新浪财经 股票

中金2024年展望 | 全球储能市场:经济性驱动储能装机量高增

市场资讯 2023.12.28 13:21

来源:中金点睛

中金研究

我们认为2024年全球储能需求有望维持高增,区域市场我们看好海外大储与中国工商业储能的高盈利能力与高需求增速,同时在储能高性能、高安全性的技术发展趋势下,我们看好液冷与PACK级消防的加速渗透。

点击小程序查看报告原文

Abstract

摘要

大储、工商储需求高增,户储静待去库结束。总量上,我们预期2024年全球储能出货量超250GWh,同比增长约40%。

► 大储市场:我们预期美国在光伏装机高增、储能并网流程加速下,装机量有望实现同比增长超40%;我们认为中国市场因光伏装机增速预期较低,储能装机同比增长约20%,在电改持续推进、独立储能占比提升下,中国大储运营经济性有望边际改善;欧洲和其他地区受益于能源转型与保障电力系统稳定性需求,我们看好大储需求有望保持50%+高增需求。

► 工商储市场:对于终端工商业企业而言,收益端峰谷价差拉大、两部制电价范围扩大、虚拟电厂逐步成熟增厚收益;成本端我们预期上游原材料持续降价带动储能系统投资成本降低,工商储利润有望持续提升,2024年装机有望达10GWh,同比增长100%+。

► 户储市场:欧洲23年在高电价及补贴政策下终端需求依旧旺盛,但因渠道商库存水平较高,23年持续去库存,我们测算截至1H23欧洲仍有超6GWh户储电池库存,约半年库存水平,我们预计行业去库或将持续至1Q24,此后户储企业出货或与终端装机增速相匹配。

液冷、PACK级消防方案持续渗透,关注压缩空气/液流电池等新技术。随着储能安全性日益重视、大电芯散热要求提升,叠加液冷系统成本下降,我们看好液冷方案实现快速渗透;大储消防逐步从舱级消防迈向PACK级消防,带来单位价值量提升。新技术方面,随技术成熟及成本下降,我们看好压缩空气储能、全钒液流电池、氢储能等新型储能有望在各场景逐步应用。

风险

政策推进不及预期,全球储能需求不及预期,产业链竞争加剧利润率下滑。

Text

正文

大储:欧美需求高增,中国经济性有望边际改善

展望2024年,我们预期2024年全球大储出货量超190GWh,较今年增长超40%。我们看好能源转型下,风光装机占比快速提升,电力现货市场价格震荡加剧,带动表前大储装机量持续增长。我们预期2022年-2027年全球大储出货量实现CAGR约40%,由中国和美国贡献主要增量。

图表1:全球大储出货量预测

资料来源:CNESA,EIA,EASE,Sunwiz,中金公司研究部

中国:市场需求增量可期,看好成本优化后的成长空间

今年大储装机规模高增兑现,招标项目储备丰富,我们看好明年新增装机规模突破50GWh。据CNESA统计,2023年1-11月新型储能新增装机规模为15.1GW/32.9GWh,对比由国家能源局统计的2022年全年新型储能装机规模8.7GW,今年装机规模实现高速增长。三季度以来储能招标量延续高位,9-11月系统&EPC招标规模分别约为18/16/23GWh,其中11月为全年新高,保障企业出货量增长,随着今年下半年招投标项目在明年陆续落地,叠加风光发电量占比提升带动电力系统灵活性调节资源需求,我们看好新型储能作为关键灵活性资源需求空间广阔,明年新增装机规模有望维持高景气度。

图表2:2023年1-11月中国新型储能项目招标量

资料来源:CNESA,中金公司研究部

图表3:2023年1-11月中国新型储能装机规模

资料来源:CNESA,中金公司研究部

碳酸锂价格延续震荡下行趋势,产业链竞争加剧,电芯产能加速出清。上游原材料端,碳酸锂价格今年持续价格大幅回落,储能电芯成本延续下降趋势,同时我们统计电芯产能供过于求,行业的激烈竞争将使得明年电芯价格进一步下探步入0.4元/Wh时代,落后厂商将逐步走向产能出清,头部电池厂稳固占据绝大部分市场份额形成寡头竞争格局。我们认为国内电池和系统厂商盈利能力在价格竞争下仍偏弱,企业加速出海布局以获取增量收益,具备渠道属性的产业链偏下游企业将获得更多利润机会。

