新浪财经 股票

中金:国际货币秩序正在加速重构 美元资产不再“安全”

市场资讯 2025.06.18 08:17

中金点睛

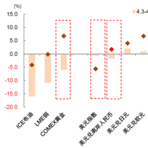
特朗普“对等关税”以来全球资产出现诸多异象。4月2日特朗普宣布对全球加征对等关税后,全球市场走势与以往贸易摩擦期间的规律明显相悖,有两个“异象”尤为突出。第一个异象是传统的避险资产不再安全。与历次贸易摩擦时期的市场反应截然不同,美元在关税政策宣布后明显贬值,并且作为避险资产的美债也下跌。传统被视作安全资产的美债、美元不再安全,是本次贸易摩擦中的新现象。第二个异象是美债和其它资产的相关性逆转。作为全球资产定价的基础,过去当美国利率上升时,通常会压制黄金、人民币、港股和欧洲股市的表现,但近期这些资产反而表现不错。4月3日至6月13日期间,黄金大幅上涨7.6%,并且过去3年累计涨幅已实现翻倍,人民币汇率先贬后升,港股恒生指数先跌后涨,累计上涨3%(图表1)。

图表1:对等关税政策以来的资产异象:美债利率上升,但美元贬值,人民币与港股有韧性

注:数据截至2025年6月13日,标红为中国资产资料来源:Wind,中金公司研究部

如何理解这些异象?需要从国际货币秩序重构的视角出发。仅从单一资产视角,很难解释这些资产价格的剧烈调整和定价规律的改变,答案可能藏在更深层的国际货币秩序变革中:当国际货币秩序重构时,格局转换和资金流动的力量要远远大于一时、一市场和一个国家基本面的变化。我们在2024年5月发布的《黄金定价的国际货币体系视角》中首次引入该逻辑,提出黄金上涨与实际利率“脱锚”的背后,是国际货币体系的分裂——信任美元的国家仍然选择美元,所以美元和美元资产仍在上涨,但不信任美元的国家转而寻求黄金作为替代品。本篇报告进一步聚焦国际货币秩序重构的运行规律与驱动因素,探讨其对于全球资产定价的影响与政策启示。

(一)国际货币秩序正在加速重构:美元资产不再“安全”

国际货币秩序重构的本质是什么?现行国际货币体系仍是美元体系,截至2024年,美元在全球储备货币占比接近60%。我们并不认为现行的美元体系要崩塌,国际货币秩序加速重构本质是美元资产的安全性出了问题。从美元当前的国际储备地位的三大支点来看:1)第一是交易媒介和计价单位,截至2024Q2的最新可得数据,美国GDP按照购买力平价占全球15%,但是56%的全球贸易是以美元结算的。美元在贸易中的广泛使用,赋予了美元强大的网络效应,这一优势地位短期内较难颠覆。2)第二是在离岸市场上,美元是重要的融资货币。当前全球离岸融资中美元融资占比在60%左右,存量规模高达16万亿美元。金融危机之前,离岸欧元曾和离岸美元同步迅速扩张,但金融危机之后,离岸美元在短暂下降后恢复增长,美元的融资主导地位得以进一步强化。3)第三是在岸市场上,美元美债一度是最重要的安全资产。过去全球投资者对美国资产一直保持旺盛需求,但我们认为这一点正在加速发生变化。美元资产安全性下降,体现在以下三个方面:

首先是美元资产之间的相关性转正,无法在内部有效地分散风险。一般来说当风险资产下跌的时候,安全资产不应该跟随下跌,这样才能起到避险作用。历史上美股下跌阶段,美债和美元通常趋于上涨,表现出负相关性。但4月以来,美国已经频繁出现股债汇“三杀”。如4月份对等关税宣布之后,美股一度下跌超过12%,10年期美债利率从4%冲高到4.5%以上,美元也明显下跌。美元资产之间的正相关性上升,意味着美元资产内部难以分散风险,美债、美元避险能力明显下降。随着美国长期偿付能力的担忧上升,俄乌冲突后美元“武器化”,这一点转变尤为明显。

