新浪财经 股票

癌症治疗有前途的靶点——新抗原:(下) 基于新抗原的治疗策略

市场资讯 2023.03.03 11:44

转自:药时空

基于新抗原的治疗策略

如(上篇)和(中篇)所述,由于缺乏胸腺选择和中枢耐受,由基因改变产生的肿瘤特异性新抗原可诱导高亲和力T细胞。基于肿瘤特异性和免疫遗传学的优势,新抗原可成为癌症免疫治疗的新靶点,包括肿瘤疫苗、ACT和基于抗体的治疗,以及ICBs的潜在预测因子(图4)新抗原包括针对每个患者的个性化新抗原或在许多患者癌症中表达的共同新抗原。与个体化的新抗原治疗相比,基于公共新抗原的现成治疗方法对资源和时间的消耗较小。由于个性化的新抗原是患者特有的,其不能用于针对大量患者。随着高通量测序的最新进展,个性化的新抗原使免疫系统能够在没有预先定义的公共抗原的情况下靶向恶性肿瘤的适当的免疫原性表位。

图4 基于新抗原治疗的分类针对新抗原的免疫疗法主要包括ACTs、双特异性抗体和癌症疫苗。癌症疫苗利用核酸、多肽和DC刺激对肿瘤新抗原的特异性免疫反应。ACT利用新抗原特异性TCR或CAR工程T细胞选择性识别和杀死肿瘤细胞。双特异性抗体一个臂靶向肿瘤细胞呈递的新抗原和一个臂靶向T细胞表面CD3。

01

基于新抗原的治疗性疫苗

新抗原疫苗具有可行性高、安全性高、生产工艺简单等优点,是激发、增强和多样化抗肿瘤T细胞免疫应答的有效途径。不同形式的基于新抗原的疫苗(如多肽、核酸和DC疫苗)正在不同类型的肿瘤患者的临床试验中进行评估(图5)目前的多肽和核酸疫苗主要针对来自体细胞突变的预测新抗原,包括SNV、移码INDELs和基因融合。DC疫苗既可以通过与合成肽或核酸脉冲作用来针对选定的新抗原,也可以通过引入全细胞裂解物(WCL)来针对整个TSA。

图5 基于新抗原的癌症免疫疗法生产示意图。利用患者的血细胞和肿瘤组织鉴定个体化的新抗原。这些患者特有的新抗原被用来开发免疫疗法,如癌症疫苗和ACTs。多肽、DNA或mRNA和DC细胞形式的癌症疫苗被生产并接种给同一患者。对于ACT,从患者的外周血或肿瘤组织中提取T细胞,然后用细胞因子、抗CD3和CD28的单抗和其他试剂诱导增殖。开发具有新抗原特异性靶向的新抗原特异性T细胞需要与启动的APC共培养T细胞,并使用TCR或CAR对免疫细胞进行基因工程。在T细胞充分扩增后,T细胞产品注射到淋巴耗竭的患者体内,希望能引发攻击肿瘤的免疫反应。

多肽疫苗

基于多肽的新抗原疫苗以其高度的特异性、经济的制造和公认的安全记录,在个性化新抗原疫苗的研究领域中受到了大部分关注(表3)新抗原肽可以生产为基因编码的长肽或融合的多肽和化学合成的短肽。多肽经过亲和层析、尺寸排阻层析(SEC)或高压液相色谱(HPLC),获得纯度为>98%的无菌、无内毒素的产品。经MS验证后,这些多肽与适当的佐剂混合用于皮下注射免疫。在播散性滑膜肉瘤患者的I期免疫治疗临床试验中,基于SYT-SSX新抗原肽的疫苗阻止了1名患者的疾病进展,并成功地诱导了4名患者的特异性CTL反应,在整个治疗过程中没有发生严重的不良反应或迟发性超敏反应(DTH)。从BCR-ABL断点产生的多肽,如KQSSKALQR,可以在细胞质中加工并装载到MHC分子上,这些分子将被转移到CML细胞表面进行潜在的T细胞识别。在初步的临床试验中,这种基于新抗原的疫苗能诱导BCR-ABL多肽特异性T细胞免疫反应,但没有明显的毒性作用。所选择的包含T细胞表位的新抗原可以以单表位、多肽链或多肽库的形式产生。为了克服肿瘤异质性、HLA单倍型多样性和抗原下调等问题,通常使用重叠多肽或长多表位多肽而不是短单表位多肽来刺激T细胞的强大免疫反应。此外,正在开发免疫刺激佐剂和多聚体技术来提高个性化多肽疫苗的免疫原性。因此,基于合成肽的个性化新抗原疫苗已在不同类型癌症患者的临床研究中进行了评估,包括肺癌、乳腺癌、膀胱癌、胰腺癌、小儿脑瘤、黑色素瘤和结直肠癌(表4)

表3 基于新抗原的免疫疗法的优缺点

表4 基于新抗原的免疫疗法的临床研究

新抗原肽疫苗在突变负荷高或低的癌症中诱导和放大抗肿瘤免疫反应。在晚期黑色素瘤、非小细胞肺癌(NSCLC)或膀胱癌患者中,由佐剂多聚ICLC和合成新抗原长肽组成的疫苗可有效激活CD8+T和CD4+T淋巴细胞,所有这些患者都有高水平的突变(NCT02897765)。这种新抗原疫苗可防止6名高危黑色素瘤患者中4名在治疗后25个月内复发。在多种常规治疗失败的NSCLC患者中,个性化的新抗原肽疫苗可触发针对EGFR突变的特定T细胞反应,包括相对普遍的突变L858R和T790M。因此,一大批对ICB方法反应相对较差的NSCLC患者可能受益于基于共享免疫原性EGFR突变的新抗原疫苗。此外,基于多肽的新抗原疫苗可以潜在地改变免疫冷肿瘤的免疫环境,使其突变负担相对较低,诱导新抗原特异性T细胞浸润并破坏肿瘤细胞。例如,在HLA-A*24:02或HLA-A*02:01阳性胶质母细胞瘤患者中,注射新抗原疫苗可诱导T细胞免疫反应。这些新抗原特异的T细胞能够通过血脑屏障(BBB)渗透到肿瘤中,从而改变了胶质母细胞瘤的免疫环境,使患者的中位总生存期延长到29个月。

个性化新抗原肽疫苗可以扩展肿瘤特异性 T 细胞的持久性和库。根据对黑色素瘤患者接种后循环免疫反应的回顾分析,新抗原特异性T淋巴细胞在接种后表现出平均可持续约4年的记忆表型(NCT01970358)。新抗原特异性T细胞已经进化成具有不同功能亲和力的各种克隆。同时,还检测到非疫苗抗原导向的T细胞反应,表明疫苗接种后表位扩散。新抗原表位的扩散与长时间的无进展生存有关。功能性新抗原特异性T细胞克隆的长期持久性和多样化支持新抗原肽疫苗作为一种有效的策略来控制不断进化的转移肿瘤。