图表4:储能单位投资成本

资料来源:BNEF,Wind,中金公司研究部

当前国内独立储能电站经济性仍有待提高。根据中电联发布的《2023年上半年电化学储能电站行业统计数据》,电源侧新能源配储与电网侧独立储能日均利用小时均不足1.5小时(对比用户侧储能约4.5小时),调度运行机制仍待优化。我们以山东独立储能项目为例经测算其经济性。山东独立储能电站收益来源主要包括现货市场峰谷价差、容量补偿、容量租赁三部分收益,目前山东实际峰谷价差套利在0.3元/kWh以内,项目IRR通常低于5%,经济性仍有待提高。

图表5:国内独立储能电站IRR测算及敏感性分析

资料来源:CNESA,北极星储能网,中金公司研究部

下半年电改政策频出台,推进以市场化方式促进新型储能调用,储能运营经济性有望边际性改善。今年9月以来国家能源局发布《电力现货市场基本规则(试行)》[1]、《关于促进新型储能并网和调度运用的通知(征求意见稿)》[2]等相关通知,有序推动储能发展。短期看,我们看好表后侧储能后先一步受益于峰谷价差扩大,表前侧大储运营经济性边际改善;长期看,我们认为随着全国各地区加快电力现货市场建设,山东、山西等试点省份已有条件转入试运行,电力作为商品的市场化定价将更为成熟,电价峰谷波动振幅和频率或将明显提升,储能可充分在短时价格变动调整中体现其时间和空间价值,叠加容量补偿机制等市场化手段有序建立,我们看好新型储能电站运营盈利能力增强。

图表6:2023年上半年电化学储能电站运行情况

注:平均利用率为达到电站平均设计利用小时数的百分比。

资料来源:中电联,中金公司研究部

海外:欧美政策落地提振项目信心,亚非拉市场迎高速增长

美国大储并网加速,欧洲项目多点开花

美国市场:FERC改革解决并网积压问题,IRA法案支持独立储能运营

美国大储需求空间广阔,加州和德州占据主导。据EIA统计,2023年1-10月美国大储装机约4,558MW,同比增长约21%,其中7月为2023年单月最高,8-10月环比增速放缓,分地区看,加州和德州地区分别贡献44%和24%新增装机量;向前看,目前2023年11月至2024年一季度合计有超3,100MW项目处于建设程度大于50%或已经完工等待并网阶段,地区分布上仍以加州和德州为主,我们认为具备较好大型光伏电站建设条件的美国西部山区(内华达州等)和电力系统建设完善的东部沿海地区(纽约州)等或成为新的增量点。

图表7:2023年美国电池储能已并网项目区域分布

注:时间截至2023年10月。

资料来源:EIA,中金公司研究部

加州弃风弃光情况加剧,有望持续推动储能需求高增。根据EIA统计,自2019年以来,由于加州光伏新增发电量发展速度超过电网输电能力升级速度,输电线路拥堵,导致加州地区弃光现象加剧。2022年,加州独立系统运营商(CAISO)弃风弃光量达240万MWh,相较2021年增加63%,而截至2023年9月,CAISO弃风弃光量已经超230万MWh,其中多为光伏。电化学储能作为关键的灵活性资源是缓解电网消纳压力的重要手段,加州目前是美国电池储能最主要的市场之一,根据EIA数据,加州目前有超2GW项目等待于2024年前上线,我们看好高弃电率推动储能需求高增。

图表8:CAISO月度弃风弃光量(2015年1月-2023年7月)

资料来源:EIA,中金公司研究部

加州独立储能电站运营经济性可达20%以上,储能资产盈利性较高。加州地区日内电价振幅较大,据我们统计,2023年1-11月平均日内峰谷价差可达148美元/MWh。我们以50MW/200MWh储能电站为例进行经济敏感性分析,当日内峰谷价差为150美元/MWh,年运行次数为300次/年时,电站IRR可超21%,我们认为风光发电量提升有望持续拉大电价,带动储能电站盈利性增强。

图表9:美国加州独立储能电站IRR测算及敏感性分析

资料来源:Wood Mackenzie,LCG,中金公司研究部

政策端,FERC推出改革措施简化并网程序,项目并网节奏有望加快。当前美国并网积压问题较为突出,主要系并网手续流程复杂,并网成本高,电网设施老旧等原因,叠加贷款利率上行和供应链偏紧影响项目开发进度,大量项目今年出现并网延期情况。据美国劳伦斯伯克利国家实验室(LBNL)统计[3],2022年年底有超600GW储能项目处于并网等候队伍,其中光储项目占比超50%。美国联邦能源管理委员会(FERC)于7月针对并网程序提出新规并于11月正式生效[4],包括设定电网研究期限并引入未能按时完成的处罚机制,要求对同一领域的项目进行集体评估,简化并网流程中的行政手续等措施,推动项目并网加速,我们看好电池储能作为并网研究时长相对较短的新能源机组在政策正式生效后加速项目放量。向前看,美国大储项目量储备丰富,IRA补贴细则落地刺激需求,我们看好2024年项目有序放量。继2022年8月美国IRA法案正式落地后,2023年涉及光储的补贴实施细则又进一步明确,我们认为今年大储装机增速偏弱并不代表着需求减弱,随着政策有效落地提振业主信心,大型项目动工有望加速,并网排队项目陆续释放。