► 美元资产不再安全的另一个体现是美元资产的波动性上升,流动性恶化。衡量波动性时,股票市场通常用VIX指数[1],债券市场用MOVE指数[2]。疫情以来美股频繁出现大幅波动,VIX指数的中枢从疫情前的17上升到20附近。美债市场的波动率相比疫情之前也大幅增加,MOVE指数中枢从72上升到100附近(图表2),股票市场的波动率中枢上升程度远远不及债券。波动率上升,对应美债流动性变差。我们以彭博美债流动性指数来衡量美国国债市场的流动性状况(图表3)。该指数衡量美债收益率相对公允价值的偏离程度,当市场流动性偏低时,美债收益率更容易持续偏离模型计算的公允价值,让美债流动性指数上行。该指数在2020年3月疫情爆发时一度冲高至3.1,随后震荡上行,最终在2024年8月创金融危机后的最高值5.3,目前回落至3附近,接近疫情爆发时的极端水平,反映美债市场流动性明显恶化。美债市场流动性下降, 既受宏观基本面因素影响,也反映微观交易层面变化。宏观视角看,疫情之后美国宏观波动性明显增大,货币政策大开大合,债券波动性大幅提高,美债市场参与者更难管理仓位风险,部分参与者选择降低仓位或退出市场,导致美债流动性恶化。微观视角看,美债市场交易高度依赖做市商,但2019年巴塞尔协定III全面落地以来,做市商提供流动性的能力和意愿结构性下降。一个典型例子就是巴塞尔协定III的补充杠杆率(Supplemental Leverage Ratio, SLR)目标,要求银行的资本与其杠杆资产保持一定比例。由于美债被全额计入杠杆资产,持有大量美债会增加银行的杠杆资产总额,银行必须增加资本以满足SLR要求,让银行持有和做市美债的资本成本变高,提供流动性的意愿下降。与此同时,疫情后美国财政大幅扩张,公众持有的美债体量相比疫情前极速膨胀70%,从2019年的17万亿美元增至2025年的29万亿美元(截至1Q25),大幅快于交易商资产负债表的扩张速度。面对大体量的美债存量,交易商的做市能力明显不足,放大了美债流动性压力。2020年3月疫情冲击下,全球资产进入避险模式,美债利率却不降反升,出现“只要现金”(“dash for cash”),就是流动性恶化的集中体现。应对美债流动性问题,美国政府也已采取一些措施,例如阶段性放宽SLR要求、设立常备回购工具(Standing Repo Facility)、推出国债回购计划等。这些政策确实起到一定效果,但美债流动性水平仍明显低于疫情前的长期水平。

图表2:美股美债波动性大幅上升

资料来源:Bloomberg,中金公司研究部

图表3:美债流动性明显下降

资料来源:Bloomberg,中金公司研究部

► 美元资产的安全溢价明显缩水。美国国债除了提供常规的利息收益,还具有重要的非货币性收益,即“便利收益”(convenience yield)。这种特殊价值既源于美债具有极高的市场流动性,能够随时快速变现;同时,美债被广泛接受为优质抵押品,使美债发行利率比一般债券更低,压低了美国的负债成本,因而美债享有一定的便利溢价[3]。便利收益无法直接观察,文献和实践中常用美债收益率与等期限的AAA级公司债利率、SWAP利率之间的利差来度量(Szoke et al., 2024; Krishnamurthy & Vissing-Jorgensen, 2012; Schnabel, 2025; Du et al., 2023)。Obstfeld和Zhou(2023)将同期限美债收益率与经远期外汇合约套保后的外币国债收益率作差(Treasury basis,国债基差),也是评估便利收益的有效方法。我们观察到,用以上三种方法测算的美债便利收益(图表4)在疫情后都呈现下降趋势,其中,美国AAA公司债与国债利差自2020年高点超250bp收窄至100bp左右,SWAP与国债利差、国债基差更是下降至历史低位。