通过改善新抗原呈递和使用免疫刺激佐剂,可以进一步增强多肽疫苗的免疫原性。例如,将KRAS-G12D突变多肽与白喉毒素的C端融合,产生更具免疫原性的多肽疫苗,进一步提高多肽疫苗的免疫原性。这种疫苗可以促进CT26肿瘤小鼠的CD8+T细胞,同时减少T调节细胞。热休克蛋白(HSPs),如HSP70,也被与来自肿瘤特异性新抗原的合成肽复合,以增强抗原的呈递和识别,这些抗原被广泛用于治疗对传统疗法耐药的晚期肿瘤(NCT02992977,NCT03673020)。纳米颗粒形成是另一种提高疫苗免疫原性的技术。用吸附了聚乙烯亚胺(PEI)的介孔二氧化硅微棒(MSR)制备的B16.F10和CT26新抗原可以完全消除荷瘤小鼠现有的肺转移。纳米颗粒平台的另一个优势是能够共传递多肽和佐剂。自组装缠绕的DNA-RNA纳米胶囊已被用来有效地将肿瘤特异性新抗原肽和协同佐剂DNA CpG和shRNA运送到淋巴结内的APC。这些新抗原疫苗诱导外周记忆新抗原特异性CD8+T淋巴细胞,抑制新抗原相关结直肠癌的进展。高密度脂蛋白类纳米提高了多肽和佐剂共传递到淋巴器官的效率,并维持了DC细胞上的新抗原递呈。在临床试验中,纳米疫苗激活的新抗原特异性CTL的频率是最强佐剂的31倍,是可溶性疫苗的47倍。由电荷修饰多肽TLR-7/8a衍生的SNP-7/8a制剂可有效地激活针对50%与MHC-I高亲和力结合的新抗原的特异性CD8+T淋巴细胞,从而增强抗肿瘤效果。总的来说,可以利用通用方法来提高个性化多肽疫苗的抗肿瘤免疫应答。

核酸疫苗

与多肽疫苗一样,核酸疫苗,如RNA和DNA疫苗,也具有低成本和非HLA特异性的优势(表3)核酸疫苗可以在一次接种中传递多个肿瘤新抗原,触发细胞和体液抗肿瘤免疫反应。

目前,mRNA技术已广泛应用于肿瘤的临床治疗、传染病的预防和蛋白质编码治疗。最近COVID-19 mRNA疫苗的成功揭示了mRNA技术的治疗潜力。mRNA疫苗因其安全、高效、快速和低成本工业化生产以及能够编码全部抗原而具有相当大的抗肿瘤潜力。目前,体外转录(IVT)是用于产生包含新抗原序列mRNA的主要方法。IVT后,在mRNAs上增加帽子结构,以增加其稳定性,降低其免疫原性。经过SEC或切向流过滤(TFF)纯化后,选择合适的递送系统(如脂质体和聚合物)将mRNA导入细胞和组织中翻译目标新抗原,从而激活免疫反应。基于肿瘤特异性新抗原的个性化mRNA疫苗由于缺乏中枢免疫耐受而比共享的肿瘤相关自身抗原诱导更有效的免疫反应。例如,在13名可评估的黑色素瘤患者中,新抗原特异性mRNA疫苗激活了几个新表位特异性的CD4+和CD8+T细胞,极大地降低了复发的累积发生率,并导致持续的无进展生存。mRNA-4650疫苗包含明确的新抗原、来自驱动基因突变的新抗原和预测的HLA-I表位,可同时激发CD8+和CD4+T细胞反应,优先选择CD4+T细胞反应,没有严重副作用。个性化的mRNA-4157和BNT122疫苗的临床研究目前正在进行中。mRNA-4157单药治疗或与PD-1抑制剂联合使用具有良好的耐受性,并在临床试验中诱导新抗原特异性T细胞反应(NCT03313778;NCT03897881)。在三阴性乳腺癌(TNBC)患者中进行的一项RNA疫苗I期试验(NCT02316457)显示出高度有效的多表位T细胞反应,增加了手术和(新)辅助化疗后TNBC患者的临床收益。此外,BioNTech还探索了RO7198457疫苗与PD-L1抗体联合治疗各种实体肿瘤,包括黑色素瘤、NSCLC和结直肠癌。

与多肽疫苗相比,mRNA编码的新抗原疫苗可能提供适当但更有效的免疫原性反应和治疗效果。这种优势可能源于mRNA作为蛋白质合成模板的生物学功能。mRNA疫苗能够在人体内对蛋白质产物进行翻译后修饰,这有可能呈现各种表位,而不受特定的HLA类型的限制。此外,许多新抗原表位可以整合到同一主干中,产生无数新抗原,这些新抗原既可以作为独立的分子存在,也可以作为一系列多编码序列存在。【Nature 547, 222–226 (2017)】开发的基于RNA的多新表位方法就是一个这样的例子。每个患者选择的10个突变被改造成两个合成的药理优化的RNA分子,每个分子编码5个接头连接的27mer肽(NCT02035956)。还有临床试验中的个性化癌症疫苗,包括mRNA-4157和mRNA-4650,其含有一个可编码多达30种不同新抗原的mRNA骨架。因此,mRNA疫苗可以表达来自患者自身肿瘤的各种新抗原,产生更强的免疫反应

在体内有效地应用mRNA疫苗,需要保持mRNA的稳定性和mRNA在细胞内的有效分布。由于RNA本质上不稳定,早期的尝试主要集中在它的稳定性上。5‘帽结构、3’ploy(A)尾的长度和非翻译区(UTR)的调控元件都已为此目的进行了优化。体内有效的mRNA治疗也需要有效的细胞内递送。脂类、钙和磷酸盐纳米制剂是一种保护RNA免受细胞外核糖核酸酶影响的方法,从而提高递送效率和免疫原性。基于LNP-mRNA制剂的几种个性化癌症疫苗的临床研究已经启动。LNP制剂的mRNA-4157和mRNA-4650疫苗单独用于原发实体瘤患者或与PD-1抑制剂(NCT03313778、NCT03897881、NCT03480152)联合使用。先进的RNA-Lipoplex制剂在全身DC靶向和同步诱导高效适应性和先天免疫反应(NCT02410733、NCT023457)方面的优势已被开发和探索作为治疗性癌症疫苗。另一个值得注意的是与肿瘤相关的给药途径。在同基因肿瘤模型中,静脉给药比皮内或皮下注射更可取,可诱导更高水平的T细胞应答。给药途径机械地决定了IFN对mRNA-Lipoplex疫苗诱导的T细胞应答的拮抗作用。当mRNA-Lipoplex疫苗皮下注射时,IFN信号会抑制抗原特异的T细胞反应;反之,静脉注射时会增加T细胞反应。静脉注射已广泛用于临床给药,可将mRNA疫苗直接输送到肿瘤内注射不可及的恶性肿瘤或那些无法到达淋巴结的肿瘤(NCT03897881,NCT03480152,NCT03908671,和NCT03948763)。总之,基于新抗原的mRNA疫苗受益于保持其稳定性和提高递送效率的方法。