图表10:电池储能并网研究时间低于其他发电机组

资料来源:Queued Up: Status and Drivers of Generator Interconnection Backlogs (LBNL,2023),中金公司研究部

欧洲市场:能源转型趋势明确,新市场多点开花

英国引领大储装机,意大利平均时长更长。据我们通过北极星储能网和Energy Storage News等平台追踪统计的数据,目前新增储能项目仍以英国、意大利以及德国为主,其中英国引领欧洲大储市场,项目储备丰富,英国国家电网近期宣布,计划将19个电化学储能项目(规模合计10GW)并网时间平均提前于原先协议时间四年[5],推动项目加速。英国大储项目时长多以1-2小时为主,而意大利大储新增项目时长多处于4-6小时区间,例如2023年11月Pacific Green公布的5个BESS项目资产,合计规模500MW/2,800MWh。我们认为储能时长偏好的差异来源于当前英国和意大利储能项目收入来源的差异,英国短时储能参与频率响应获取受益,而意大利当前能量时移为其主要来源。

图表11:2023年欧洲新增规划/在建项目分布(按功率)

注:截至2023年11月底

资料来源:Energy Storage News,中金公司研究部

多个新市场在补贴鼓励下开启项目规划建设。除英国、意大利和德国等主要市场外,比利时、瑞典、西班牙、希腊等国家在政策支持下有新项目在今年投入规划/在建阶段,根据项目规划,我们预计这些项目将在2024-2026年陆续并网。欧盟近两年对多个国家地区发布储能资金补助。例如,今年欧盟委员会为匈牙利批准11亿欧元资助计划,以支持该国在大型储能项目方面的部署[6],并规定这些储能项目必须在合同签署后36个月内建成并投入运营。其他使用欧盟资金部署储能系统的国家也包括罗马尼亚、克罗地亚、奥地利等,我们看好政策补贴刺激新市场项目起量。

图表12:欧洲近两年公布的储能补贴

资料来源:BNEF,中金公司研究部

负电价现象频率增多,日内电价震荡趋势强烈,利好大储经济性。由于欧洲地区当前光伏装机量及发电量高增,而工业下行压力下用电需求低迷,叠加储能调峰能力不足,今年欧洲各地区频频出现电力价格跌入负值区间的情况,负电价多出现于中午光伏出力较大时段。截至2023年11月,荷兰已出现超270小时负电价,超过2020-2022年全年负电价小时数。德国在2023年第22周(5月29日-6月4日)于周一、周三、周六、周日均触达负电价,日内连续电价最低达到近-150欧元/MWh,日内最大峰谷价差接近200欧元/MWh,我们看好储能资产充分受益于高电价差,盈利能力增强。

图表13:荷兰每年累计负电价出现小时数

注:2023年选取时间至11月25日

资料来源:Entso-E Transparency Platform,中金公司研究部

“一带一路”国家风光资源丰富,储能需求高景气

地理环境造就亚非拉地区丰富的风光资源,近年风光装机持续增长。东南亚、非洲、南美洲国家分布在赤道两侧,具备较为充足的光照条件,并且部分沿海岛屿国家拥有良好的风能资源,丰富的风光资源为这些亚非拉国家打造建设风电、光伏电站的天然优势与持续发展的潜力,根据IRENA数据,2019-2022年非洲光伏与风电装机CAGR分别为9.63%/11.61%,南美洲分别为56.50%/17.37%,东南亚国家分别为36.16%/52.18%,近年风光装机实现快速增长。

图表14:部分国家2011-2030年风电和光伏发电量占比及预期

资料来源:BNEF,中金公司研究部

电网基础设施薄弱带来稳定保障电力系统稳定性的储能需求。部分“一带一路”国家受制于经济发展水平等因素,存在电网覆盖率低、停电次数多现象。在世界银行2020年统计的149个“一带一路”国家中,仍有56个国家无电人口超过全国总人口的10%,其中主要来自非洲和亚洲地区。无电人口多聚集于非洲,在统计的52个“一带一路”非洲国家中,73%的国家电网覆盖人口不足70%。以南非为例,2020年电网覆盖人口仍不足85%,2022年超过200天大范围停电。在部分东南亚地区,我们认为分布式发电+储能比传统煤电和气电更加适用于电网欠发达区域市场,看好2024年储能需求高增。