图表4:美债安全溢价缩水:不同方式测算的美债便利收益率度量指标均显示下降趋势

注:1)参考文献Szoke等(2024)、 Krishnamurthy和Vissing-Jorgensen(2012)、 Du等(2023)、Schnabel(2024)、Obstfeld和Zhou(2023)。2)右图Treasury Basis为3个月期美债利率相对于8种外币( CAD, CHF, DKK, EUR, GBP, JPY, NOK 和 SEK )CIP条件的差值的均值,即其中,  和分别为3个月外币国债和美债收益率, 和分别为即期和3月期远期汇率。3)图中均为10日均值线。

资料来源:Bloomberg,中金公司研究部

美债安全性下降,最终导致的结果是安全资产的需求发生变化。美债利率抬升,同时美元还在贬值,通常被视作“新兴市场化”的标志。当美债的安全性下降,资金流动会发生很大的结构性变化。2014-2019年,海外投资者持有美债的市值稳定在6万亿美元,占可交易美债存量的比重从50%大幅下降至32%。疫情之后,虽然海外投资者持有美债的市值上升至9万亿美元,但占可交易美债存量的比重并未抬升,仍稳定在34%(图表5)。同时,全球投资者开始热烈追逐黄金。2022年起,全球央行大幅增持黄金,年购金量从疫情前十年的不足500吨翻倍至超过1000吨,达到过去50年最高水平。增持黄金的主体是中国、印度、土耳其等新兴国家,也包括德国、法国等欧盟国家(图表6)。与此同时,美元在全球央行外汇储备占比同步下降,反映安全资产需求改变。

图表5:外国投资者持有的可交易美债占存量比例下降至34%

资料来源:Bloomberg,中金公司研究部

图表6:近十年来印度和中国是瑞士黄金的主要进口国,占比达到50%以上

资料来源:Bloomberg,中金公司研究部

(二)国际货币秩序加速重构的原因:经济因素、地缘因素和政策因素

历史上美元也曾出现多轮战略性、持续性贬值,但不意味着美元会丢失储备货币地位。例如1970年代布雷顿森林体系解体,2000年后欧元挑战美元地位等,但每次过后美国均能再次巩固甚至强化自身储备货币的地位。然而我们认为本次美元贬值和历史存在明显不同,国际货币体系正在加速重构,有以下几方面原因:

► 美国自身结构性问题显现,国家资产负债表风险上升。特朗普上任以来的一系列行动令市场始料未及,对全球大幅加征关税又取消,给经济运行和企业行为造成较大的不确定性。这些举措对美国经济有周期性损伤,相对优势下降,市场机构对于未来一两年美国经济增长的下调幅度较大。除上述短期变化外,更重要的是美国面临中长期的结构性变化,尽管美国私人部门资产负债表相对健康,但国家资产负债表风险加速扩大。截至4Q24,美国对外净负债(NIIP)高达26.2万亿美元,与GDP比值达88.3%,为有数据以来最高水平(图表7)。美国债台高筑是过去长期财政贸易赤字扩张的结果:过去几年美国经常账户赤字和财政赤字一直在5%以上,疫情前超10%。冰冻三尺非一日之寒,美国国家资产负债表风险正在加大。

