分子非烷基化部分的芳香胺连接连接子,并用N-甲基哌嗪氨基甲酸酯部分掩蔽苯酚前药。在体内,苯酚将被释放,随后活性环丙烷将在羧酸酯酶的作用下形成。

喜树碱

喜树碱(CPT)及其衍生物是拓扑异构酶I抑制剂的经典例子。它们稳定了拓扑异构酶诱导的DNA单链断裂,当三元DNA-TOP1-抑制剂复合物遇到复制叉时,DNA发生双链断裂。天然喜树碱是一种五环结构,其极低的溶解性阻止了其作为癌症治疗药物的广泛应用。其水溶性前药伊立替康获得了转移性结直肠癌的上市许可。SN-38是伊立新坦的活性代谢物,通过人体肝脏羧酸酯酶的作用在体内生成,其可通过打开内酯环而失活。

Immunomedics建立了两种不同的策略,通过其羟基部分结合SN-38。在一个例子中,连接子通过反应性更强的C-10苯酚基团连接,从而产生稳定的氨基甲酸酯键,而在另一个例子中,通过C-20羟基,同时稳定内酯形式,而C-20羟基对体内效力至关重要。

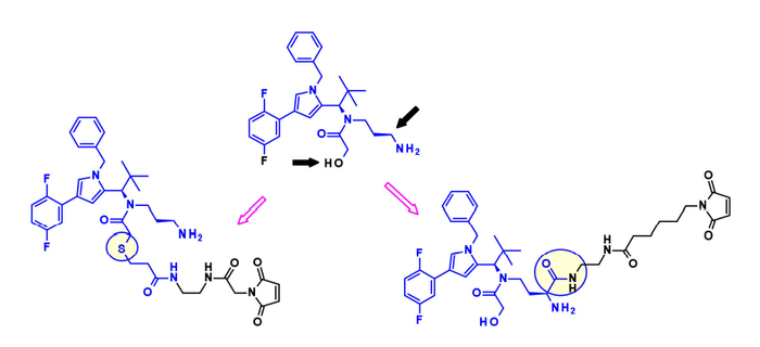
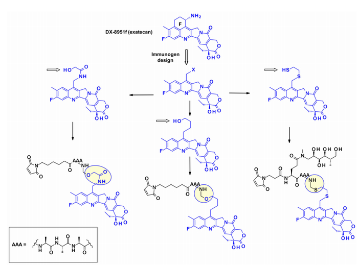
另一种适合ADC的非常有效的药物是依沙替康(DDX-8951f)。这种喜树碱类似物在其环己烷环上具有胺取代基,桥接7和9位。依沙替康的氨基有助于其水溶性,而环己烷环赋予的刚性被认为有利于活性内酯形式与非活性水解羟基酸的平衡。氨基羟基乙酰化生成DXd(1),而4-氨基丁酰化生成DXd(2),这两种化合物都保留了依沙替康的生物活性。

悬垂的羟基和氨基是明显的附着点,可使用酶可切割的Gly-Gly-Phe-Gly四肽连接子连接有效载荷。与抗HER2抗体偶联产生的ADC在临床环境中显示出对抗HER2表达癌症的巨大潜力。

DXd的环己胺环虽然被认为稳定了生物活性内酯形式,但它携带了一个手性中心,使合成工作和SAR研究复杂化。为了克服这一困难,Immunogen的研究人员研究了一组新的喜树碱类似物,这些类似物能够与单抗偶联。并且在这里,这个环被打开,额外的手性中心被消除。从一种常见的中间产物开始,研究人员尝试了三种类型的结构,并随后使用不同的聚苯胺连接子连接有效载荷。当与抗人表皮生长因子受体(HuEGFR)的抗体偶联时,产生的ADC对EGFR阳性的HSC-2肿瘤异种移植模型有效。

卡奇霉素

卡奇霉素是一类被广泛研究的烯二炔类抗生素,其结构和作用机制特别有趣和复杂,使其成为ADC有效载荷领域的一类抗生素。在ADC中连接calicheamicin的策略以市场上的adc Mylotarg为例,还有Besponsa。

有效载荷的释放分两步进行:在酸性细胞内环境中对腙进行敏感的裂解,然后通过细胞内谷胱甘肽还原二硫键。释放的硫醇发生分子内1,4-加成的烯酮触发伯格曼环化反应,产生一个二自由基。这种活性中间体能够从脱氧核糖骨架中提取氢原子,产生双链DNA断裂,进而导致细胞死亡。

最近,从不列颠哥伦比亚地衣中发现的链霉菌中分离出一种新的烯二炔类天然产物,称为uncialamycin。这种结构通过全合成得到证实,从那时起,一些高效的合成类似物被制备成ADC的潜在有效载荷。

BMS的研究人员表明,由于在各种肽偶联条件下反应活性较低,因此,Uncialamycin的仲胺不是一个合适的连接点。研究人员合成了一种类似物,其中一个氨基直接引入到芳香环上,但这种苯胺的反应性也太弱,不能作为连接子引入的基团。另一方面,使用氨基乙基延伸物安装脂肪族胺,为连接子提供了合适的连接点。

从后一个有效载荷中,他们使用蛋白酶可切割的二肽和不可切割的连接子制备前体。CD70-ADC具有可切割连接体,对肾癌细胞株具有高度特异性的细胞毒活性,而相应的不可切割ADC在同一细胞株上不具有活性。

最近,为了继续这项工作,BMS的研究人员在设计的、高效的、化学稳定的uncialamycin类似物中使用苯酚基作为附着点。使用新开发的苯酚烷基化,在有效载荷的苯酚基团上添加了一个经典的可裂解连接子。将产生的有效载荷与抗体偶联,其在体外和体内均显示抗原特异性抗肿瘤活性。

