新浪财经 股票

2018年证券承销成绩榜:中信证券、中建投成最大赢家

中国证券网

关注

原标题:2018年证券承销成绩单张榜,中信证券、中信建投成最大赢家

2018年证券公司证券承销业务“成绩单”张榜。综观股票及债券承销情况,中信建投和中信证券无疑是去年最大的赢家。

中国证券业协会(下称“中证协”)今日晚间发布了“2018年证券公司业务数据统计排名情况(证券承销业务)”。2018年度,具备证券承销业务资格的证券公司共有98家,中证协采取专项合并口径(证券公司及其证券类子公司合并计算)对行业数据进行了统计,数据来源为各证券公司报送的机构监管报表数据或交易所数据,并经过各证券公司核对。

此次公布的年度证券承销业务“成绩单”包括了2018年证券公司股票主承销家数及金额排名、债券主承销家数及金额排名,以及各子项目的具体排名情况。

先来看下2018年股债承销总榜:

股票主承销项目数量前五:中信证券、中信建投、国泰君安、华泰证券、海通证券

股票主承销金额排名前五:中信证券、中信建投、国泰君安、中金公司、华泰证券

债券主承销项目数量前五:中信建投、招商证券、中信证券、海通证券、国泰君安

债券主承销金额排名前五:中信建投、中信证券、招商证券、中金公司、国泰君安

中证协统计数据显示,2018年只有55家证券公司的股票承销业务(包括主承销A股、外资股首次公开发行、配股及增发项目)“开了张”,并且呈现出较为明显的两极分化的情况。55家券商中,10家券商全年承做的项目数量超过10个,14家券商去年全年仅承做了1单项目。

从股票主承销项目数量来看,中信证券、中信建投、国泰君安、华泰证券、海通证券分列去年券商股票主承销家数前五位。中信证券、中信建投主承销家数超过30家,分别为33家、31家。

从股票主承销金额来看,中信证券、中信建投、国泰君安、中金公司、华泰证券、国信证券位列前六名,并且主承销金额都超过了200亿元,主承销金额最高的中信证券承销规模达到983.1亿元。

去年有A股IPO主承销收入进账的证券公司只有41家,行业集中度也比较高,无论主承销数量还是金额都向头部券商聚集。

中证协数据显示,去年A股IPO主承销家数超过5个的券商共有7个,中信证券、中信建投分别以11家、10家的数量绝对领先,华泰证券、中金公司、招商证券分别以9家、9家、8家的数量紧随其后。

去年A股IPO主承销金额超过100亿元的券商仅有中金公司、华泰证券、中信建投、中信证券四家,中金公司以378.8亿元的IPO主承销金额遥遥领先。

相对股票承销业务而言,债券承销业务显然为去年的证券公司经营提供了更大的机会。中证协数据显示,2018年共有91家证券公司承做了包括国债、企业债、公司债、可转债、短期融资券、特种金融债等在内的债券发行项目。

中信建投、招商证券、中信证券位居去年债券主承销家数前三甲,承做数量分别为586家、562家、452家,海通证券、国泰君安紧随其后。

从债券主承销金额看,中信建投、中信证券、招商证券、中金公司、国泰君安、海通证券、光大证券的承做金额都超过2000亿元。中信建投、中信证券的债券主承销金额超过6000亿元,遥遥领先于其他券商。

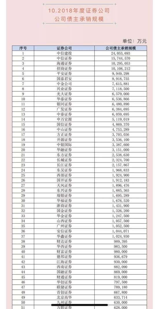
具体来看,2018年公司债主承销家数超过100家的证券公司只有7家,公司债承销业务资源向头部券商集中的趋势比较明显。

中信建投公司债主承销家数最多,达到262个;国泰君安、中信证券排名并列第二,主承销家数为161个。

去年公司债主承销规模居首也是中信建投,它以2405.4亿元的公司债主承销金额稳居排行榜首位。中信证券、海通证券、招商证券的公司债主承销规模也超过了1000亿元,但均未超过1600亿元。

值得注意的是,在承做绿色公司债(包括资产证券化产品)、创新创业公司债方面,部分中小券商正在发力。中证协数据显示,平安证券、天风证券、中泰证券承做绿色公司债家数居于前三位,东吴证券、中金公司、国信证券主承销创新创业公司债数量位于前三甲。

而承做地方政府债仍然是大券商具备绝对优势,中信证券、中信建投、东方证券、国泰君安、申万宏源去年承做地方政府债的实际中标金额超过200亿元,实际中标金额最高的中信证券拿下了448.89亿元的规模。

加载中...