图表7:美国对外净负债(NIIP)与GDP比值创新高,对内债务也在历史高位

资料来源:Haver,中金公司研究部

► 除了美国自身结构性问题,更重要的是竞争对手变了,过去是日本和欧洲,这次是中国。中国经济运行展现出相当的韧性:1)AI突破改写科技叙事:中国AI发展加速追赶,斯坦福大学报告显示,2023年底中美大模型在各个维度的差距仍然较大,而截至2024年底中美两国大模型差距接近追平(图表8)。在MMLU(多任务语言理解)、MMMU(多模态理解)、MATH(数学推理)和 HumanEval(代码生成)准确度测试(满分是100%)的差距分别由2023年年底的17.5、13.5、24.3、31.7个百分点缩小至2024年年底的3.9、7.9、1.6和3.7个百分点。年初DeepSeek以低成本、高性能和开源的三大超预期优势,打破了美国AI技术垄断,结合中国市场大、应用场景丰富的有利条件,未来中国AI在应用领域有较大的后发优势。2)制造业韧性:中国制造业拥有超大规模市场、大长全产业链及人才红利等优势,在全球产业链做到了“比我便宜的没我好,比我好的没有我便宜”。以贸易专业化系数[4]衡量贸易比较优势,2010年以来,我们估算的中国低附加值制造业基本保持优势,高附加值制造业的贸易专业化系数平均从0左右提升至0.3(图表9),竞争力逐步增强。2018年中美贸易摩擦以来中国制造企业积极在海外布局产能,并开拓非美经济体需求,对美出口依赖度从2018年19.2%降至2024年14.7%。3)中央政府资产负债表质量更高:从政府部门资产负债表来看,中国政府债务有强大的资产支撑。据IMF估算,2024年中国政府全口径杠杆率达到124%[5]。但中国政府拥有很大规模的资产,最终体现为净资产占GDP比重为91%,而美日两国总负债明显高于总资产,净负债率均高达119%(截至2022年)(图表10)。这反映中国政府债务扩张具有可持续性,具有较大加杠杆的能力和空间。此外,中国债务以内债为主,长期以来经常账户保持顺差,中国持续积累对外净资产,截至2024年中国对外净资产占GDP比重约17%。

图表8:中美AI大模型的水平差距不断收窄

资料来源:2025 AI Index   Report,中金公司研究部

图表9:中国制造业仍处于产业升级的趋势之中,高附加值制造业优势继续提升,低附加值制造业保持优势

资料来源:UN comtrade,中金公司研究部

图表10:中国政府的债务有资产支撑,而美日两国总负债明显高于总资产

注:数据截至2022/12/31

资料来源:中国人民银行,中金公司研究部

► 除了基本面因素,全球地缘因素也面临结构性重估。过去几年全球资金流向深受地缘变局影响,影响程度甚至超越了基本面。俄乌冲突既打击了欧洲,让美元失去竞争对手,又让全球主要经济体阵营化,大量资金流出欧洲。其他经济体面临挑战的同时,美国相对其他经济体吸引力提升,AI革命、大财政吸引资金流入美国。但是,特朗普上任后采取的经济与外交政策组合,市场对于过去的押注重新审视。美国晨间咨询公司(Morning Consult)在全球范围的民调结果显示,2025年初以来全球对美国净好感度[6]从20%断崖式下降至-1.5%,而对中国好感度自2024年9月以来持续上升,在2025年4月关税博弈后反超美国,当前为8.8%,高于美国10个百分点(图表11)。资金流层面,2025年上半年以来,全球资金重新回流日本,以及德国、法国为代表的欧洲市场(图表12)。虽然目前没有看到海外资金回流中国大陆和港股市场,但我们认为地缘叙事变化的背景下,若国内基本面出现积极改善,长钱可能正在路上。

图表11:年初以来中美全球净好感度走势明显背离

注:全球净好感度基于晨间咨询公司(Morning Consult)针对加拿大、法国等全球41个国家的民调数据计算得出,通过计算正面评价受访者的比例与负面评价受访者的比例差值得出结果。

资料来源:Morning   Consult,中金公司研究部

图表12:近期全球外资明显流入日本和欧洲,但尚未流入中国

资料来源:EPFR,中金公司研究部

► 最后是政策层面,特朗普自拆美元体系。特朗普上任以来,其政策主张正在从多个维度主动削弱其在国际货币体系中的责任,甚至表现出拆解既有的美元体系的倾向。对内方面,特朗普推出“大美丽法案”大幅增加美国赤字,同时特朗普多次干预美联储决策,冲击美联储独立性。对外方面,关税政策带来信心冲击和不确定冲击,外交政策损害传统盟友关系。我们认为美国不会放弃美元的储备货币地位,因为储备货币地位给美国带来了诸多好处,在学术文献中,这些利益被概括为“美元霸权”或“嚣张的特权”(Exorbitant Privilege)。但由于美国资产负债表已出现结构性变化,对外净负债比重大幅上升至历史高位,因此美国政府拥有较强动机通过美元贬值实现其他国家对美国的转移支付。这些结构性变化可能对维系美元体系运转所需要的制度基础和信心造成冲击。