3. 创新药物

凋亡诱导剂(Bcl-xL抑制剂)

抗凋亡Bcl-2家族成员(包括Bcl-xL)的过度表达是癌细胞获得凋亡抵抗的机制之一。能够阻断Bcl-xL上BH3结合域的药物可以触发癌细胞凋亡。2017年,AbbVie首次以ADC的形式展示了BcL-xL抑制剂的有效载荷,其靶向表达EGFR的特定细胞或组织。有趣的是,研究人员在有效载荷上使用了三个不同的连接点来连接可切割的连接子。氨基烷基延伸的核心修饰用于在需要时建立合适的连接位点。

泰兰司他丁及其类似物

靶向剪接体是一种参与mRNA加工的大型核糖核蛋白复合物,为靶向癌症治疗提供了一种有希望的治疗选择。有几种天然产物能够通过与不同的剪接体亚单位结合来抑制RNA剪接。最具代表性的是thailanstatin A,它可以与剪接体的SF3b亚单位结合,从而阻止RNA剪接。

Thailanstatin A缺乏一个适合连接连接子的基团。为了解决这个问题,将羧酸与乙二胺偶联以引入含有胺的间隔基,该间隔基通常用于连接子的安装。

将这种天然产物用于ADC的另一个困难是存在多种反应性功能。例如,中心核中的二烯可以通过Diels–Alder反应与用于生物结合的马来酰亚胺部分反应。这个问题是通过使用另一个共轭部分,卤代乙酰胺来解决的。结合这两种修饰并包含可切割连接子的ADC首次在专利文献中报道,并且声称它们在几个表达HER2的细胞系中具有适度的活性。

最近,辉瑞报告说,羧酸直接与抗体的有效表面赖氨酸(无连接子偶联)结合导致迄今为止最有效的Thailanstatin ADC。这些赖氨酸偶联物的活性与药物负载有关,而其他有效载荷类通常没有观察到这种特性。ADCs在胃癌异种移植模型中显示出良好的作用。

鹅膏毒素

在ADC技术领域,使用类似amatoxins的转录抑制剂是一种相对较新的方法。九种天然存在的amatoxin衍生物具有相同的骨架结构,一个由八个L-构型氨基酸组成的大环,通过亚砜部分连接在色氨酸和半胱氨酸残基之间。amatoxins的三个侧链是羟基化的,OH基团具有良好的水溶性并与目标分子结合。两种肽,α-鹅膏糖蛋白和β-鹅膏毒素,占所有毒素的90%。

在amatoxins上共使用过三个附着点产生ADC。第一次尝试是将β-鹅膏毒素的羧基偶联到IgG上赖氨酸的氨基,这种连接具有良好的血浆稳定性和高细胞毒性,但这种生物偶联的产率很低。二氢异亮氨酸的羟基也被认为是一个连接点,引入谷胱甘肽作为连接子,然后通过赖氨酸结合,可获得体外细胞毒性和体内抗肿瘤活性优异的ADC,但不幸的是,由于血清羧酸酯酶裂解连接子,导致其循环稳定性差。第三种方法,附着于色氨酸的6-羟基代表了目前的标准程序,苯酚与各种连接子的醚化导致了高度稳定和有效的ADC。由于鹅膏毒素其它氨基酸要么不具化学活性,要么是与RNA聚合酶II结合的关键,因此不能将其它的鹅膏毒素氨基酸(即羟脯氨酸、甘氨酸、异亮氨酸和半胱氨酸)用于偶联。

基于amanitin的代表性的ADC为HDP-101。有效载荷本身是一种合成的金刚烷醇衍生物,优化了稳定性。与天然天麻素相比,两个差异是色氨酸中没有6′-OH,硫醚链取代亚砜。通过天冬氨酸侧链上酰胺的形成,引入组织蛋白酶B-裂解连接子。

最近,Park及其合作者为含苯酚的有效载荷设计了一种新的连接基序(OHPAS)。它是一种二芳基硫酸盐,一个芳基部分来自有效载荷,另一个来自连接基序的潜在苯酚基团。将该技术应用于曲妥珠单抗ADC中的a-鹅膏毒素,在体外和体内表现出强大的细胞毒性。

烟酰胺磷酸核糖转移酶

烟酰胺磷酸核糖基转移酶(NAMPT)是一种负责将烟酰胺转化为烟酰胺单核苷酸的酶,其抑制剂在各种临床前和临床研究中显示出有效性,但其临床应用受到靶向毒性和剂量限制性毒性的限制,如血小板减少和胃肠道不良反应。

诺华公司的研究人员在NAMPT抑制剂有效载荷中的苯环对位中引入哌嗪部分,确定了合适的连接子附着点。这种分子在c-Kit和HER2表达细胞系上表现出纳摩尔水平的效力,并且耐受性良好,在体内表现出靶向依赖性。

卡马霉素

从库拉索菌中分离得到两种新的蛋白酶抑制剂,卡马霉素A和卡马霉素B。两者都具有亮氨酸衍生的α,β-环氧酮弹头直接连接到甲硫氨酸亚砜或甲硫氨酸砜。他们被发现能抑制酿酒酵母20S蛋白酶β5亚单位活性(糜蛋白酶样活性)。此外,它们对肺癌和结肠癌细胞株具有很强的细胞毒性。

然而,由于它们的高效价,它们的选择性较差,经常表现出毒副作用。因此,剧毒的卡马霉素衍生物适合作为ADC的弹头,可以保持所需的效力,并获得更好的耐受性。所设计的类似物均在P2位置并入砜甲硫氨酸衍生物(如卡马霉素B),而不是卡马霉素A中的亚砜甲硫氨酸,因为这消除了亚砜基立体异构体混合物产生的结构复杂性。