图表15:各地区一带一路国家电网覆盖率均值

资料来源:World Bank,中金公司研究部

2023年以来,我们统计亚非拉地区(不含中日韩)新增共超9GW大型储能项目正在规划/在建阶段。其中,智利新增项目4.5GW,为增量最多的国家。2023年4月,南非发布总规模为513MW/2,052MWh的BESS招标书;2023年8月,摩洛哥启动400MWh光伏配储能项目招标;2023年11月,Grenergy公布正在智利建设一个4.1GWh的BESS项目,为当前全球规模最大[7]。各国均推进建设大型表前储能项目以配套风光装机量增长,保障电网稳定性与可靠性。

图表16:亚非拉国家部分规划/在建大型储能项目

资料来源:Energy Storage News,中金公司研究部

海外批发市场电价情况

海外高比例VRE发电占比催动电价震荡,储能资产盈利性增强。德国/美国加州/澳大利亚SA地区2023年1-11月平均峰谷价差分别为117欧元/148美元/417澳元/MWh(折合人民币约0.89/1.05/1.96元/度)。我们观察到极端电价的发生频次与波动性可再生能源(VRE)发电占比呈现正相关,同时极端天气现象也会导致极端电价的发生。德国方面,日内电价单日内呈现双峰谷,与VRE发电占比大致呈负相关关系;美国加州7月受到夏季高温天气影响,极端高电价频次增多,9-11月入秋后电价振幅缩窄;澳大利亚南澳地区VRE发电占比高,其中1H23风光发电量合计占比约73%,极端电价相对发生次数最多,最高可达16,600澳元/MWh,最低可达-999澳元/MWh。

图表17:海外主要地区日内峰谷价差情况(2023年1月-11月)

资料来源:AEMO, Fraunhofer ISE, LCG, 中金公司研究部

工商业储能:成本下降收益增厚,享受量利齐升

工商业运营享受量利齐升

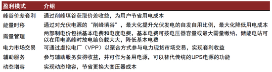
工商储盈利模式多元,主要可包括:峰谷价差套利、节省基本电费、参与电力现货市场、参与辅助服务市场、实现动态扩容(节省变压器成本)。

图表18:工商业储能盈利模式

资料来源:储能日参公众号,中金公司研究部

分时电价政策推进,各省市扩大峰谷价差。2021年7月,国家发改委发布《关于进一步完善分时电价机制的通知》[8],提出:“上年或当年预计最大系统峰谷差率超过40%的地方,峰谷电价价差原则上不低于4:1;其他地方原则上不低于3:1。结合实际情况在峰谷电价的基础上推行尖峰电价机制,尖峰电价在峰段电价基础上上浮比例原则上不低于20%。”随后,广东、江西、河南、山东、北京等各地方政府均推出政策拉大工商业峰谷价差。2023年10月,有18个省份或地区峰谷价差超过0.7元/kWh,其中广东最高达1.3184元/kWh。

图表19:2023年10月各地区峰谷价差情况

资料来源:各省市电力公司官网,北极星储能网,中金公司研究部

工商业峰谷价差达0.7元/kWh时,一充一放情况下IRR可达6%。我们以0.5MW/1MWh的工商业储能项目为例,假设总投资成本为135万元,系统循环效率90%,充放电深度90%、全年运行330天。则我们测算当峰谷价差在0.7元/kWh时,工商业储能(一充一放)项目IRR可达约6.0%,基本可满足终端业主收益率要求。若峰谷价差提升至1元/kWh、投资成本下降至1.2元/Wh,则项目IRR可超14%。

图表20:工商业储能假设及收益率测算(一充一放)

注:不考虑贷款资料来源:广东电网官网,派能科技公司公告,中金公司研究部

图表21:工商业储能不同投资成本的收益率敏感性测算

资料来源:广东电网官网,派能科技公司公告,中金公司研究部

对于终端工商业企业而言,收益端峰谷价差拉大、两部制电价范围扩大、虚拟电厂逐步成熟增厚收益;成本端我们预期上游原材料持续降价带动储能系统投资成本降低,工商储利润有望持续提升。

从投资模式看,工商业储能主要可分为三种投资模式。

► 业主自投资:工商业业主自行投资建设储能系统,主要通过峰谷价差节省用电电费。

► 合同能源管理(EMC):由第三方投资方进行设备投资与资产持有,与用电企业签订能源服务合同,分享储能收益,通常用电企业的分成比例在10%-20%。该模式下,工商业业主只需提供土地即可,相较自投模式风险较低,目前为行业内主流的投资模式。