综合来看,我们认为本次美元下行周期可能和历史有相当大的不同。虽然不一定会导致美元体系一夜之间坍塌,但是会加速国际货币体系的重构。这种重构会对全球资本流动和资产格局带来显著影响,并且变化发生的速度可能比我们以前想象的更快。

(三)国际货币秩序重构的政策启示

在国际货币秩序重构过程中,人民币或迎来新的历史机遇。当前各国对美元作为储备货币的信心已经发生动摇,如果政策应对得当,将为人民币提供历史机遇。我们认为货币秩序重构背景下,以下两点政策尤为重要:

► 推进人民币国际化:积极有为,顺势而为。当前国际储备货币的三个职能——计价、结算和储值——有所分割,因此让“先有计价交易、后有储值”的循环变得更有可行性。俄乌冲突和特朗普2.0关税政策后,尽管世界贸易经济不稳定性和不确定性有所增加,但是人民币在计价和支付领域也获得更大的机会。为进一步推进人民币国际化,应把握以下机遇:1)重点突破跨境交易结算。跨境贸易结算是弱势货币挑战强势货币的突破口,当前中国贸易本币结算占比26%。依托中国经济体量和贸易规模的优势,未来仍有较大提升空间(vs.欧元区和日本出口本币结算40%左右)。2)发展价值储藏和其他计价单位功能。我国应积极推进人民币在亚洲的区域化,以一带一路为契机拓展人民币国际化新空间。同时应发展完善中国金融市场,推出更多人民币计价产品,构建投融资闭环。3)把握人民币融资成本降低带来的机会。以往人民币国际化的两个逆风因素已发生逆转,一是此前欧美国家利率水平较低,人民币融资成本不具备优势,现在人民币反而是低息货币,可以极大地促进人民币的融资功能。二是人民币币值预期稳定。以往对人民币的持有经常受贬值预期的负面影响,尤其在2018-2020贸易摩擦时期。目前特朗普2.0的无差别关税反而让人民币升值。我国应当抓住企业和产能出海机遇实现人民币跨境输出,再依托中国在机电、新能源设备等领域的制造业优势,推动其他国家使用人民币进行交易结算,基于真实的贸易需求形成人民币的回流闭环。

► 财政发力支持再通胀,增发债券补充安全资产。提高人民币地位和需求,吸引资金流入中国,也需要我国基本面企稳回升,走出低通胀叙事。当前国内处于金融周期下半场,特朗普2.0加剧全球经济不确定性,中国总需求不足仍然突出。政策应对的组合上,应该是财政为主,货币为辅。因为货币政策面临有效性的约束。在流动性偏好比较强、风险情绪比较低的情况下,释放的货币是融资流动性,如果没有总需求,没有最后的借款人(财政),再多的融资流动性都难以转换成市场流动性。与其他国家相比,当前我国中央财政仍然具备扩张空间,中国地方财政支出/GDP从2020年高点31.5%下降至当前25.4%,而中央财政支出/GDP仅维持在3.5%左右,中央财政发力是走出低通胀的关键。在国际货币秩序重构的大背景下,增发国债不仅有利于刺激经济,还能增加国债安全资产供给,便于国际投资者持有,可谓一举两得。

(四)货币秩序重构的资产启示

国际货币秩序重构对投资者来说意味着什么?我们认为本次国际货币体系主要的变化方向是多元化和碎片化,促使全球资金流向再布局,引发资产价格剧烈调整和资产相关性改变。首先,多元化意味着除美元外,投资者会寻找更多的替代品,例如欧元、人民币等。以前投资者集中配置于美国资产,截至2025年4月,全球股票型基金约有54%的资金投资于美国,投资中国和德国股票的仅有2%/3%,资产配置相对各国的经济基础明显不对等(图表13)。随着全球货币体系加速多元化,可能促使对美元资产有大量货币敞口的资金降低美元敞口。其次,碎片化意味着以前在全球范围内的配置型资金转为“各回各家”,欧洲的资金倾向于回到欧洲,亚洲的资金回到亚洲,中国的资金回到中国大陆或香港,表现出更强的本土偏好。

