新浪财经 股票

多肽固相合成常用树脂介绍

市场资讯 2023.02.08 06:00

转自:药事纵横

近期发布的《化学合成多肽药物药学研究技术指导原则(征求意见稿)》中提到:固相合成中,树脂作为必需物料,其质量可直接影响多肽药物质量,应提供树脂的来源、质量标准和检验报告,并对树脂的摩尔取代系数、在不同溶剂中的膨胀系数、所用合成条件下的稳定性情况等予以说明。由于缺乏有效的表征手段和和针对性的质控方法,不推荐与肽链C端氨基酸相连的树脂作为起始物料。由此可见,虽然树脂在有些情况下不参与构成最终API的结构,但也应对其进行充分地研究。今天我就和大家简单介绍一下多肽固相合成中常用的树脂。

一、首先我们先要了解几个关于树脂的重要参数:交联度、目数、取代度、在不同溶剂中的溶胀度。

交联度:以PS树脂为例,它的树脂球是在聚苯乙烯中添加一定量的交联剂二乙烯基苯,经过聚合反应而成。交联剂二乙烯基苯的加入量就是交联度(DVB),树脂最佳交联度为1%,更高的交联度导致树脂溶胀度下降,然而较低的交联度会减小树脂在溶胀状态下的机械稳定性。一般来讲市售的树脂大部分都是交联度为1%的。

目数:树脂球的大小,一般市售树脂为100-200目(平均直径为75-150μm),聚合反应的条件可以影响树脂球的大小。

取代度:每克树脂装载了多少毫摩尔的活性反应位点,单位是mmol/g。值得注意的是一般市售的Wang-resin,CTC-resin到手后,我们会在实验室装载第一个氨基酸,但这两种树脂的氨基酸装载率并不能达到100%,所以在此之后应该重新测定取代度。

溶胀度:树脂在不同溶剂中的溶胀能力,单位是ml/g。一般市售的树脂到手后,我们使用之前都需要用溶剂进行溶胀,良好的溶胀能够增加反应物进入位点的机会。DCM、DMF、N-甲基吡咯烷酮都是常用的良性树脂溶胀溶剂。

二、几种常用的树脂介绍

1Wang-resin

多肽固相合成中常用的树脂,功能基团为羟基,第一个氨基酸通过酯键和树脂的Linker相连。因此偶联条件要比酰胺键剧烈,需要DMAP催化。由于DMAP碱性较强,特别容易消旋的氨基酸(Cys,His)不适合装载于Wang-resin,此时推荐使用CTC-resin

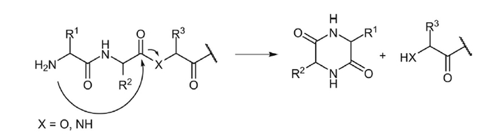
此外,当Wang-resin碳端二肽中含有Gly、Pro时,还应注意DKP副反应,机理见2。N-端氨基酸脱Fmoc后裸露出氨基,对前面的酰胺键或酯键亲核进攻,受影响的片段以二酮哌嗪的形式从树脂脱落,最终导致收率下降。当C-端前两个氨基酸中有Gly,Pro,N-烷基氨基酸,交替的D/L型氨基酸时会加速这一副反应。当使用的固定相的Linker类型为酯键时,这种副反应最为严重,因为比起氨基,羟基是一个更强的离去基团。使用CTC-resin可以抑制此副反应。

Wang-resin的linker比较稳定,需要高浓度TFA裂解。在高浓度TFA条件下裂解,Wang-resin的linker可能会发生不规则裂解产生正离子1,如果肽链中存在Trp残基,正离子可能会进攻Trp残基侧链的吲哚环引产生M+106的杂质,机理见3。正常情况下,Wang-resin的linker在A处断裂,但是当肽链中含有一些难以脱除的侧链保护基时(如Arg的侧链Pbf,DOTA环的羧基保护基tBu等),就不得不使用更强的切割条件,这时Wang-resin的linker就有可能发生不规则的裂解,在AB处同时断裂,产生正离子1,这种离子特别容容易进攻Trp侧链。使用CTC-resin可以完全规避此副反应,如果一定要使用Wang-resin,可以降低切割温度,缩短切割时间来控制此副反应。

2CTC-resin

多肽固相合成中常用的树脂,对水极为敏感。装载第一个氨基酸时不需要预活化,直接把氨基酸和DIPEA的溶液加入树脂就可以反应,因此可以完全规避Wang-resin装载第一个氨基酸时产生的消旋副反应。同时,由于CTC-resin的linker上的氯原子的临位效应,也能够有效抑制DKP副反应。

CTC-resin的linker不稳定,低浓度TFA就可以使其裂解,因此在合成过程中可能会有部分肽链从树脂脱落导致收率降低,但也正因为这个特性,我们可以用低浓度TFA裂解肽树脂从而得到侧链全保护的多肽片段,用于多肽片段合成法。

CTC-resin

3、Rink amide-resin

最常用的用于制备肽酰胺的树脂,功能基团为氨基。通常我们使用的是氨基被Fmoc保护的Rink amide-resin,装载第一个氨基酸时应先脱除Fmoc,然后进入正常偶联洗涤脱保护的循环。Rink amide-resin的linker比较稳定,需要高浓度TFA裂解,因此也会产生和Wang-resin类似的副反应(见图5)。如果肽链中含有Trp残基,也应注意类似的副反应。

Rink amide-resin

3、Sieber-resin

制备肽酰胺的树脂,价格比较贵。与Rink amide-resin一样,功能基团为氨基。通常我们使用的是氨基被Fmoc保护的Sieber-resin,装载第一个氨基酸时应先脱除Fmoc,然后进入正常偶联洗涤脱保护的循环。不同的是Sieber-resin的linker不如Rink amide-resin的稳定,可以用低浓度TFA裂解肽树脂从而得到侧链全保护的C-端酰胺化的多肽片段。

Sieber-resin

三、我们已经对以上几种树脂进行了概述,下面我把这几种树脂的特性做一个表格供大家参考

1:《化学合成多肽药物药学研究技术指导原则 (征求意见稿)》参考文献:

2:Bodanszky M. Principles of Peptide Synthesis. Berlin: Sringer-Verlag; 1984:158–201.

3:Field GB, Noble RL. Int J Pept Prot Res. 1990;35:161–214.

4:Albericio F, Kneib-Cordonier N, Biancalana S, et al. J Org Chem. 1990;55:3730–3743.

加载中...