► 融资租赁:工商业企业想投资于储能电站但受限于资金不足,可引入融资租赁公司采购储能设备,业主方向其支付租金,到期后业主可获得储能设备的所有权。

图表22:工商业储能投资模式

资料来源:江苏省储能行业协会,中金公司研究部

对于工商业储能运营环节而言,我们认为,工商储运营环节下游客户分散、且具备较强的区域属性,竞争格局较为分散,可关注部分具备渠道优势的企业,通过自身积累的客户资源开拓工商业储能的新需求,同时享受工商储运营量利齐升的机遇。

光储充检带来工商储新需求

“光储充检”集光伏发电、储能系统、快充桩及动力电池检测系统等于一体。其工作原理是利用光伏发电,余电由储能设备存储,共同承担供电充电任务,同时配套电池检测、车辆保养维修一站式服务。在用电高峰时,光储充一体化电站可向电网供电;而在用电低谷时,则给自身或电动汽车充电,起到削峰填谷的作用。其应用场景多样,包括高速公路服务区、社区充电站、机场、大型停车场、公交车站、出租车场等。

光储充检一体站优势众多,叠加政策催化,光储充检一体化成为运营端未来趋势。光储充检一体站具备经济高效、灵活便捷、安全稳定等优势。1)收益方面,光储充检一体站具备峰谷套差、提升绿电使用率、需求侧响应等获利模式,拓展充电运营商盈利空间;2)效率方面,一体站通过精确配置实现智能分配供电,减少充电桩运行损耗;3)安全性方面,通过储能系统的配置,能够缓解快充桩用电对电网的冲击,避免瞬时负荷变化造成局部电力设备过载而引发风险,同时电网与储能互为辅助,保障充电质量。2023年11月22日,国家能源局发布《关于促进新型储能并网和调度运用的通知(征求意见稿)》,提出积极支持新能源+储能、聚合储能、光储充一体化等模式发展。国家政策和地方政策共同催化下,我们认为“储能+快充”的模式将得到快速推广,光储充检一体站将迎来加速应用。

图表23:光储充检一体化系统组成

资料来源:弘正储能官网,中金公司研究部

在光储充检一体站中,我们认为储能系统可以发挥提升运营收益、增强供电可靠性、助力节能减排等作用,有望带来工商业储能新需求。

► 降低用电成本:储能系统可以在用电需求低时充电,而在用电需求变高时放电,实现用电负荷的“移峰”,从而降低容量电费。

► 提升运营收益:在实施峰谷电价的电力市场中,在非峰值负荷时间电价对储能系统充电,而在峰值负荷时段电价进行放电,实现峰谷套利。

► 增强供电可靠性:当电网偶发停电时,储能系统可以作为后备电源为用户持续供电,有助于减少突然停电给充电基础设施的运营造成的不利影响。

► 助力节能减排:储能系统将非峰值时段的低碳排放电能转移到峰值时段使用,从而减少对高排放能源的消耗,有利于节能减排。

我们预期在终端收益率大幅提升下,中国工商储装机有望迎来持续高增需求,我们预期2024年工商储装机有望达10GWh,同比增长超100%。

图表24:中国工商业储能装机量

资料来源:GGII,CNESA,中金公司研究部

户储:终端需求依旧旺盛,静待欧洲去库周期结束

目前天然气价格、居民电价回落,但仍然维持历史高位。2021年欧洲天然气涨价带动居民侧电价大幅上涨,户储经济性大幅提升,目前欧洲天然气价格回落带动户用侧电价回落,但相比于2021年前仍处于历史高位水平。

图表25:欧洲天然气价格及居民侧电价

资料来源:HEPI,中金公司研究部

户用光储系统目前经济性仍然较高。我们以德国为例测算欧洲户用光储系统地回本周期:仅安装光伏系统投资的回收期约6.7年,光伏+储能系统投资回收期约6.8年,光储系统中添加额外的储能的投资回收期约7.1年,户用光伏及储能系统仍然具备一定经济性。

23年户储经济性优异、叠加22年安装工人短缺装机滞后影响,2023年户储装机仍维持高增。欧洲户储安装需电工资质,获取时间通常需一年以上,22年德国电工短缺,部分需求延迟至23年,叠加23年经济性依旧终端新增需求依旧强劲,我们看到23年德国户储月新增装机维持在400MWh+,我们预计德国全年户储新增装机有望接近5GWh,同比增长161%。

图表26:德国户用光储系统回本周期测算

资料来源:Fraunhofer ISE,BDEW,Photovoltaik4all,中金公司研究部

图表27:2023年德国户储装机量持续高增

资料来源:亚琛工业大学,中金公司研究部

23年欧洲户储持续去库存,我们预计去库将持续至1Q24,后有望随行业需求增速而稳步增长,远期看欧洲户储仍具备广阔空间。22年欧洲需求旺盛,渠道商积累众多库存,23年原材料价格下滑、需求增速放缓,渠道商开始去库存,我们测算截至1H23欧洲仍有超6GWh户储电池库存,仍有约半年库存水平,我们预计行业去库或将持续至1Q24,此后户储企业出货或与终端装机增速相匹配。中长期看,我们预期在欧洲碳中和与能源自给驱动下,欧洲户储依旧有望持续增长。