第一代类似物在P4末端含有胺基,不幸的是,这个附着点并不合适,因为有效载荷显示细胞毒性活性降低。第二代卡马霉素类似物在P2侧链上含有一个胺基,当短乙基氨基链延伸磺酰基时,效果最好。在第三代类似物中,芳基连接砜和胺,因此降低了它的碱性。第二代和第三代有效载荷都显示出强大的体外活性,并用可切割或不可切割的连接子连接。不幸的是,没有一种ADC对受试癌细胞系表现出比曲妥珠单抗更高的细胞杀伤能力。

连接子

连接子不仅是抗体与小分子有效载荷之间形成共价连接的分子部分,而且是靶向药物治疗中具有设计性质的关键元件。连接子的加入不应诱导聚集,并且需要确保可接受的PK特性,同时限制有效载荷在血浆中的过早释放(稳定性),并使活性分子在靶向作用位点有效释放。连接子分为两类:不可切割型和可切割型。

1. 不可切割连接子

基于不可切割的连接子的ADC必须被内化,抗体部分需要被溶酶体蛋白酶降解以释放活性分子。在ADC开发过程中已经探索了许多不可切割的连接子,最具代表性的是N-琥珀酰亚胺基-4-(N-马来酰亚胺甲基)环己烷-1-羧酸盐(SMCC),Kadcyla就是使用的此类型连接子。

这种结构的分解代谢导致Lys-SMC-DM1成为主要的肿瘤代谢物。此外,与这种连接子相连的药物通常不能发挥旁观者效应,因为释放的分解代谢产物通透性较差。目前的研究主要集中在可切割的连接子上。

使用可切割连接子对于具内化和不具内化ADC的设计同样可行,因为释放是由切割位点(溶酶体和/或肿瘤环境)的性质触发的。连接子可以分为两大类:酶依赖性和化学(即非酶)依赖性。

2. 化学依赖性连接子

含有二硫键的连接子受到硫醇的亲核攻击以释放活性载荷。尽管血浆中人血清白蛋白(HSA)的还原形式就是最丰富的硫醇,但它对大分子的反应性很差。胞浆中还含有高水平的谷胱甘肽(GSH),这是一种含有巯基的三肽,很容易与S-亲核蛋白发生反应。血液(微摩尔范围)和细胞质(毫摩尔范围)中GSH浓度的差异以及癌细胞引起的氧化应激有助于药物在癌细胞内的优先释放。含有二硫键的连接子主要与maytansinoid类有效载荷相关。二硫键的反应性可由空间位阻调节:α-甲基替换显著影响还原速率和对硫醇-二硫键交换的抗性,如SAR-3419的连接子通过偕二甲基替换获得SPDB-DM4最佳的抗肿瘤活性。

腙连接子显示出依赖于pH的稳定性,在中性pH下稳定,并在酸性介质中水解(内体的pH),形成相应的酮和肼。

该方法已成功应用于IMMU-110,包含一个可裂解酰基腙连接子,由4-马来酰亚胺甲基环己烷-1-羧酸盐(MCC)的酰肼与阿霉素中存在的酮基反应中形成。

腙连接体也经常用于卡利霉素家族的有效载荷,在这种情况下,释放是由两步活化过程触发的:第一步酸敏感腙被水解,第二步二硫键被GSH还原,使巯基中间体环化。这种连接子已经在上市的Mylotarg和Besponsa中使用,但是它们在血浆中的稳定性不如预期,也不如其他可切割连接子吸引人。

3. 酶依赖性连接子

为了限制有效载荷在内化前的释放,从而防止或最小化目标细胞外的降解,溶酶体的蛋白质组分成为寻找能够降解ADC并以高浓度存在的酶的合理场所。

组织蛋白酶-B

组织蛋白酶B是一种半胱氨酸蛋白酶,存在于哺乳动物的晚期内体和溶酶体中,在许多癌细胞中也过度表达。最初,一种可切割的二肽作为组织蛋白酶B的底物用作阿霉素前药,这项工作建立了SAR的二肽部分:P1位置需要亲水性残基(瓜氨酸或精氨酸),而P2位置的亲脂性残基增强血浆稳定性(苯丙氨酸、缬氨酸或丙氨酸)。

此外,还引入了一个自降解间隔子来促进酶的进入,从而限制了有效载荷的空间位阻:对氨基苄基氨基甲酸酯(PABA)在酸性介质中自发1,6-消除,释放二氧化碳、对氮杂醌甲酰胺和阿霉素。最终,这一发现从前药转移到ADC领域,证明了Val-Cit和Phe-Lys二肽连接子的抗原驱动的细胞活性。

Val-Cit二肽是ADCs中最常用的可裂解连接子,目前有多达25个分子处于临床阶段,可能是因为其整体良好的血浆稳定性、释放行为和化学可牵引性。两个已获批的ADC药物(Adcetris和Polivy) 都使用了相同的连接子mc-VC-PABC,其中包含马来酰亚胺基间隔子、作为组织蛋白酶底物的标准Val Cit二肽序列和PABC自降解间隔子。

Val-Ala二肽也被广泛应用,有7个分子处于临床阶段,进展最快的是Loncastuximab tesirine,其包括一个聚乙二醇化间隔子,以平衡属于PBD二聚体家族的有效载荷SG3199的亲脂性。

研究表明,由于沉淀和聚集,Val-Cit很难实现高DAR。相反,Val-Ala连接子允许DAR高达7.4,且聚集有限()。与Val-Cit相比,Val-Ala的疏水性较低,这解释了为什么这种连接子在亲脂性的有效载荷(如PBD二聚体)方面表现卓越,7个临床候选ADC的Val-Ala连接子都连接PBD。