图表13:全球主动股票型资金对美国配置比例偏高,对中、欧资产配置比例偏低

注:美国在MSCI全球指数中的基准占比近60%,或是导致左图中差距较大的部分原因

资料来源:EPFR,中金公司研究部

以史为鉴,自1920年代美元取代英镑成为全球主要储备货币以来的一百年间,国际货币秩序的重构总共出现过两次,分别是1933年罗斯福宣布暂停兑换黄金,以及1970年代布雷顿森林体系解体。这两次国际货币体系变化有一个共同点,第一次30年代美元在外汇储备占比已接近60%,美国退出金本位后下降至20%。70年代旧事重演,美元外汇储备占比由70%回落至50%。这两次货币秩序重构,均伴随着全球资产价格的剧烈、快速调整,体现为美股和美债大幅波动,黄金等大宗商品明显上涨。

图表14:1970年代布雷顿森林体系解体后,美债利率上行,美股疲弱,美元贬值,大类资产波动增大

资料来源:Wind,Haver,中金公司研究部

我们认为本次货币体系重构也不例外。虽然不一定是美元体系的轰然坍塌,但其正在加速多元化和碎片化,导致资金从美国流向其他地方。此时,资金流动和格局转换的力量将占上风,远大于一时一国和一市场的基本面力量,导致旧有的资产定价和资产相关性规律不再适用。接下来,我们将针对各类资产展开讨论。

► 美债:安全资产地位下降,利率中枢可能抬升,全球资产走向“脱锚”。美元储备货币地位下降,美元资产吸引力下降,投资者持有美债就要求一个更高的风险溢价,可能导致美债利率中枢上升(Eichengreen,2011)[7]。结合前述分析,全球投资者对美债的中长期需求已经有所下降。同时,美国还面临着二次通胀与债务失控的风险,美债避险能力下降,也成为美债利率中枢系统性走高的重要因素。因此,虽然美国通胀从2022年中以来快速回落,截至2025年5月名义CPI同比已经降至2.4%以下,但十年期美债利率仍然维持在4%以上,明显高于疫情前中枢2.5%。除了利率中枢抬升之外,不确定性增加也会导致波动率上升,抬升美债期限溢价。如果特朗普坚持对全球加征关税,将会明显增加美国通胀波动。美联储为了维持自身声誉,在通胀波动上升时,就需要增加利率波动。当然,短期来看,美债长端利率在4.5%的水平已经具备一定吸引力,或有投资者战术性做多。但在中长期战略维度,当全球货币体系从美元主导转向加速重构,美债作为安全资产不再“安全”,利率中枢可能结构性上行。同时,全球资产定价失去一个统一可靠的“锚”,会让资产定价难度变大,加剧全球资产波动。参考1970年代布雷顿森林体系解体、美元信誉下降后,美元指数大跌。叠加“滞胀”的环境,美债收益率明显上升,全球资产波动大幅上升,美股估值被大幅压缩,黄金出现了10倍以上的涨幅。美债利率“锚地位”下降,其他国家(欧洲、日本、中国等)的国债地位可能提升,争夺替代美债利率的“锚资产”地位。