图表28:2023H1欧洲户储电池库存情况(GWh)

资料来源:储能领跑者联盟,中金公司研究部

从全球零售电价看,欧洲及日美澳家庭电价较高,驱动户储装机需求。欧洲电价整体水平处于全球范围内相对较高水平,对用电价格敏感性较高,用户侧配储意愿强。此外澳大利亚、日本、美国等国家居民侧用电电价也处于较高水平,为仅次于欧洲的户储需求市场。智利、巴西、南非等电价均超过中国电价2倍,叠加保障家庭供电稳定性的需求,我们认为高电价有望驱动户储装机。

我们预期2024年全球户储装机量有望达20GWh,同比增长38%,其中欧洲装机量有望达13GWh,同比增长34%。

图表29:全球户储装机量

资料来源:Wood Mackenzie,LCP Delta,EASE,中金公司研究部

储能技术:产品迭代,路径多元

新产品:电芯与系统升级,关注性能与安全

大电芯产品层出不穷

大容量电芯发展趋势明确,招标项目公告中显现对大容量电芯的需求。随着2020年宁德时代率先推出280Ah电芯产品,储能电芯向大容量升级成为近两年技术趋势。大容量电芯具备体积能量密度更高、Pack端零部件使用更少等明显优势,同时因可以使用更少电芯数量实现高容量,降低集成难度,叠加更简单的装配工艺使得整体系统造价大幅降低,提升项目收益。我们观察到中国华电、大唐集团等大型业主方在其框架采购中提出,要求磷酸铁锂电池储能系统电池单体的标称容量≥280Ah,目前280Ah电芯已经成为主要市场应用。

我们认为2024年主流电芯应用有望进一步提升至320Ah。据我们统计,目前已有宁德时代/亿纬锂能/欣旺达等20余家电池厂陆续推出不同规格的300Ah+电芯产品,300Ah+电芯尺寸多和280Ah电芯相同,在能量密度提升下实现更高的电芯容量,有效降低储能系统的成本。具体型号多为314Ah和320Ah,部分厂家在下半年陆续开始实现量产交付,我们看好明年主流应用电芯容量有望实现进一步提升,产品有效平衡“高安全性、高循环次数、高能量密度”的优质头部企业将受益。

电芯容量提升加强对储能安全性的要求,政策驱动PACK级消防方案渗透。据中国科学院院士欧阳明高表示[9],大容量电池如320Ah电池,内部温度可以超过800度,超过了磷酸铁锂正极分解的温度。高容量发展的趋势促使储能产业进一步提升消防安全设计要求。2023年7月,国家标准《电化学储能电站安全规程》[10]开始实施,其中指出“锂离子电池室/舱自动灭火系统的最小保护单元宜为电池模块,每个电池模块可单独配置灭火介质喷头或探火管”,我们认为该政策或驱动储能行业从舱级消防逐步转变向PACK级消防,带来储能消防壁垒和价值量提升。

液冷渗透加速

当前市场上储能温控技术方案主要分为风冷和液冷两类,液冷系统具备更好的散热条件。风冷和液冷各具优势特点。风冷所涉及的冷却结构简单、便于安装、成本较低,目前可以满足功率密度相对较低的项目,但其换热效率低下且无法实现精准控温,相比而言液冷方案采用水、乙醇、制冷剂等冷却液,通过液冷板上均匀分布的导流槽和电芯间接接触,靠近热源、换热效率高、能耗低,我们预计随着储能热管理要求提升,液冷渗透率将快速提升。

图表30:风冷与液冷散热方案对比

资料来源:远景能源公司官网,英维克公司公告,Rao Zhonghao《A review of power battery thermal energy management》(2011),中金公司研究部

全浸没液冷储能系统应运而生。在液冷技术中,冷板式液冷属于间接冷却技术,降温速度相对较慢、降温时长相对不足,而全浸没式液冷储能技术将储能电芯直接浸没于冷却液中,使得电芯和空气、水分等完全隔离,实现电芯的快速、充分、均匀冷却降温,将电芯温度控制在最佳范围内,有效提升电池使用寿命和安全性。目前,易事特、科创储能、南瑞继保等多个公司相继推出浸没式液冷储能系统。2023年3月,南方电网梅州宝湖储能电站投运,其中包含全浸没液冷储能系统15MW/30MWh,为全球首个投入运行的浸没式液冷储能电站。据南网储能介绍[11],该电站散热效率较传统方式提升50%,电池运行温升不超过5摄氏度,不同区域电池温差不超过2摄氏度。当前全浸没式液冷较冷板式液冷成本较高,但由于其安全性高、电芯温度一致性更好、能量密度更高、能耗大幅降低,我们看好全浸没液冷方案有望随成本下降而逐步渗透。