一些研究将Val-Cit和Val-Ala二肽结构与MMAE的有效载荷连接进行了比较。在非内化抗体的情况下,结合到工程化半胱氨酸的Val-Cit和Val-Ala连接子都表现出类似的特征,并且比Val-Lys和Val-Arg类似物表现出更好的性能。在使用随机半胱氨酸结合的抗Her2 ADC的情况下,与Val-Cit相比,Val-Ala在高DAR结构中显示出较少的聚集性。另一方面,两种连接子显示出相似的缓冲稳定性、组织蛋白酶B释放效率、细胞活性和组织病理学特征。

四肽Gly-Gly-Phe-Gly显示出稳定和有效的可切割连接子的所有特性,已上市的ADC药物Enhertu使用了此类连接子。第一三共的Enhertu是一种血浆稳定的ADC,DAR为7.7,在溶酶体中发生蛋白酶降解,释放DX-8951f,这是一种有效的拓扑异构酶I抑制剂,来源于exatecan。由于连接子不含增溶剂,达到如此高的DAR是非常可观的,因为它与广泛确立的原理相矛盾,即高DAR结合物可能具有较差的药代动力学特征。这里使用的自降解间隔子是简单和紧凑的半胺化,而不是Val-Cit连接子使用的PABC。

磷酸酶和焦磷酸酶

与组织蛋白酶一样,焦磷酸酶和磷酸酶也是在溶酶体中选择性表达的水解酶。2016年,默克公司的研究人员设计了含有磷酸和焦磷酸的连接子与组织蛋白酶B敏感的Val-Cit-PABA搭配,旨在传递糖皮质激素:磷酸盐/焦磷酸盐部分结合在自降解间隔子PABA和有效载荷之间。内化后,有效载荷可通过组织蛋白酶B、自降解间隔子和磷酸酶(n=1)的顺序释放。对于焦磷酸酯(n=2),可能需要另一个涉及焦磷酸酶的步骤。

这种亲水性和永久性带电基团的优点是溶解性,不仅能够与亲脂性糖皮质激素衍生物进行生物偶联,而且促进ADC纯化, ADC中的残余连接子少于0.10%。含有磷酸和焦磷酸的ADC在体外都具有活性。

默克公司的同一组研究人员还开发了一种独特的基于焦磷酸酶的连接子,用于释放含羟基有效载荷地塞米松和丙酸氟替卡松。

此外,羟基附着点的性质对有效释放至关重要。地塞米松的伯醇效果良好,而更受阻的氟替卡松的仲醇需要一个缩醛间隔子,从而实现可接受的释放。两种ADC在体外均表现出良好的稳定性,对肿瘤细胞系具有较强的活性。

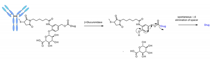
β-葡萄糖醛酸酶

β-葡萄糖醛酸酶是一类糖苷酶,催化β-葡萄糖醛酸残基的水解,它在溶酶体和肿瘤间质中高表达。西雅图遗传学的研究人员于2006年发表了一项开创性的工作,抗CD70 ADC使用了含葡萄糖醛酸的连接子,葡萄糖醛酸附着在自降解间隔子上。这种连接子表现出低水平的聚集、高血浆稳定性、以及强大的体内功效。

该连接子还通过一个额外的二甲基乙二胺(DMED)自降解间隔子应用于其他含胺的有效载荷,如喜树碱类似物、SN38、杜卡霉素和苦参碱。释放顺序从水解β-葡萄糖醛酸到自降解间隔子,DMED的另一个环化反应自发发生,形成1,3-二甲基咪唑啉-2-酮,并最终释放含羟基药物。由于连接子的亲水性,与组织蛋白酶敏感连接子相比,该技术使ADC的DAR=8制备更为容易。

β-半乳糖苷酶

最近报道了一种使用β-半乳糖苷酶裂解连接子的ADC,其中包含PEG10间隔子。间隔子被硝基取代,以提高自降解速率。类比β-葡萄糖醛酸酶连接子,其解离机制涉及水解β-半乳糖苷酶部分,它赋予化学前体亲水性。另一个优势是β-半乳糖苷酶仅存在于溶酶体中,而β-葡萄糖醛酸酶在溶酶体中表达,也在实体瘤的微环境中表达。研究证明,在抗HER2-ADCs释放MMAE的背景下,含β-半乳糖苷酶连接子的 ADC在体外和体内均比T-DM1更为有效。

硫酸酯酶

最近,出现了硫酸酯酶裂解的连接子,硫酸酯酶在几种癌症类型中过度表达,表现出潜在的选择性。研究涉及以MMAE为有效载荷的抗Her2抗体,与经典的可切割Val-Cit和Val-Ala连接子相比,硫酸酯酶连接子对Her2+细胞系显示出相似的效力。

生物偶联技术

1. 基于化学的特异性原位抗体修饰

单克隆抗体的天然结构为生物偶联提供了多种可能性,基于化学的、特异性的天然(非工程)抗体偶联具有一些优点。它可以避免抗体特定位点突变的复杂性,以及在细胞培养的放大和优化方面可能面临的挑战。

偶联位点根据抗体序列,赖氨酸、组氨酸、酪氨酸和半胱氨酸等内源性氨基酸在二硫键间的连接位点非常具有吸引力。所有经FDA批准的ADC,直到2021年,都利用这些内源性氨基酸进行偶联。然而,抗体支架还包含聚糖,这是在单克隆抗体生产过程中,FC区域的翻译后修饰所导致的。一些研究报告了糖工程化的新策略,这似乎是一种有趣的生物偶联替代方法。