与RNA和多肽疫苗相比,DNA疫苗是一个多功能平台,具有许多优点,例如能够适应任何序列而不影响其稳定性或溶解性,以低成本快速工业化生产,以及无需复杂的冷链程序即可轻松储存。编码所预测新抗原的DNA序列被构建到合适的表达载体中,并在原核细胞中进行扩增和纯化。然后通过肌内或皮下注射结合电穿孔将质粒DNA引入细胞或组织,其中新抗原表达以诱导免疫反应。DNA疫苗在增强免疫方面也有显著的优势,包括通过抗原诱导的CD4+和CD8+T细胞反应激活体液免疫,以及通过识别双链DNA结构刺激先天免疫反应。合理选择肿瘤特异性新抗原可以扩大免疫反应范围,克服抗原丢失、修饰和耐受等问题,从而提高DNA疫苗的免疫原性。基于多表位肿瘤抗原的DNA疫苗在荷有乳腺癌E0771或4T1的小鼠身上诱导出类似于多肽疫苗的治疗性抗肿瘤反应。将治疗性DNA疫苗和抗PD-1治疗相结合,能协同控制小鼠肿瘤的生长。一种优化的多表位新抗原DNA疫苗编码与突变泛素相关的长表位与ICB疗法联合使用,也能在胰腺神经内分泌肿瘤患者中诱导出强大的新抗原特异性免疫反应。目前有大量基于新抗原的DNA疫苗对实体瘤进行临床试验,包括TNBC、晚期小细胞肺癌、胶质母细胞瘤、胰腺癌和小儿复发性脑肿瘤(表4)

尽管个性化的mRNA和DNA疫苗的疗效和成功率不如ICBs和T细胞疗法,但核酸肿瘤疫苗的配方和制备仍在取得巨大的改进,这将进一步加快基于新抗原的个性化核酸疫苗在癌症患者中的临床应用。

DC疫苗

像DC一样,APCs不断向免疫系统递送抗原,使其成为传递新抗原的有效平台。自体DC可以从患者身上分离并暴露于新抗原,然后再将其注射回患者体内,以激发新抗原特异性免疫反应。体外负载肿瘤抗原的血液分离的单核细胞或造血祖细胞有效地提高了基于新抗原的疫苗的抗肿瘤效果。负载新抗原的DC疫苗可以扩大抗肿瘤免疫的抗原广度和克隆多样性。多项临床试验正在研究个性化新抗原DC疫苗对实体肿瘤,如黑色素瘤、膀胱癌、结直肠癌、食道癌、乳腺癌、卵巢癌、胰腺癌、肝细胞癌、肺癌和胃癌的有效性和安全性(表4)

DC可通过多种技术负载新抗原,包括自体肿瘤的完整mRNA脉冲、合成肽脉冲和自体全肿瘤裂解物(WTL)脉冲以及与肿瘤细胞融合的脉冲。mRNA转染是DC细胞产生新抗原最简单的方法。除了引入新的抗原,mRNA电穿孔还可以向DC输送功能蛋白,提供额外的激活和成熟信号。全肿瘤mRNA转基因的DC疫苗在体外诱导T细胞反应,并提高晚期黑色素瘤免疫应答者的生存(NCT01278940)。全肿瘤mRNA负载的DC疫苗还能诱导新抗原特异性的T细胞反应,在多种肿瘤的患者中表现出安全性,包括黑色素瘤、肾癌、前列腺癌、子宫和卵巢癌、结直肠癌、胰腺癌、多发性骨髓瘤和AML。

用合成肽直接脉冲是另一种简单的技术,可以将新抗原衍生的表位负载到DC上,从而诱导必要的免疫反应。这种方法需要准确地识别和预测个体中现有的合适表位,然后将这些表位合成多肽甚至全长蛋白质,以适当地触发患者DC上的HLA呈递。在几项临床试验中,个性化的新抗原肽冲击的DC已被测试用于治疗癌症,包括黑色素瘤、卵巢癌、非小细胞肺癌和胰腺癌。用合成的长肽和佐剂Poly(I:C)脉冲的DC拓宽了黑色素瘤中新抗原特异性T淋巴细胞的广度和多样性。80%的肺泡型横纹肌肉瘤中的t(2;13)易位导致PAX-FKHR融合蛋白被内源性加工产生由HLA-B7呈递的断点表位。用PAX-FKHR新抗原SPQNSIRHNL融合多肽刺激DC产生特异性CTL效应,导致横纹肌肉瘤细胞溶解。经AR和ESFT融合的新抗原特异性断点肽(包括EWS/FLI-1、EWS/FLI-2、PAX3/FKHR和rhIL-2处理的自体淋巴细胞)脉冲的DC回输给患者,该方案对融合断点多肽产生了39%的免疫应答。个性化新抗原多肽脉冲的自体DC疫苗也结合化疗或ICBs治疗晚期肺癌和胰腺癌(NCT05195619,NCT04627246,NCT02956551)。

自体WTL脉冲的DC在诱导广泛的抗肿瘤免疫方面是安全有效的,这已经在各种恶性肿瘤中得到了广泛的研究。在复发的卵巢癌患者中,氧化WTL脉冲的自体DC耐受性良好,并能激发强大的抗肿瘤T细胞反应。该疫苗可以放大针对来自体细胞突变的新表位的T细胞反应,包括针对新型新表位的T细胞克隆和针对已知新表位的亲和力显著更高的克隆。此外,新抗原可以通过电融合技术负载到DC中,只融合两种细胞类型的细胞质而不损害细胞核,从而维持这些细胞的细胞功能。除了表达肿瘤抗原,融合细胞还增强了DC的共刺激能力。DC-肿瘤细胞融合疫苗已在肾癌、乳腺癌、多发性骨髓瘤和黑色素瘤中进行了测试。在肾癌患者中,融合细胞诱导肿瘤特异性免疫反应和疾病消退。总的来说,这些临床前和临床研究证明,基于新抗原的DC疫苗可以诱导肿瘤特异性T细胞反应,提供一种可行、安全和有效的实体肿瘤免疫治疗方法。