新路线:压缩空气、液流电池等新技术路线齐头并进

当前新型储能技术应用仍呈现锂电路线为主导,多种新型技术百花齐放阶段。1-3Q23国内新增新型储能项目中锂电储能仍占据主流地位,其中磷酸铁锂受益于其相较三元更低的成本与大量产能带来的规模效应,应用范围广泛。同时,我们观察到压缩空气储能、全钒液流电池等多个新型储能技术随着其技术路径更加成熟,逐渐被更多项目开始运用。在今年公示的国家能源局第三批能源领域首台(套)重大技术装备(项目)[12]中有8个新型储能技术入围,我们看好新型储能技术实现关键突破,达到全球领先水平,长期产业化发展信心增强。

长时储能为能源转型发展重要方向,储备容量快速扩张。长时储能技术发展对能源转型的重要性成为各国共识。据BNEF统计,截至2023年9月,长时储能(运行时长可达6小时)在全球范围内已实现1.4GW/8.2GWh并网,但仍然不足3%锂电储能的装机。从储备容量看,全球范围内已有33GW/156GWh长时储能项目正在规划当中,其中中国占比最高,占比超90%。在大部分国家中,压缩空气储能和全钒液流电池技术都是主要应用的技术选择。

图表31:新型长时储能技术对比

资料来源:宋新甫《长时储能技术经济分析及发展路径探讨》(2023),中金公司研究部

压缩空气储能:降本增效趋势明显,规模扩大成为主要方向。

压缩空气储能具备规模大、寿命长、建设周期短等特点,是当前抽水蓄能之外较具可行性的大容量长时间的储能方式。压缩空气储能是一种物理储能方式,主要通过将空气压缩储存到地下储气洞穴(或盐穴、山东、储气罐等),将电能转化为压缩空气势能,后在电力系统需要用电时将压缩空气势能转化为电能输出,其储能容量大、储能周期长,为当前全球范围内主流的长时储能技术之一。据CNESA统计,截至2023年9月底,国内累计已投运压缩空气储能装机规模约200MW,并且据BNEF统计,中国现有超22GW项目尚在储备当中,我们预期大部分项目近两年内将陆续实现并网。

随着技术迭代更新,压缩空气储能电站容量增大,单位投资成本逐步降低,规模效应推动系统效率不断提升。2014年,国内第一个非补燃式压缩空气示范项目芜湖电站装机500KW,单位投资约为60000元/kW,而目前开工项目与签约、可研阶段项目单位投资基本维持在5000-6000元/kW,与大型抽水蓄能电站基本在同一水平。同时,各构成环节(压缩、膨胀发电、换热系统等)的技术更新与工艺水平优化也使得项目系统效率提升。

图表32:单位投资成本呈下行趋势

资料来源:北极星电力网,中国能源网,王富强等《压缩空气储能技术与发展》(2022),中金公司研究部

向前看,当前规划项目正在向大容量、高参数发展,系统造价成本仍具备下降空间。对于以盐穴作为储气方式的压缩空气储能工程,压缩系统、膨胀发电系统、换热储能系统三大环节设备造价占比约45%,由于这三大装备制造尚没有达到规模化量产阶段,存在一定降本空间。同时,技术的进步也为降本带来机会。例如,今年8月,由中储国能公司和中科院联合研发的国际首套300MW先进压缩空气储能系统膨胀机下线,单位成本较目前100MW储能系统降低20%-30%,效率提升了3%-5%。

液流电池:中国全钒液流产业化加速

液流电池因本征安全、循环寿命长而受到青睐。对比锂离子电池将能量储存在电芯之中,液流电池的能量储存是在发电电芯外储液罐中的液态电解质,因此只需增加与能量相关的储液罐和电解质,就可以延长储能时长,且因为电解液为水溶液,液流电池本征安全。按正、负极电解质活性物质擦用的氧化还原电堆不同,液流电池主要分为全钒、铁铬、锌溴等多种体系,其中全钒液流电池目前产业链已经初步形成,项目在中国实现快速扩张。