与内源性氨基酸的偶联

最常见的偶联方法之一是利用抗体的赖氨酸残基,氨基酸亲核NH2基团与利克有效载荷上亲电的N-羟基琥珀酰亚胺(NHS)基团发生反应。尽管反应简单,但可利用赖氨酸残基的高丰度导致了许多ADC在随机分布下的不均匀混合物的形成。DAR受药物/抗体化学计量比的控制,该方法得到广泛应用,包括已获批的ADC,如Besponsa, Mylotarg, 和Kadcyla。

最近,同样也报道了对赖氨酸位点和残基的特异性修饰。通过计算机辅助设计,磺酰丙烯酸酯被用作中间试剂,用于在天然蛋白质序列上对单个赖氨酸残基进行修饰。

反应的区域选择性归咎于磺酰丙烯酸酯的设计以及每个赖氨酸周围独特的局部微环境。通过计算预测,pKa最低的赖氨酸容易以位点特异性的方式在弱碱性pH下优先反应。即使在其他亲核残基如半胱氨酸存在的情况下也观察到了这种反应。该技术已应用于5种不同的蛋白质和曲妥珠单抗,在偶联后均保留了原有的二级结构和蛋白质功能。

2018年,Rai等人报告了另一种利用“化学关键蛋白”的可逆分子间反应进行的位点特异性修饰。该试剂携带多种官能团,这些官能团在所有可获得的赖氨酸残基上可逆地形成亚胺部分。然后,关键蛋白通过试剂中的环氧化物与近端组氨酸残基反应。因此,在生理条件下,关键蛋白从赖氨酸中分离,醛被再生,从而能够通过肟结合标记抗体。

这种关键蛋白的定向修饰技术后来发展成单赖氨酸残基标记技术,即使在存在N-末端胺的情况下也具有毋庸置疑的选择性。方法的成功依赖于Fk1-间隔子-Fk2试剂。

Fk1官能团与赖氨酸可逆反应,调节Fk2近端赖氨酸部分的微环境。然后通过酰胺键在Fk2处的赖氨酸残基(K169和K395)进行偶联,间隔子的设计调节偶联的位置。该方法已成功应用于ADC(trastuzumab-emtansine)的合成,证明其细胞活性与已获批准的Kadcyla相当。 

Merlul等人最近报道了一种不同的结合策略,有效地靶向天然抗体上的组氨酸残基。他们引入了一种基于阳离子有机金属铂(II)的连接子,[乙二胺铂(II)]2+,图中表示为Lx。

这种技术基于络合和偶联两个步骤。氮杂环配体如哌啶与Lx配位形成络合物前体,稳定的中间体包含有效载荷和配体上的一个氯离子。该复合物含有带正电荷的Pt(II)中心,这提高了连接子和有效载荷复合物的水溶性并最小化抗体聚集,该方法还扩展到类似的碘络合物。在最近的一份报告中,碘化钠的使用被证明可以显著提高该技术的偶联产率和选择性。Cl-Lx-药物载荷络合物上残留的氯配基与碘化物的交换生成更具活性的I-Lx-药物载荷,从而获得更高的偶联产率。这项技术已被应用于ADC药物的大规模生产。

二硫化物重桥接策略

IgG抗体包含四个链间二硫键,两个连接轻链和重链,两个位于连接两条重链的铰链区,它们维持着单克隆抗体的完整性。另一个经典的生物偶联途径探索了这些半胱氨酸作为有效载荷连接点的作用。四个二硫键的还原通常会产生八个巯基,它们能够与马来酰亚胺的连接子反应,从而产生DAR为8的ADC。

Doronina及其同事报告了嵌合抗CD30单克隆抗体偶联MMAE,DAR=8的 ADC实例。与经典的赖氨酸偶联相比,这种有效载荷加载方式得到了更好的控制。然而,据报道,较高的药物负荷会增加聚集的风险,从而导致高血浆清除率,并降低体内疗效。

Badescu和al在2014年报告了一种新的位点特异性重桥接偶联策略,他们是第一个证明新的双砜(bis-sulfone)能够烷基化来自抗体和抗体片段中还原二硫键的两个巯基,对抗原结合的影响最小。后来,Wang和al描述了一种新的水溶性烯丙砜(allyl sulfone),该试剂在没有原位活化的情况下提高了反应活性。它表现出高稳定性、高水溶性和位点特异性。

此外,还有巯基炔与末端炔烃和环辛炔生物偶联的再桥接技术,其进一步发展出新一代马来酰亚胺,如二溴-(DBM)和二硫代马来酰亚胺(DTM),用于位点特异性偶联。这些马来酰亚胺类似物在第3位和第4位含有良好的脱离基团,从而实现快速、高效和高产率的偶联。最近报道了结合二溴和二硫代马来酰亚胺性质的杂化硫代溴马来酰亚胺(TBM),这种TBM试剂结合更快,显示出更高的DAR=4的百分比,这可能是由于溴减少了空间位阻。

2015年,Chudasama等人引入了一类新的重桥接试剂,二溴吡啶二酮(dibromopyridazinediones)。他们证明了它能有效地插入到二硫键中,得到的结构即使在高温下也表现出了极好的水解稳定性。然而,随着还原步骤上的温度升高,也观察到不均一性,这种结构也允许选择性地引入不同的功能基团。

二乙烯基嘧啶(Divinylpyrimidine)是另一种有效的重桥接试剂,能够产生稳定的DAR=4的ADC。Spring等人研究了乙烯基杂芳基支架对半胱氨酸再桥接的作用,他们认为用嘧啶取代吡啶可以使杂芳环成为更好的电子受体,从而提高交联效率。他们的工作扩展到二乙烯基三嗪,在高温下,重桥接显示出更高的效率。