02

基于新抗原的过继细胞疗法

如上所述,具有高免疫原性的新抗原为ACT提供了极好的靶点,ACT使用患者自己天然存在的或基因工程的抗肿瘤淋巴细胞。基于新抗原的过继细胞疗法,包括TIL和具有新型TCR或CAR的基因工程免疫细胞,目前已成功地用于治疗多种恶性肿瘤

TILs的过继转移

CD8+T淋巴细胞具有识别和清除癌细胞的能力,这是50多年前发现的。已经证明,过继转移体外扩增的自体TIL而不经基因修饰,可以诱导某些人类癌症的完全缓解。这些TIL是从患者身上提取的,在特定情况下扩增,并准备增强其抗癌活性。然后,将该细胞产物回输给同一患者,这些患者之前接受过非清髓性淋巴清除化疗和随后的细胞因子治疗,如IL-2,从而刺激了强大的抗肿瘤免疫反应(图5)TIL对新抗原具有丰富的特异性,在实现完全和持久的肿瘤消退方面优于未选择的TIL。与肿瘤抗原特异性TCR的低亲和力相比,大多数新抗原特异性TCR表现出显著更高的亲和力,甚至对相对较低水平表达的同源抗原也表现出更高的亲和力。即使是少量与肿瘤特异性新抗原几乎没有亲和力的T淋巴细胞,也可以通过适当的制造工艺来扩展用于治疗的应用。过继转移富含新抗原靶向T细胞的TIL是一种很有前途的治疗策略,即使对于突变负担较低的肿瘤也是如此。

新抗原反应性TIL介导了上皮性癌的显著消退,包括晚期乳腺癌、转移性胆管癌、结直肠癌、黑色素瘤和宫颈癌。在上皮性癌中新抗原反应性T细胞的最早前瞻性研究中,低TMB的转移性胆管癌患者显示肿瘤有效消退长达35个月,首次提供了新抗原靶向TIL可以诱导转移性上皮癌消退的具体证据。对输注产物的回顾分析表明,CD4+T辅助细胞对ERBB2IP突变有反应,表明新抗原特异性的CD4+T细胞在控制转移性上皮癌方面具有潜在功能。转移性胃肠癌患者的TIL中有CD4+和/或CD8+T细胞识别由体细胞肿瘤突变产生的新抗原。尽管这些患者没有共同的免疫原性表位,但CD8 TILs可以靶向许多患者中普遍存在的热点驱动突变KRAS-G12D。类似地,在转移性结直肠癌患者中,针对KRAS-G12D突变的CD8+TIL诱导了针对表达HLA-C*08:02的肺转移的有效抗肿瘤免疫反应。新抗原反应性T细胞的潜在抗肿瘤作用也得到了实体瘤患者TIL产品输注研究的支持。HPV16+转移性宫颈鳞癌患者对最初根据其对HPV抗原的敏感性和大剂量IL-2选择的TIL完全有效,后续研究发现,近35%的TIL可以识别肿瘤突变产生的抗原,而病毒抗原反应性TIL的这一比例为14%,这表明个性化的新抗原反应性CD8+T细胞负责肿瘤消退。

TIL已被用于治疗对当前疗法(包括化学疗法、放疗和抗PD-1疗法)无效的转移性恶性肿瘤患者。靶向CTSB、CADPS2、KIAA0368和SLC3A2四个基因的特定突变的TIL过继转移,与IL-2和pembrolizumab一起,导致化疗难治的HR+转移性乳腺癌完全持久地消退。对现有疗法无效的转移性黑色素瘤患者在接受全身放疗或化疗后,自体TIL转移及IL-2的客观缓解率可达50%-70%。转移性非小细胞肺癌且对抗PD-1治疗无效的患者显示出联合使用TIL、IL-2及抗PD-1的免疫治疗的临床应答(NCT03215810,NCT04032847)。总之,这些研究提供了强有力的证据,证明新抗原反应性T细胞可改善对当前治疗耐药的上皮性癌症的临床预后。

TIL的频率和广度是其疗效的关键决定因素。肿瘤反应性TIL的数量和质量在不同癌症中是变量,与抗肿瘤免疫反应具有复杂的相关性。例如,肿瘤反应性TIL仅限于少数细胞,因为在卵巢癌和结直肠癌中,只有约10%的CD8+T细胞可以识别自体TSA,在一些存在TIL的患者中甚至没有发现肿瘤反应性TCR。相比之下,在转移性乳腺癌、胃肠癌和非小细胞肺癌患者的输注产品中检测到了新抗原反应性TIL。因此,评估肿瘤内T细胞库的比例及其识别自体肿瘤的能力对于预测人类癌症免疫治疗的临床活性至关重要。人CD8+TIL可以识别除肿瘤抗原以外的多种表位(如病毒抗原)形成旁观者T细胞,可能作为效应细胞浸润到组织中。在不同的特征和表型下,新抗原特异性TIL通常表现出比血液移居的旁观者和调节性TIL更强的抗肿瘤活性和肿瘤特异性扩增。CD39是T细胞对肿瘤的反应性和T细胞耗竭的标志,可用于识别多种恶性肿瘤中的肿瘤反应性T细胞。CD8+TIL具有与肿瘤特异性细胞重叠的特征,但在肿瘤部位缺乏CD39的表达和持续抗原刺激的迹象。此外,CD8+TIL中CD39的表达频率与几个重要的临床参数,如突变负担和存活率相关。因此,CD39可能是评估癌症免疫治疗预后的一个有前途的指标。CD39的表达也可以作为鉴定、分离和扩增肿瘤反应性T细胞的生物标志物。使用转录组和表位的细胞索引(CITE-seq)和基于特征(如CD39和CXCL13的表达)的TCR测序。在非小细胞肺癌TIL中可以鉴定出新的抗原反应性TCR,CD8+和CD4+T细胞的成功率分别为45%和66%。基于CD39表达的干细胞样、自我再生和肿瘤特异性TIL的免疫磁性细胞分选将使小鼠的中位生存期提高60%。总的来说,共同优化肿瘤特异性TCR库的质量将提高ACT的治疗效力。

转移的T细胞的内在特征,包括表型、亲和力和持久性,也影响新抗原导向ACT的效率。对TIL产物的高维分析鉴定出两个CD8+T细胞群体:一个具有记忆祖细胞CD39阴性干细胞样表型(CD39-CD69-),另一个具有高度分化的耗竭CD39阳性状态(CD39+CD69+)TIL。TIL持续暴露于瘤内微环境中的抗原后,其表型明显向耗竭细胞状态(PD1+CD39+)转变,近年来发现,伴随着CD8+T细胞活性的逐渐丧失和PD-1等抑制性受体的过度表达,PD-1+CD8+T细胞保留了分化较少的干细胞样TIL亚群,具有自我更新、扩增、持续、终末分化和体内优越的抗肿瘤活性。与ACT无应答者相比,ACT应答者具有干细胞样新抗原反应性TIL的库,其大量扩增并提供分化的亚群,促进T细胞的持久性和长期的肿瘤控制。与其耗竭状态一致,祖细胞耗竭细胞相对于真正的中央记忆细胞表现出对中心记忆特征的不足的富集,与从效应记忆产生的T细胞相比,来自中央记忆群体的T细胞表现出更强的抗原复制潜力和更长的体内持久性。通过分离和扩增理想的具有记忆表型的新抗原特异性T细胞,使T细胞具有干细胞样特性,用癌症疫苗增强肿瘤外的记忆特异性,从而解除TIL衰竭的纠缠,可以为创建更有效的基于T细胞的免疫疗法铺平道路。