图表33:部分液流电池材料体系对比

资料来源:BNEF,GGII,中金公司研究部

中国液流电池部署量快速增加,看好未来降本后的成长应用空间。当前液流电池较高的初始成本成为制约其发展的一项因素。根据GGII统计,大连融科在去年11月和今年10月的两个不同全钒液流项目里的中标单价分别为2.65元/Wh和2.193元/Wh,降幅大约17%。在初始成本之外,液流电池寿命可长达20年,所以在全生命周期度电成本上具备更大潜力。目前中国全钒液流电池并网项目还不到1GW,但据BNEF统计,截至2023年8月,中国液流电池的储备项目已经达到5.2GW/18.2GWh,单个项目的规模也在扩大,数个百万千瓦时级项目在进行中。我们看好在技术路径进一步成熟后在初始投资方面形成可观的降本空间,在源端、网侧的独立储能以及工商业的大型集中电站逐渐实现规模化应用。

图表34:中国已投运和储备液流电池项目装机容量

注:数据截至2023年8月

资料来源:BNEF,中金公司研究部

混合技术应用

锂电池混合其他技术路线的项目应用陆续出现,多种新型储能技术互补以适用多元场景诉求。新型储能技术因其特点不同,主要分为容量型和功率型,分别适合应用在不同的场景,例如功率型更适合调频、爬坡、顶峰等高频次应用场景,而容量型多具备长时特点,适用于调峰等电能量时空迁移场景。今年锂电池混合液流电池、锂电池混合压缩空气储能等混合储能项目逐渐显现。例如,2023年8月,国内首个铁铬液流+飞轮+锂电混合储能项目在内蒙古正式投运,铁铬液流电池充放电可达20000次以上,是锂电池的3倍左右,三种形式的混合将为行业发展提供示范案例。长期看,我们认为随着储能应用场景更加多元和多种新型储能技术更加成熟,在经济性与适用性的综合考量下,混合式储能组合应用将会成为发展方向。

图表35:典型储能形式的技术特征与应用适合性

资料来源:严川伟《大规模长时储能与全钒液流电池产业发展》(2022),中金公司研究部

投资策略

我们看好2024年全球储能需求有望保持高增需求,各细分环节仍有较多投资机会。

► 从区域市场看:

我们看好2024年海外大储保持高增需求,同时盈利能力维持高位,中国工商业储能运营环节量利齐升。

► 从技术发展趋势看:

储能安全性提升加速液冷方案渗透,储能电站安全新国标下,大储消防逐步从舱级消防迈向PACK级消防,带来单位价值量提升。

风险提示

政策推进不及预期。当前国内储能市场政策依赖性仍然较强,各地方具体发展情况需要依照后续地方性政策细则落实而定,未来若政策推进力度不足可能对储能电站运营经济性造成直接影响。

全球储能需求不及预期。一方面风光装机持续高增驱动储能等灵活性资源需求,同时各国通过政策补贴、完善市场机制等方式提升储能经济性。若未来光伏风电装机量增长放缓将影响配储需求,同时,若未来储能补贴退坡、储能盈利模式开拓不及预期,储能经济性将受到影响,最终影响全球储能需求量。

产业链竞争加剧利润率下滑。目前储能集成端价格竞争激烈,若未来竞争进一步加剧压缩收益空间,可能影响企业盈利水平。

[1]http://zfxxgk.nea.gov.cn/2023-09/07/c_1310741791.htm

[2]http://zfxxgk.nea.gov.cn/2023-11/20/c_1310751675.htm

[3]https://emp.lbl.gov/queues

[4]https://www.ferc.gov/explainer-interconnection-final-rule

[5]https://www.energy-storage.news/as-uk-grid-connection-delays-bite-national-grid-commits-to-fast-tracking-10gw-of-bess/

[6]https://www.power-technology.com/news/eu-approves-1-2bn-state-aid-energy-storage-hungary/

[7]https://www.energy-storage.news/grenergy-unveils-2023-26-plans-including-worlds-largest-4-1gwh-chile-bess-project/

[8]https://www.ndrc.gov.cn/xwdt/tzgg/202107/t20210729_1292068.html

[9]https://mp.weixin.qq.com/s/EQs8j4Tsg2UHec46ci5NPQ

[10]https://news.bjx.com.cn/html/20230506/1304917.shtml

[11]https://mp.weixin.qq.com/s/-ZEvAMX8lfv2ZSlFJe5LaA

[12]http://zfxxgk.nea.gov.cn/2023-10/24/c_1310747681.htm

Source

文章来源

本文摘自:2023年12月12日已经发布的《全球储能市场2024年展望:经济性驱动储能装机量高增》

曾韬 分析员 SAC 执证编号:S0080518040001 SFC CE Ref:BRQ196

季枫 分析员 SAC 执证编号:S0080523060017

曲昊源 分析员 SAC 执证编号:S0080523060004 SFC CE Ref:BSW232

加载中...