为了避免与经典马来酰亚胺偶联相关的体内不稳定性的缺点,Barbas等人研究了甲基磺酰基苯基恶二唑,该试剂对半胱氨酸具有特异性反应。与血浆中的半胱氨酸-马来酰亚胺偶联物相比,他们的稳定性更高。受此启发,Zeglis设计了DiPODS试剂,该试剂含有两个通过苯基连接的恶二唑基甲基砜部分, DiPODS以重桥接的方式与两个硫酸根形成共价键。与马来酰亚胺偶联相比,以这种方式偶联具有优越的体外稳定性和体内性能。

聚糖偶联

由于IgG是一种糖蛋白,它在Fc片段每个重链的CH2结构域N297位置包含一个N-聚糖,这种糖基化可以作为连接有效载荷的附着点。多糖与Fab区域间远距离定位降低了在偶联后损害抗体的抗原结合能力的风险,此外,与抗体的肽链相比,它们的化学组成不同,允许位点特异性修饰,使它们成为合适的偶联位点。

聚糖生物偶联可根据用于靶向碳水化合物的技术来区分:包括聚糖代谢工程化、聚糖氧化后的糖转移酶处理、内糖苷酶和转移酶处理后的酮或叠氮化物标记。

Neri等人报道了在IgG抗体的N-糖基化位点处岩藻糖的位点特异性修饰。这种糖含有一个顺式二醇部分,适合选择性氧化。他们用偏高碘酸钠氧化岩藻糖残基,生成一个能够与含联氨的连接子反应的醛基,这样,抗体通过腙键与药物相连。

Senter及其同事向细胞培养基中添加硫基类似物,通过代谢将6-硫代岩藻糖带入抗体修饰。他们认为,取代是通过劫持岩藻糖基化途径来完成的,这样就引入了化学位点来实现位点特异性结合。与经典半胱氨酸偶联物相比,这种方法显著降低了异质性水平,并产生具有更可预测的药动学和药效学特性的偶联物。

重组IgG中很少含有唾液酸,然而,已经证明,利用半乳糖基和唾液酸转移酶可以酶法改造甘氨酸。通过酶反应添加半乳糖以获得G2聚糖,然后添加末端唾液酸。这种修饰通过高碘酸氧化生成醛基,可以偶联带羟胺基团的连接子-有效载荷。所得的偶联物具有较高的靶向选择性,体内抗肿瘤活性良好。高碘酸还可氧化蛋氨酸等敏感氨基酸,影响与FcRn的结合。

除这些偶联策略外,半乳糖残基也可以作为修饰位点。多项研究报告了通过使用突变的β- 1,4-半乳糖转移酶,将半乳糖替换为一种含酮或叠氮官能团的半乳糖,这种具有双正交官能团的半乳糖衍生物为高效偶联开辟了途径。这些技术已被开发用于成像和抗癌应用。

从化脓性链球菌中发现的内糖苷酶EndoS和EndoS2,这些酶能够水解IgG的N-聚糖,从而使水解后的残基成为生物偶联的有效位点。这种方法有助于使单抗的聚糖结构均匀化,同时它也适用于任何IgG亚型。此类方法应用于trastuzumab-maytansine,制备出具有良好体外和体内药效的糖偶联ADC。

2. 工程化抗体的位点特异性生物偶联

生物正交化学和蛋白质工程领域的进展有助于产生更均匀的ADC。尽管在天然单抗上有许多可用的附着方法可供选择,但在工程化抗体上的位点特异性生物偶联能够更有效地控制DAR,并且避免改变与抗原结合的亲和力。这样,在某些位置加入天然或非天然氨基酸,得到具有优良药代动力学和药效学特征的同质产品。

酶法

有效载荷的附着可以通过在抗体序列中插入特定的氨基酸标签以非常有选择性的方式实现。这些标签被特定的酶所识别,例如甲酰甘氨酸生成酶(FGE)、微生物谷氨酰胺转胺酶(MTG)、转肽酶或酪氨酸酶,从而能够执行位点特异性偶联。

Aaron等人探索了一种新的利用醛标记蛋白质的位点特异性偶联。该技术利用了基因编码的五肽序列(Cys-X-Pro-X-Arg),其中半胱氨酸残基被FGE识别,并在细胞中蛋白质表达期间被共翻译氧化为甲酰甘氨酸。这样,工程化抗体通过HIPS(hydrazino-Pictet–Spengler)化学方法与醛特异性连接子选择性偶联。

微生物转谷氨酰胺酶(MTGase)策略也经常被开发用于定位特异性偶联。MTGase催化在脱糖抗体295位置的谷氨酰胺侧链与底物的伯胺之间形成肽键。与其他酶策略相比,MTG是一种灵活的技术,不需要肽供体来实现偶联。只要酰基受体含有一种伯胺,就没有结构限制。

谷氨酰胺残基自然存在于单抗的每个重链的Fc区域。在295位去糖基化后,谷氨酰胺残基通过MTGase介导的反应偶联,可以产生均一的DAR=2的ADC。为了提高效率,可以偶联带支链的连接子,从而使DAR翻倍,297位的天冬酰胺突变为谷氨酰胺也可增加DAR。

NBE Therapeutics开发了基于S金黄色葡萄球菌转肽酶A介导的偶联。他们的策略利用转肽酶A(SrtA),在LPXTG(X=任何氨基酸)五肽的基序中切割苏氨酸和甘氨酸残基之间的酰胺键。然后,它催化甘氨酸相关的有效载荷与新生成的C-末端的偶联,在生理温度和pH下生成肽键。

该方法应用于不同抗体,如抗CD30和抗Her2,并使用含有5甘氨酸标记的连接子偶联maytansine和MMAE,两种ADC均显示出与经典偶联相似的体外细胞杀伤活性。酶法产生的trastuzumab-maytansine在体内试验中完全匹配Kadcyla。