基因工程抗肿瘤免疫细胞

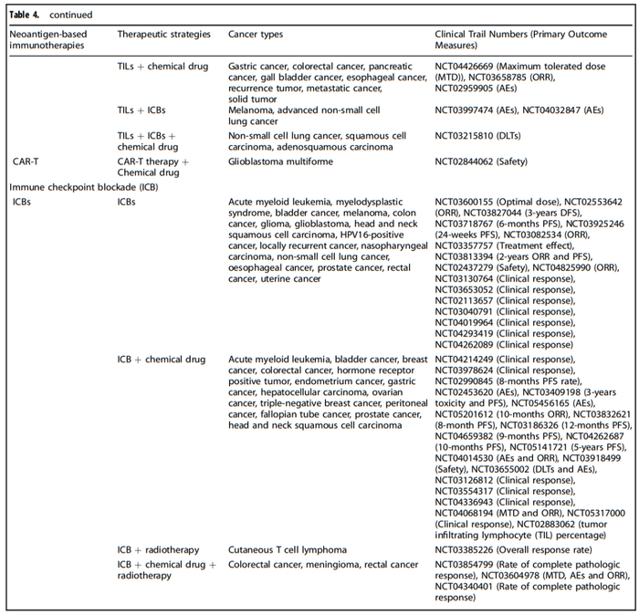
免疫细胞,包括T细胞、NK细胞和巨噬细胞,可以在体外进行基因改造,以产生TCR和CAR,从而将其特异性重新定向到新抗原。由于肿瘤特异性体细胞突变编码的肿瘤新抗原在ACT治疗中已成为CD8+和CD4+T细胞的主要抗原靶点,且没有针对正常组织的毒性,因此基于新抗原的免疫细胞的快速发展在实体肿瘤的治疗中具有良好的效果。一些新抗原靶向的TCR-T和CAR-T疗法正在早期临床中积极研究,显示出诱人的治疗前景(表4)

TCR-T细胞

TCR转导的T细胞可以靶向任何表面或细胞内的抗原。几个小组已经证明了从新抗原鉴定到设计新抗原靶向细胞毒性TCR-T细胞的有效方法的可行性。当新抗原被识别和预测时,分离新表位特异性T细胞并对其TCR进行测序。具有已知新抗原反应性的候选TCR序列可以通过转座子或CRISPR/Cas9系统导入T细胞。这些表达新抗原特异性TCRs的工程细胞在验证了它们的肿瘤活性后被注入患者体内。

经过改造的高亲和力TCR使CD8+T细胞对含有新抗原的肿瘤具有特异性的细胞毒作用。针对复发融合基因CBFB-MYH11的TCR赋予CD8+T细胞在体外和融合基因驱动的AML患者来源的小鼠异种移植(PDX)模型中的抗白血病活性。类似地,用TCR转导的外周血淋巴细胞对突变的KRAS变体G12V和G12D高度反应,可以在PDX模型中识别多个携带适当KRAS突变的HLA-A*11:01胰腺细胞系。转导了对突变的KRAS变异体G12V和G12D高度反应的TCR的外周血淋巴细胞可以识别多个携带适当KRAS突变的HLA-A*11:01+胰腺细胞系。在晚期胰腺癌患者的临床试验中研究了经工程设计表达TCR的自体T细胞的安全性和有效性,特别是针对HLA-A*11:01呈递的公共新抗原KRAS-G12V或G12D (NCT04146298,NCT05438667)。此外,与个性化新抗原特异性TCR一起设计的自体T细胞也被用于实体肿瘤,如卵巢癌、肺癌、结直肠癌、胰腺癌、胆管癌和妇科癌症(NCT05292859、NCT05194735、NCT04520711)。

在TCR-T治疗中,用新抗原特异性TCR(neoTCR)代替内源性TCR,可以准确地将T细胞重定向到由HLA呈递的特异性新抗原的肿瘤细胞。最近开发的非病毒精确基因组编辑技术可以同时敲除内源性TCR或CAR基因并引入neoTCR或CAR,从而更快地生产临床级别的T细胞。基于这种非病毒精准TCR替换技术,可以为一个患者提供多种具有明显个性化的neoTCR的T细胞产品,以提高抗肿瘤效果。16名难治性实体癌患者每人接受了3种具有独特个性化neoTCR的TCR-T细胞产品,其中5名患者病情稳定,其余11名患者病情进展对治疗反应最佳。因此,基于这种非病毒精准TCR替代方法,为实体肿瘤患者创建一种广泛适用的、肿瘤特异性的、量身定制的T细胞治疗方案是可行和安全的

CAR-T细胞

与TCR-T细胞相比,CAR-T细胞方法具有显著的优势,因为它们不依赖于HLA的表达和新抗原提呈,而这些表达和提呈通常被癌细胞用于免疫逃避。CAR分子的工程表达包含一个细胞内信号和共信号结构域以及细胞外抗原结合域,使CAR-T细胞能够结合任何有抗体的细胞表面蛋白,然后激活不依赖于MHC的CAR-T细胞。使用CD19靶向CAR-T细胞治疗B细胞恶性肿瘤患者的早期临床试验显示了出色的结果,而用于治疗实体癌患者的CAR-T细胞由于抗原性有限而显示出较差的结果。肿瘤新抗原启发了创造性的解决方案,并给了实体肿瘤患者CAR-T治疗的希望。适合CAR-T的肿瘤特异性表面新抗原的数量有限,可以通过整合识别肿瘤表面新抗原pMHC复合体的单链可变区(scFv)来克服。具有识别癌基因核磷蛋白(NPM1c)表位-HLA-A2复合体的scFv的CAR-T细胞对NPM1c+HLA-A2+白血病细胞和AML细胞具有很强的细胞毒作用,没有或最小的on-target/off-tumor毒性。

