新浪财经 股票

解锁难溶药物增溶,剖析药物制剂技术

市场资讯 2023.03.22 08:00

转自:药融圈

医药界苦“难溶性药物”已久。

难溶性化合物口服吸收差、生物利用度低,不仅加大了创新药物开发的难度,也限制了新药项目推进的速度。

据统计,目前市售的药物中约40%为难溶性化合物,在高通量筛选中新发现的活性化合物,也有70%的是溶解性差的化合物,而在创新药研发过程中,BCSII和BCSIV的难溶性候选药物占比接近90%。

增大溶解度,为的就是使药物起效,或者更好的起效。解决难溶性药物增溶问题,如何对症下药,提高难溶性药物的溶解度,进而提高其在人体的暴露量,并达到一定的生物利用度,是难以避开的问题之一。

药物研发技术的快速发展,为难溶性药物的开发带来了新的希望。近年来,各国药典收载的溶出度和释放度检查方法越来越多。

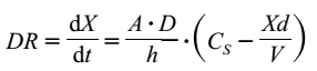
根据Noyes–Whitney方程,影响药物溶出速度(DR,dissolution rate)的因素主要包括:

A:固体药物的表面积

D:溶解药物的扩散系数

h:扩散厚度

Cs:药物在胃肠道吸收位点出的饱和溶解度

Xd:药物已溶出的量

V:溶解药物所需的体液

而目前制剂方面提高难溶性药物溶解度常见的手段有降低粒径、做成固体分散片、分散体,还有环糊精包含、脂质体,以及复合物增溶,软胶囊等。

降低粒径

减小粒径是提高溶出速率最普遍常用的方式之一。通过减小药物的粒径而增加表面积,药物与介质的有效接触面积增加,将提高药物的溶解度和溶出速度。

粒径减小除了能提高药物的溶出速率外,甚至还有提高药物的生物利用度的可能性,如微粉化后的地高辛、非洛地平(均为水难溶性药物),体内的生物利用度得到大的提高。

现有微粉化方法有机械粉碎、喷雾冷冻干燥、乳化冷冻干燥、超临界流体技术。其中机械粉碎最低粒径能达到2-3um。然而微粉化并非总能提高药物的溶出速率,有时反而会抑制药物的溶出,有些微粉化后的原料药反而更容易发生聚集作用,最终反而使药物的表面积降低。

固体分散体技术

固体分散体技术可形成小颗粒的固体颗粒,所以当小颗粒的药物在介质中溶解时,可改善药物的润湿性以及团聚现象。固体分散体可简单的分为低共熔混合物、固体溶液、无定形共沉淀物以及玻璃溶液四类。固体分散体的常用制备方法有熔融法、溶剂法、熔融-溶剂法。

难溶性药物制成固体分散体后,药物以分子、胶体、无定型或微晶状态分散在载体中,比表面积增加,溶出速度加快。如:以PEG20000为载体制备的阿司匹林-PEG20000 (1: 9)固体分散体,其药物溶出速度显著高于原料药及物理混合物尼莫地亚与聚乙二醇类经加热熔融形成简单低共熔物,实验表明,尼莫地平-PEG固体分散体可提高尼莫地平的体外溶出度。

环糊精包合物

环糊精(Cyclodextrin,CD)是一种水溶性、非还原性、不易被酸水解的白色晶体,由环糊精糖基转移酶作用于淀粉或直链环糊精而形成的一类环状低聚糖。

环糊精可以将水溶性差、化学性质不稳定的药物输送到体内。难溶性药物与β-环糊精形成包合物后,药物分子被包含于β-环糊精分子空腔中,具有很高的分散度,同时由于β-环糊精的亲水性,使包合物具有良好的可润湿性,因此增加药物水溶性,改善其体外溶出特性和人体生物利用度。将β-环糊精接枝甲基、乙基、羟丙基等官能团,破坏β-环糊精分子内氢键的形成,可显著改善其水溶性,使药物的β-环糊精衍生物包合物溶解更快。

环糊精包合物可以提高II类药物的口服生物利用度,也可能提高IV类药物的口服生物利用度,但是对I类及III类药物生物利用度的提高几乎没有作用。

随着新科技在药剂学中的应用,有越来越多的方法用于解决难溶性药物带来的一系列问题。如何使用好这些技术与方法,提高药物溶解度,从而最大限度地发挥疗效,是让更多药物更好地造福大众的关键。为了更全面的了解难溶药物开发及制剂技术,药融圈联合赛默飞共同邀请到聊城大学生物制药研究院院长韩军教授以及赛默飞Patheon™制药服务全球SME王新峰2位行业专家,于2023年3月22日做客线上直播间。从《难溶性药物制剂技术及辅料选择》以及《提高难溶性药物溶解度和生物利用度的创新方法》两方面入手解锁难溶药物增溶策略。

观看直播

关于赛默飞Patheon™制药服务

赛默飞通过Patheon™品牌为客户提供行业领先的药物开发、临床试验物流和商业化生产等制药服务解决方案。我们在全球拥有超过65个分支机构,在开发的各个阶段提供一体化、端到端的支持,包括原料药、生物制药、病毒载体、cGMP质粒、制剂、临床试验解决方案、物流服务和商业化生产及包装。通过Quick to Care™计划,我们为您的药物开发工作定制一体化的药物开发和临床服务。我们的大分子和小分子药物Quick to Care™计划帮助您在早期开发阶段实现速度与风险的平衡,快速成功地完成IND申报。mysupply Platform和Pharma 4.0等数字创新工具提供实时数据和流畅体验。我们与客户合作,迅速将制药行业的可能性变为现实。

关于药融圈

药融圈PRHub旨在帮助生物医药科技型企业进行品牌推广及商务拓展服务,针对客户的真实需求制定系统化解决方案,通过“翻译-降维-场景化”将客户的品牌信息以直白易懂的方式被公众知悉,同时在流量渠道覆盖100万+垂直用户基础上实现合作目的,帮助合作伙伴完成从品牌开始到商务为终的闭环营销服务。我们已经完成了数十场线下1000人规模的生物医药研发类会议,涵盖小分子新药,大分子新药,改良型新药,BD跨境交易等领域,品牌会议包括中国国际生物及化学制药产业大会(6000人以上),仿制药峰会(600人以上),新药创新者系列峰会(1200人以上),服务了百余家上市/独角兽/生物技术/制药企业。

药融圈生物医药生态圈合作伙伴:凌凯医药、福抗药业、汉瑞药业、深圳华溶、健元医药、济民可信、则正医药、君达合创、亚瑟医药、苏州亚科、青木制药、昭衍新药、阳光德美、成都先导、方达医药、博腾制药、百诚医药、慧泽医药、艾奇西医药、汉康医药、美迪西、南京生命能、海纳医药、天吉生物、江苏诺泰澳赛、成都海通、杭州澳亚、玻思韬、赛默飞、梅特勒、ProteinSimple、赛多利斯、思拓凡、苏州晶云、中科普瑞昇、康日百奥、宜明细胞、珠海亿胜、格林泰科、三优生物、百奥赛图、杭州皓阳、申基生物、金斯瑞蓬勃、原启生物、翰思生物、益方生物、宁丹新药、爱思益普、迈威生物、华津医药、晶泰科技、英矽智能、嘉树医疗、浙江齐蓁、简然实验室、毕得医药、汉库医药、川成医药、恒兴医药、华益药业、博诺康源、伊诺凯……

加载中...