在另一个例子中,利用转肽酶法生成了高效蒽环素毒素衍生物PNU-159682的ADC。有趣的是,通过这项技术,偶联效率甚至高于Adcetris和Kadcyla类似物。此外,所制备的PNU-159682 ADC具有较高的体外和体内稳定性,并且显示出的效力超过了含有微管蛋白靶向有效载荷的ADC。

另一个新兴的新方法是通过酪氨酸标签进行位点特异性抗体标记,酪氨酸标签与单克隆抗体轻链的C末端基因融合。考虑到位点可及性,Bruins及其同事使用了一种工程化的四甘氨酰酪氨酸残基作为标记,它为偶联提供了一个容易触及的位点。酪氨酸酶将酪氨酸氧化成1,2-醌,从而允许与各种双环[6.1.0]壬炔(BCN)衍生物的环加成反应。这种方法可以与含有BCN连接子的MMAE有效地偶联。

半胱氨酸工程:硫单抗技术

随机半胱氨酸偶联和重桥接是利用抗体结构内天然存在的半胱氨酸残基的技术。然而,随机半胱氨酸方法的异质性以及重桥接策略中的单抗片段化需要在ADC合成中加以考虑,特别是当疏水性药物被偶联时。

与它们不同的是,硫单抗技术通过利用不涉及结构二硫键的工程化反应性半胱氨酸,在抗体上实现所需位点的选择性和均匀修饰。一般来说,半胱氨酸突变的设计是为了促进细胞毒性有效载荷偶联的同时,保持单克隆抗体的稳定性、亲和力和最小化ADC聚集。为了确定突变的最佳位置,通常采用几种技术,包括计算建模、模型系统筛选和高通量扫描。

Junutula等人首先报道了一种硫单抗策略,用工程化半胱氨酸残基取代了抗MUC16抗体重链114位的丙氨酸(HC-A114),工程化位置内的反应性硫醇能够与马来酰亚胺负载的连接子反应。合成的抗MUC16 ADC在异种移植小鼠模型中表现出效力,在大鼠和食蟹猴中表现出高剂量耐受性,这个发现建立了硫单抗偶联策略的一般性方法。

此外,琥珀酰亚胺连接在胞浆内可以经历两个平行反应:反向Michael反应导致连接子-有效载荷的损失,以及琥珀酰亚胺的水解,这两种反应都对体内ADC活性有显著影响。为了提高稳定性,Lyon和合作者设计了一个与马来酰亚胺相邻的碱性氨基整合进来的连接子。在连接子中加入二氨基丙酸(DPR)促进了硫琥珀酰亚胺在中性pH和室温下的快速定量水解,这样,非特异性的去偶联作用被阻止,从而提高了体内的稳定性。除了常用的马来酰亚胺外,还探索了不同的半胱氨酸反应剂,如碘乙酰胺、溴甲酰胺、羰基丙烯酸酯,N-烷基乙烯基吡啶盐。

3. 与工程化非天然氨基酸的生物偶联

除了硫单抗技术外,非标准氨基酸(ncAA)的加入为位点特异性偶联提供了另一种可能性。该技术使用含有独特化学结构的氨基酸,从而能够以化学选择性的方式引入连接子-有效载荷复合物。该技术需要对抗体序列重组,利用与宿主细胞内所有内源性tRNAs和合成酶正交的tRNA和氨基酰tRNA合成酶(aaRS),用于响应未赋值密码子将ncAA带入蛋白质。通常,ncAA在发酵过程中被添加到培养基中。选择非天然氨基酸是很重要的,因为它们可能激发免疫原性。常用的ncAA是具有独特基团的天然氨基酸的类似物,如酮、叠氮、环丙烯或二烯。

已有研究将对乙酰苯丙氨酸(pAcF)成功地整合入抗CXCR4 抗体中。有效载荷Auristin通过肟连接与抗体有效偶联,从而生成化学均一的ADC。该ADC在小鼠体内表现出良好的体外活性和完全清除肺肿瘤的作用。

由于肟连接所需的酸性条件和ADC缓慢释放的动力学,另一种选择是加入含ncAA的叠氮化物。广泛应用的对叠氮哌苯胺(pAzF)可在生理条件下快速进行CuAAC或SPAAC反应,利用这种策略成功地在抗CD74抗体上偶联糖皮质激素有效载荷。除了pAcF技术外,还成功地将含叠氮的赖氨酸类似物(AzK)带入到抗体中,以产生具有Auristin、PBD二聚体或微管蛋白有效载荷的位点特异性ADC。

此外,赖氨酸的环丙烯衍生物(CypK)以及自然发生的非典型氨基酸,如硒代半胱氨酸(Sec)都成功地整合进入抗体中。所产生的ADC表现出良好的稳定性、选择性以及体外和体内活性。

ADC的进化史

Mylotarg、Besponsa和第一代可切割连接子

Mylotarg于2000年被FDA批准用于治疗急性髓细胞白血病(AML)。它是由卡奇霉素通过一个包含腙键的可切割连接子与gemtuzumab(一种突变的抗CD33 IgG4亚型单抗)偶联而成。这种ADC的平均药物抗体比(DAR)只有1.5,含有约50%的未偶联单克隆抗体。ADC内化后,腙键可在内体酸性环境中水解,释放出卡奇霉素的前体,然后由谷胱甘肽还原为自由活性的卡奇霉素。后者与DNA小凹槽结合并经历Bergman环化,从而产生高度反应性的双自由基,引起序列选择性DNA双链切割。

从理论上讲,腙在生理pH值下应在血液循环中保持稳定,并在酸性条件下内化后进行选择性水解。然而,Mylotarg的连接子表现出一定的不稳定性,导致卡奇霉素在血浆循环中过早释放,严重的毒性导致随后辉瑞公司在2010年将Mylotarg退市。