重定向到新抗原的CAR-T细胞正在血液学和实体瘤正在进行的临床试验中进行测试。实体肿瘤中基于新抗原的CAR-T治疗最著名的例子是来自EGFRvIII突变的新抗原,它是由30%的胶质母细胞瘤患者中的一段自发的胞外区域框内缺失引起的,使其成为CAR-T治疗的理想靶点。可以识别EGFRvIII新抗原的CAR已被创建为慢病毒载体的一部分,并加入了缺失配体结合域和细胞质激酶域的截短的EGFR以用于体内示踪和必要的CAR-T细胞的消融。人EGFRvIII+异种皮下和原位模型显示,EGFRvIII导向的CAR-T细胞可以控制肿瘤的生长。还在一项针对复发性胶质母细胞瘤患者的试点项目中测试了自体抗EGFRvIII CAR-T细胞的安全性和有效性(NCT02844062)。然而,由于胶质母细胞瘤的高度异质性,靶向EGFRvIII只会杀死一小部分肿瘤细胞。

即使抗原是不完全特异的,也可以在CAR-T细胞中使用Boolean逻辑门,通过启动肿瘤特异性新抗原来提高肿瘤识别的特异性,并通过靶向肿瘤统一表达的抗原来提高肿瘤细胞的清除效率。T细胞可以产生针对肿瘤普遍表达的抗原的CAR,比如EphA2和IL13R2,在被高度肿瘤特异性的新抗原(如EGFRvIII)激活并经过训练后,可以进行彻底的肿瘤摧毁。此外,合成Notch(synNotch)调节的CAR激活保持了相当大比例T细胞处于幼稚/干细胞记忆状态,从而提高了抗肿瘤免疫力。在携带有EGFRvIII异质性表达的脑内PDX的免疫缺陷动物中,EGFRvIII synNotch-CAR-T细胞在抗肿瘤活性和T细胞持久性方面优于传统的组成性表达的CAR-T细胞,而不会造成off-tumor损害。带有启动和杀死回路的T细胞诱导CAR驱动的细胞毒作用,这种细胞毒作用在空间上仅限于启动细胞的附近,从而防止携带杀伤性抗原但缺乏启动抗原的远程正常组织的off-tumor杀伤。

CAR-NK

除了T细胞,NK细胞也可以被改造成表达CARs。NK细胞具有与CD8+细胞毒性T细胞相同的功能,但它们不依赖于MHC-I介导的肿瘤新抗原递呈。因此,CAR-NK细胞具有针对突变负荷极低且缺乏新抗原提呈的肿瘤进行免疫治疗的潜力。用新表位特异性CAR武装NK细胞可显著改善其对NPM1突变AML的抗肿瘤反应,而不会引起脱靶毒性。此外,NK细胞通过释放GM-CSF进一步启动DC成熟和新抗原呈递,并通过产生CCL5来招募新抗原特异性CCR5+CD8+T细胞。因此,由于修饰的NK细胞增加了适合免疫治疗的癌症类型。

03

针对新抗原的抗体治疗

抗体疗法已经成功地用于癌症治疗,例如针对ICBs的抗PD1/PD-L1/CTLA4抗体。与不能靶向细胞内蛋白的常规抗体相比,TCR-mimic (TCRm)抗体或突变相关新抗原(MANA)特异性抗体可以通过聚焦于pMHC复合体识别细胞内新抗原。TCRm抗体比TCR具有更强的亲和力,后者已被证明是将on-target, off-tumor效应降至最低的关键。这些新抗原靶向抗体易于转化为多种治疗形式,包括全长抗体、抗体-药物偶联物(ADCs)和BsAbs。如上所述,TCRm抗体部分也可以通过CAR-T疗法来驱动新抗原的特异性活性,这在治疗某些癌症方面被证明非常有效。此外,这些基于抗体的免疫策略有可能为任何肿瘤表现出靶向公共新抗原的患者开发现成的产品。

噬菌体展示、酵母展示和遗传平台是用来检测人TCRm抗体的一些技术,这些抗体对HLA上所呈现的新抗原具有极高的特异性。为了鉴定突变型pMHC复合体的scFv,首先建立了编码大量scFv序列的噬菌体或酵母展示文库。使用竞争选择技术,随后鉴定了与预定的HLA型相结合的突变多肽的特异性克隆。高通量遗传平台PresentER由编码MHC-I多肽库的微型基因组成。通过评估TCR-like治疗剂对大量MHC-I配体库的反应性,PresentER可用于确定T细胞和TCRm抗体的开关靶点。将试剂及其相应的pMHC复合体的结构分析与文库筛选相结合,有助于提高TCRm抗体的特异性评估。根据晶体结构,一种名为ESK1的人TCRm抗体以不同于TCRs的方式附着在WT1衍生的多肽/HLA-A*02:01上。通过使用该结构来预期ESK1与几种不同的HLA-A*02亚型的高亲和力结合以及潜在的off-target结合,可以扩大ESK1治疗的可能患者群体。

源自复发驱动基因突变的公共新抗原,包括癌基因和TSG,提供了共同的靶点,可能使相当大比例的患者受益。针对来自癌基因突变的公共新抗原(EGFR、KRAS、PIK3CA和CTNNB1)的scFv已被鉴定并转化为治疗形式。例如,已通过噬菌体展示鉴定出一种针对KRAS突变衍生多肽的scFv和一种针对EGFR突变衍生多肽的scFv。这些单链抗体只能识别与HLA结合的多肽,如KRAS多肽/HLA-A2或EGFR多肽/HLA-A3复合体。针对KRAS(G12V)-HLA-A2的scFv被转化为全长抗体,即使突变的多肽-HLA复合体与正常的野生型相比只有一个氨基酸差异,该抗体也能与之反应。

与癌基因不同的是,来自TSG重复突变的公共新抗原不能触发免疫反应,因为它们要么因非重复突变而变得不活跃,要么由于无义介导的RNA衰变而产生低水平。由于发现了针对p53 pMHC复合体的TCRm抗体,表征良好的TSG p53是一个特殊的病例。由于MHC结合的限制,含有突变型p53序列的多肽是不常见的;然而,表达突变型p53的肿瘤可能会增加表达和MHC分子介导的野生型p53多肽的呈现,这将突变p53的肿瘤与表达野生型p53的健康细胞区分开来。因此,针对野生型p53 125-134多肽的TCR-like抗体P1C1TM与HLA-A24:02(HLA-24) MHC等位基因结合可以靶向含有突变p53和HLA-A24的肿瘤。PNU-159682-P1C1TM在体内模型中对表达突变型p53的结肠癌细胞的致死作用证明了P1C1TM作为抗体-药物偶联物的这种特异性使P1C1TM能够有效地向突变p53的肿瘤传递细胞毒有效载荷。