► 美股:难以成为新的安全资产,全球资金再平衡+散户化,可能放大美股波动。既然美债的安全资产地位下降,美股是否可能成为新的安全资产?美股理论上属于风险资产,因此投资者持有美股往往相比美债应当要求一个额外的风险溢价。但在过去两年,全球资金明显流向美股,让标普500的股权风险溢价在2025年初一度“消失”(图表15)。在近期关税冲击之后,美股也基本收复全部失地。种种迹象表明,美股似乎成为新的“安全资产”。往前看,这一状态是否能够持续?我们认为比较困难,主要有两个理由。一是国际货币体系加速多元化和碎片化,美元资产风险溢价可能上升,促使全球资金再平衡,降低对美股的风险敞口,对美股形成调整压力。当然,由于美股仍是美国境内投资者主导,外资减持不一定会导致美股大幅下跌。根据SIFMA和世界交易所联合会数据,截至2024年第四季度,外资持有美股比例仅占30%。但美股的“散户化”趋势也可能放大美股波动。美国资产新兴市场化的体现,除了美债利率上升、美元贬值以外,还体现为美股散户化。数据显示美股当前交易量中机构投资者占比从2019年底的高点46%下降至36%,接近于2021年一季度“GameStop”事件时的低点33%。非专业的个人投资者受情绪催化成为推升市场的增量资金,可能放大美股的调整风险(图表16)。如果一旦国际货币体系变局形成流行叙事,散户中容易形成“羊群效应”,放大美股波动。

图表15:美股标普500指数股权风险溢价“消失”

资料来源:Bloomberg,中金公司研究部

图表16:美股出现散户化趋势

资料来源:Bloomberg,中金公司研究部

► 黄金:受益于国际货币体系重构,黄金牛市可能并未结束。俄乌冲突后,国际货币体系加速分裂,信任美元的国家仍然选择美元,不信任美元的国家转而寻求黄金作为替代品,形成“一个黄金,两种定价”(“One gold,two world”)。在旧的货币秩序中,由于实际利率是持有黄金的机会成本,实际利率上升往往伴随黄金价格下跌。但2022年美联储启动激进加息后,美债实际利率大幅上升,而黄金价格不跌反涨,反映货币体系重构导致美债利率的“锚地位”下降,黄金率先与美债利率“脱锚”。美元美债的安全属性下降,安全资产更加稀缺,亚洲央行加速购买黄金,推升黄金中枢趋势上移。往前看,随着国际货币体系加速多元化和碎片化,我们在中长期仍然看好黄金的配置价值。黄金价格自2022年低点以来涨幅为1倍左右,与历史上黄金牛市行情的幅度与时长相比,我们认为当前黄金行情可能演绎仍不充分,或仍处于黄金牛市的初期阶段。

► 人民币资产:迎来历史机遇,价值重估或在路上。新货币秩序下,美债利率对非美市场定价的“锚”作用下降,美债利率走高对人民币资产的压制作用也可能减弱。近期人民币与港股走势已经反映这一新变化。如果政策应对得当,我们认为人民币资产有望受益于全球货币体系加速多元化、碎片化的双重红利:多元化驱动全球资金再平衡。以往超配美股的资金可能减低对美国的风险敞口,转而增配中国股票(图表18),实现风险分散。碎片化加速中国在海外的资金回流。根据美国财政部数据,截至2025年一季度,中国大陆持有美股3400亿美元(图表17)。未来这部分资金可能通过港股通、QFII等渠道回流中国资本市场,港股作为离岸人民币资产有望直接受益。货币秩序重构下的美元周期下行,也为港股提供支持。此外,港股受益于中国基本面韧性、AI产业趋势、估值低和外资明显低配等因素,价值重估可能仍在路上。随着内资对港股的影响力上升,A股和港股相关系数持续上升至历史高位,A-H溢价也处于近5年低位,如果港股价值重估,可能也对A股有外溢效应。

图表17:中国大陆资金持有美股规模约3400亿美元,有潜在的回流空间

资料来源:TIC,中金公司研究部

图表18:海外资金对中资股从超配到明显低配

资料来源:EPFR,中金公司研究部

总结而言,在经济、地缘和政策三方面因素驱动下,国际货币秩序正在加速重构,反映为美元资产的安全性下降,黄金和人民币资产正迎来关键的历史机遇,若政策应对得当,人民币国际地位有望明显提升,人民币资产也将迎来价值重估。

风险提示:美中政策不确定性;货币秩序重构中的巨大市场波动;资产运行历史规律不再适用。

 

加载中...