得益于近年来在临床上积累的经验以及技术的进步,Mylotarg于2017年重新获批,优化后提高了连接子的稳定性,以较低剂量使用,并修改给药计划,适用于不同的患者群体。

一个类似的连接子被开发出来并用于将卡奇霉素偶联到inotuzumab,一种突变的CD22靶向抗体上, inotuzumab-ozogamicin (Besponsa)于2017年被FDA批准用于治疗急性淋巴细胞白血病(ALL)。

Kadcyla和第二代不可切割连接子

鉴于这些发现,人们继续开发连接子设计的替代策略。然而,一个偶然的发现使Immunogen得以识别出一种出人意料的有效ADC。DM1通过含有N-琥珀酰亚胺基-4-(N-马来酰亚胺甲基)环己烷-1-羧酸盐(SMCC)的不可切割的连接子与曲妥珠单抗的赖氨酸残基偶联,这种ADC(T-DM1,Kadcyla)于2013年经FDA批准用于HER2阳性乳腺癌患者。

这种新型的ADC在HER2阳性乳腺癌模型中非常有效,只有ADC在内化后在溶酶体中经酶完全消化后,原始结构才具有活性,以获得活性代谢物Lys-MCC-DM1。

Adcetris, Polivy和第二代可切割连接子

与此同时,西雅图遗传学设计了自己的偶联技术,通过可切割连接子mc-VC-PABC,其中包含马来酰亚胺基间隔子、作为组织蛋白酶底物的标准Val Cit二肽序列和PABC自降解间隔子,将金盏花素(MMAE)生物偶联到抗CD30 抗体的半胱氨酸残基上,这种ADC(Adcetris)于 2011年被FDA批准用于间变性大细胞淋巴瘤和霍奇金淋巴瘤的治疗。

Adcetris在肿瘤细胞内化后,可切割连接子降解,释放出的MMAE能破坏靶细胞并扩散到细胞膜上,到达并杀死邻近的癌细胞。这种现象被称为旁观者效应,允许释放的MMAE杀死CD30阳性和CD30阴性的肿瘤细胞。

类似地,这种第二代连接子(mc-VC-PABC)被用于Polivy,一种将MMAE与polatuzumab(抗CD79b单抗)偶联的ADC,于2019年6月被FDA批准用于治疗成人弥漫性大B细胞淋巴瘤(DLBCL)。

第三代位点特异性的ADC

管ADC取得了越来越大的成功,但直到2019年,市场上每一个批准的ADC都是以异质混合物的形式存在的,单抗上的细胞毒性药物数量不同且分布在不同的地方,导致了生产过程中的分析问题。事实上,DAR是不受控制的,这种复杂的混合物会显著影响ADC的药代动力学和药效。

裸抗体可能是一种竞争性抑制剂,弱DAR偶联物的疗效较差,而具有高DAR的抗体在血浆中会被迅速消除,从而损害了ADC的治疗窗口。为了拓宽ADCs的治疗指数,自2008年以来,区域特异性生物结合方法得到广泛发展。这些位点特异性方法可分为三类:(i)天然或非天然氨基酸的生物偶联,(ii)使用酶的生物偶联或(iii)基于连接物的生物偶联。

第一种方法是通过抗体工程引入特定的氨基酸。Junutula和他在Genentech的同事是先驱者,他们通过在靶向卵巢癌抗原MUC16的单克隆抗体的265位氨基酸与Adcetris®连接子进行定点生物偶联,开发出一种ADC。为此,他们在单克隆抗体的氨基酸序列中引入了两种半胱氨酸,选择了这两种半胱氨酸来保持IgG折叠和与抗原结合。

将得到的TDC(ADC-硫单抗)与使用传统随机生物结合方法生成的ADC进行比较。

两种ADC在小鼠异种移植模型中均有效,但TDC在大鼠和食蟹猴体内的耐受性高于ADC,并且在体内表现出较低的全身毒性。受此策略的启发,Seattle Genetics和Spirogen开发了一种类似的技术,称为MAIA,通过在mAb关键区域的239位引入丝氨酸半胱氨酸突变,实现PBD二聚体的生物偶联。

第二种可能性是使用酶介导的区域特异性生物结合技术。谷氨酰胺转胺酶催化天然单抗的谷氨酰胺侧链与含有伯胺的分子之间形成酰胺键。基于此,Innate Pharma已经开发了一种使用谷氨酰胺转胺酶构建ADC的三步方法,如下图所示。

最后,区域特异性ADC也可以从天然单抗中产生。

在这一策略中,由创新的二溴甲基酰胺(DBM)或二噻吩基马来酰亚胺(DSPh)组成的异质双功能连接体可以通过区域特异性生物偶联产生更均匀和更稳定的ADC,DAR为4。

小结

在过去的十年中,ADCs已经通过选择更好的细胞毒性药物、生物偶联方法、更好的靶向抗原和优化的抗体工程得到了改进。然而,它仍存在一些局限性(如有限的实体瘤渗透性和毒性)以及耐药机制的出现。

为了克服这些局限性,人们研究了新的抗体形式、新的传递系统、非内化抗原靶点、新的细胞毒性药物和位点特异性生物偶联方法来促进ADC的发展。虽然许多创新尚未在临床方案中得到验证,但这一领域的研究为我们提供了许多令人鼓舞的结果。相信ADC未来的十年将会迎来更加辉煌的前景。

参考文献:

1.The Chemistry Behind ADCs. Pharmaceuticals (Basel). 2021 May; 14(5): 442.

2. Antibody–Drug Conjugates: The Last Decade. Pharmaceuticals 2020, 13, 245

免责声明

加载中...