BsAbs可用于解决细胞表面突变型p53 pMHC复合体密度不足以将T淋巴细胞招募到肿瘤部位的问双特异性 T 细胞接合器(BiTE)是一种 bsAb 构建体,通过同时结合肿瘤细胞上的新抗原和T细胞上的CD3复合体,为T细胞的激活提供有效而有力的信号。即使当新抗原-MHC复合体在低水平表达时,高效的bsAb也能够决定性地逆转p53不可成药的说法。从p53错义突变体(R175H)产生的多肽可以由HLA-A*02:01呈递,在细胞表面形成突变型p53 pMHC复合体,作为天然的TCR配体激活T细胞。通过利用大容量噬菌体文库筛选,发现了一段与HLA-A*02:01限制性p53 R175H新抗原亲和力增强的H2抗体片段。将这一TCRm抗体片段与CD3特异性抗体片段融合,产生一种bsAb,它可以提高T细胞的活性,在表达p53 R175H pMHC复合体的动物模型中识别和摧毁癌细胞和移植物。

二聚体T细胞结合bsAb也是基于人TCRm抗体,对突变的LMP2A肽-HLA-A*02:01和突变的RAS肽-HLA复合体具有良好的特异性。这些bsAb在精确激活T细胞和杀伤表达内源性、难以置信的低数量突变新抗原和同源HL A等位基因的靶癌细胞方面有效。此外,bsAbs还用于靶向恶性肿瘤中来自异常PTM的公共新抗原。结合CD3和针对pIRS2衍生的磷酸肽的TCRm的BsAb能够以pIRS2-和HLA-A*02:01限制的方式杀灭肿瘤细胞。或者,由肿瘤新抗原的单抗TCR部分引导的可溶性结构也可以偶联到抗CD3抗体成分上,产生一组双特异性分子,称为免疫动员抗癌单抗(ImmTAC)。ImmTAC克服了过去阻碍基于TCR的免疫治疗方法的生物物理限制,并可能根据其蛋白质组特征来靶向任何细胞。具有极低表面表位浓度的癌细胞被由ImmTAC引导的T淋巴细胞成功地杀死。

因此,基于TCRm抗体的策略可以用于靶向源自癌基因和TSGs突变的新抗原,而使用传统方法难以根除这些新抗原,从而能够开发出更有针对性的抗癌疗法鉴于TCR-mimic抗体与多肽-HLA分子的亲和力比天然TCR好得多。为了防止与给定肽无关的HLA组分的交叉反应或结合,必须适当地筛选TCR-mimic抗体。与设计的TCR类似,可以通过对off-target多肽进行负选择来防止交叉反应。至少有一种合成试剂的交叉反应比同等的天然受体表现出更低的交叉反应。

04

联合疗法

由于新抗原图谱的异质性和不断进化的癌症免疫逃避机制,单一免疫疗法对晚期癌症患者的治疗效果不佳。结合几种免疫疗法可以同时针对癌症免疫周期的不同阶段,包括抗原释放和呈递、免疫细胞启动和激活、免疫细胞向肿瘤的转移和浸润以及癌细胞的识别和杀伤,从而提高抗癌疗效。另一种策略是将具有不同作用机制的治疗方法结合起来,以克服肿瘤异质性诱导的耐药性。所有靶向癌细胞必须具有相同的新抗原表达和提呈模式,否则,没有预测的新抗原的抗性克隆可以存活并赋予克隆性生长优势。因此,精确免疫治疗可以与常规治疗相结合,如放化疗,在不依赖新抗原的情况下杀死癌细胞,实现更显著和更持久的治疗效果(图6)

图6 基于新抗原的联合抗肿瘤策略。“癌症-免疫循环”指的是必须启动、进行和扩展的一系列事件,以实现抗癌免疫反应,从而有效地根除癌细胞。简而言之,肿瘤形成产生的新抗原由DC释放和捕获(步骤1)。DC将收集的MHC-I和MHC-II分子上的新抗原传递给T细胞(步骤2),从而启动和激活针对癌症特异性新抗原的效应性T细胞反应(步骤3)。随后,激活的效应T细胞迁移到(步骤4)并浸润到肿瘤床(步骤5),在那里它们识别并最终破坏其靶癌细胞(步骤6)。癌细胞的死亡会产生更多的肿瘤相关新抗原(再次步骤1),在随后的周期中扩大和加强免疫反应。因此,癌症免疫治疗的目的是重新启动或放大自我维持的癌症免疫循环。针对肿瘤免疫循环中的限速步骤,已开发了多种免疫疗法,包括通过化疗、放疗和溶瘤病毒增强新抗原的释放,通过癌症疫苗和ACTs提高肿瘤反应性T细胞的数量和质量,以及通过检查点抑制剂增强免疫细胞的浸润和细胞毒效。

基于新抗原的免疫治疗与ICBs

基于检查点抑制剂的免疫治疗在包括肾细胞癌、非小细胞肺癌和黑色素瘤在内的多种恶性肿瘤中取得了持久的抗肿瘤效果。然而,在没有肿瘤特异性效应T细胞的情况下,患者对ICB治疗没有反应。此外,ICB治疗只影响抗癌免疫途径的一两个阶段,如抗CTLA4抗体调节免疫细胞的启动和激活,而抗PD-1/PD-L1抗体集中在T效应细胞的最终负调节。因此,只有一小部分患者对单一药物有抗肿瘤反应。新抗原载量和肿瘤内异质性可以预测ICB反应的生物标志物。有理由相信,通过将ICB与基于新抗原的免疫治疗方法相结合,提高肿瘤反应性T细胞,将实现更有效的抗肿瘤反应。ICBs通过靶向新抗原(包括PRKDC、EVI2B和S100A9)在复发的多发性骨髓瘤患者中增强特异性T细胞反应。与单一治疗相比,新抗原疫苗(PancVAX)与两种检查点调节剂(如抗PD-1和激动剂OX40抗体)相结合改善肿瘤消退。对于对新抗原无效的实体肿瘤患者,在抗PD-1治疗后无反应或复发的情况下,以mRNA为基础的新抗原疫苗(如mRNA-4157、mRNA-5671和BNT122)在多个临床试验中与免疫检查点抑制剂联合使用(表4)。免疫抑制调节剂,如PD-1、PD-L1、CTLA-4和TIM3,经常被新抗原疫苗上调。ICBs可以缓解新抗原疫苗的这种负面影响,导致快速而持久的CD8+T细胞对恶性肿瘤的控制。因此,新抗原疫苗和ICBs的联合使用可以达到更好的抗肿瘤免疫应答预期效果。

ICB治疗可以进一步提高CTL的抗肿瘤效果,包括那些针对突变相关新抗原的CTL。TIL通常以少量存在于肿瘤内,并由于抑制性微环境而表现出不可逆转的低反应性。因此,大多数癌症患者不符合TIL治疗的条件。免疫治疗对PD-1抑制剂有反应的患者有较高比例的TILs,表明ICBs可以促进新抗原反应性淋巴细胞向肿瘤的渗透。阻断PD-1抑制信号可诱导PD-1+CD8+T细胞的扩增,导致肿瘤部位PD-1+CD8+T细胞循环短暂升高和效应T细胞数量增加。此外,ICB可以通过克服抑制性微环境来重振耗尽的新抗原特异性T细胞。持续暴露于TSA可促进以高表达PD-1和CD39为特征的CD8+T细胞的耗竭。肿瘤内高表达PD-1的CD8+T细胞表现出固有的高识别肿瘤的能力。鉴于高亲和力新抗原对CD39+CD8+T细胞的激活作用,高亲和力新抗原高表达组的肝细胞癌患者从抗PD-1治疗中受益更多。

新抗原疫苗与ACT的联合应用

新抗原疫苗和ACT的组合也被成功地用于提高肿瘤治疗的临床疗效。最近的发现表明,疫苗接种可以增加循环中新抗原反应T细胞的数量,可能是通过促进T淋巴细胞更好的生长。或者,疫苗可以诱导新生T细胞反应,克服由于肿瘤细胞对新抗原的交叉递呈不足而导致的T细胞对新表位的识别不足。此外,可以制造疫苗来保护新的抗原反应性T细胞免受免疫检查点信号或FasL介导的凋亡,使T细胞渗透到免疫抑制的肿瘤微环境(TME)并持久地减少上皮性恶性肿瘤。为了提高后续ACT治疗的临床疗效,在体外T细胞培养之前,可以使用疫苗来启动患者的新抗原反应性TIL或PBMC。这可能导致已知的记忆T细胞反应的诱导。

疫苗也被用来提高CAR-T疗法消除实体瘤的疗效。设计了一种针对CAR-T细胞的增强疫苗,在该疫苗中,多肽新抗原可以运输到淋巴结,然后通过白蛋白结合的磷脂聚合物修饰驻留的APC的膜。疫苗增强的供体细胞在体内直接通过嵌合受体增强实体瘤中的CAR-T功能。与单独接种CAR-T细胞相比,这种amph-ligand疫苗可以显著诱导EGFRvIII特异性CAR-T细胞的扩增和肿瘤内的渗透。这种疫苗策略在体内安全地扩增CAR-T细胞,并在多种实体瘤模型中增强它们的功能和抗肿瘤活性,显示了新抗原疫苗和CAR-T联合治疗的重大前景。

基于新抗原的免疫疗法和传统疗法

大多数化疗药物和放射治疗是基于其直接的细胞毒作用而设计的,而没有考虑到它们对免疫系统的影响。这些常规治疗过程中的基因组损伤和基因转录改变可以促进肿瘤特异性新抗原的产生,从而显示出刺激抗肿瘤免疫反应的潜力。因此,FDA批准的几种使用常规疗法和免疫疗法的联合疗法已经开发出来。

化疗和放射治疗可以用来增加肿瘤特异性新抗原的释放,绕过新抗原数量不足等问题来刺激T细胞反应。在一名对CTLA4阻断和放射治疗完全有效的转移性非小细胞肺癌患者中,KPNA2的新抗原突变在放射治疗中上调。此外,辐射可通过增加肿瘤细胞表面MHC-I的表达来提高现有的多肽呈递水平。通过扩大细胞内新抗原库和增加MHC-I依赖的呈递,辐射将促进新抗原特异性CD8+T细胞对细胞的杀伤。在免疫原性较差的TNBC小鼠模型中,放射治疗增加了具有免疫原性突变的基因的表达。基于放射诱导的免疫原性突变的新抗原疫苗可诱导CD8+和CD4+T细胞,从而提高放射治疗的疗效。值得注意的是,辐射诱导的高度亚克隆新抗原,可能会被DNA损伤反应(DDR)抑制剂恶化,会干扰针对克隆性肿瘤新抗原的T淋巴细胞的产生。为了解决这些问题,需要对亚克隆肿瘤抗原的形成进行更多的研究,以及对联合放射治疗、DDR抑制剂和基于新抗原的治疗进行彻底的研究。

在化疗和靶向治疗过程中,肿瘤细胞经常会发生新的突变,包括逆转突变,从而导致耐药。许多逆转被预测为编码肿瘤特异性新抗原,为通过CAR-T细胞疗法、免疫检查点抑制剂或抗癌疫苗对抗耐药性提供了一种潜在的策略。乳腺癌相关基因的逆转突变只是临床铂类药物和PARP抑制剂耐药期间发生的一个例子。通过接种肿瘤疫苗,然后用环磷酰胺(CTX)和其他药物预处理,也可以增加新抗原特异性T淋巴细胞的数量和功能活性。总之,这些研究证明当传统疗法与基于新抗原的免疫疗法结合使用时可以增强肿瘤控制

参考文献

Fritah, H., et al. The current clinical landscape of personalized cancer vaccines. Cancer Treat. Rev. 106, 102383 (2022).

Deng, Z. et al. mRNA vaccines: the dawn of a new era of cancer immunotherapy. Front. Immunol. 13, 887125 (2022).

Pao, S. C., et al. Therapeutic vaccines targeting neoantigens to induce T-cell immunity against cancers. Pharmaceutics 14, 867 (2022).

Guo, Z. et al. Durable complete response to neoantigen-loaded dendritic-cell vaccine following anti-PD-1 therapy in metastatic gastric cancer. NPJ Precis. Oncol. 6, 34 (2022).

Poorebrahim, M. et al. TCR-like CARs and TCR-CARs targeting neoepitopes: an emerging potential. Cancer Gene Ther. 28, 581–589 (2021).

Chu, J. et al. Natural killer cells: a promising immunotherapy for cancer. J. Transl. Med. 20, 240 (2022).

Chandran, S. S. et al. Immunogenicity and therapeutic targeting of a public neoantigen derived from mutated PIK3CA. Nat. Med. 28, 946–957 (2022).

Lhuillier, C. et al. Radiotherapy-exposed CD8+ and CD4+ neoantigens enhance tumor control. J. Clin. Invest. 131, e138740 (2021).

Caushi, J. X. et al. Transcriptional programs of neoantigen-specific TIL in anti-PD-1-treated lung cancers. Nature 596, 126–132 (2021).

Xie, N., et al. Neoantigens: promising targets for cancer therapy. Sig Transduct Target Ther 8, 9 (2023).

Singh, N. & June, C. H. Boosting engineered T cells. Science 365, 119–120 (2019).

Yang, C., Lou, G. & Jin, W. L. The arsenal of TP53 mutants therapies: neoantigens and bispecific antibodies. Signal Transduct. Target Ther. 6, 219 (2021).

Wang, C., Huang, H. & Davis, M. M. Grouping T-cell antigen receptors by specificity. Methods Mol. Biol. 2574, 291–307 (2022).

加载中...