新浪财经 股票

DCF模型告诉你茅台还能翻倍的逻辑

财经自媒体

关注

原标题:DCF模型告诉你茅台还能翻倍的逻辑 来源:花街财说

作者|花无缺

流程编辑 | 花街君(hjcj2021)

商业模式探讨系列已经来到了第五篇,欢迎大家在公众号留言、进群讨论。在此前4篇:商业模式探讨1:战略定位;探讨2:业务系统;探讨3:关键资源能力;探讨4:盈利模式,文章中,我们说到:商业模式就是企业服务客户并赚取利润的模式。因此,可以将商业模式具体细分为六大要素:定位、业务系统、关键资源能力、盈利模式、现金流结构、企业长期增长价值。本篇为系列第5篇,即公司在确定了自身定位、目标市场、目标客户后,通过上下游、合作伙伴搭建基本的业务框架系统,并在该商业系统中找到自己赖以生存的关键能力资源,开始经营赚取利润。

但往往赚取的账面利润,并不一定都能落进股东口袋里,而只有实打实的现金流才是股东能看到的真金白银。所以巴菲特及其拥趸都认为:一家上市公司最终的价值,就是未来所能产生的自由现金流之和的现值。

因此,搞清楚企业的现金流,才能真正搞清楚企业是否真的在赚钱,赚了多少钱,有多少可以分给股东……

是要面子,还是要过日子

花街君记得当初上《会计学》课程的时候,老师做了一个非常形象的比喻:

如果把一个公司看成一个家庭,那么企业的资产负债表,就好像这家人的“底子”;企业的利润表,就好像这家人的“面子”;

企业的现金流量表,就好像这家人的“日子”。

显而易见,账面利润无论多风光,多有面子,如果不是实打实的现金流,那么这家企业的日子恐怕也不好过。

由于公司的资本金和每年赚取的利润,会以各种形式(应收账款及坏账,设备老化折旧及再投入,商誉减值,投资损失等)悄然“流逝”,并不最终都能收入股东囊中。

因此,我们此前讨论的“商业模式就是企业服务客户并赚取利润的模式”,可以改成“商业模式就是企业服务客户并赚取现金流的模式”。

那么,实打实进入股东口袋里的现金流是什么呢?是:

FCFE(FreeCash Flow for Equity),股东自由现金流。

与之相对应的则是公司自有现金流(FCFF),FCFF扣除债权人的部分就是FCFE。

下面我们以茅台为例,来探讨一下在用现金流折现进行估值的过程中,怎么来衡量企业的商业模式。

何为DCF估值?

近几年,茅台的估值水平早已经脱离相对估值法(PE、PS、PB等)的上限,不少投资者在“贵州茅台股价是否高估”的疑问中,错过了茅台的投资机会,甚至是白酒板块的投资机会。

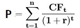
而事实上,相对估值简单易用,但是其并不反映企业的竞争力和未来的预期,仅仅是对以往业绩做相对而言的评估。不少聪明的机构资金都在从更为本质的角度来度量茅台的内在价值。所以DCF估值法,适用于所有现金流可预测的资产估值,无论是股票还是债券。即:

CF为预计未来每期的现金流,r为折现率。实际中DCF估值法建立在各种假设之上,这主要是指每期的现金流CF(cash flow)。

CF,每期的现金流可以有多种类型,包括经营活动现金流净额(CFO)、公司自有现金流(FCFF)、股东自有现金流(FCFE)等。对于上市公司的股东来说,其持有的股票价值,等于FCFE的折现值和,因此我们使用FCFE作为DCF模型中的CF。

r,即折现率,金钱都有时间价值,5年后的100块钱,现在来说肯定不值100,需要有个折现率将其折算成现在的价值,即现值。关于折现率,针对不同公司的现金流的不同程度的确定性,折现率肯定不一样,参考各公司资本(股权和债务)结构,以WACC(资本加权平均成本)的方式找到相对于这家机构合适的折现率。

t和n,t为第t个财报期,即未来预测的每一个财报数据的日期,n即未来所有的期限。按照常识来说,离现在越近的时期,我们预测的越准,越远则准确性越差,因此有不少投资者将模型按照期限分成多段来进行分别预计CF,提升预测的准确性,有两段或者三段,之后接的就是永续经营期。

茅台的DCF估值是多少?

首先。

由于茅台作为酱香白酒生产企业,酱香白酒的酿造工艺为4-5年左右一个周期,加上茅台对于未来五年,即“十四五”,有着三翻番的规划(营收翻番),因此未来五年茅台可供销售的白酒可预期性很强。

此外,茅台中华片区的远期产能规划也具有一定的参考意义,最后茅台还可以通过提高出厂价、提升直销占比、做大系列酒等方面达到一个稳定的长期增长速度。

因此,可以将茅台的模型分为3段,即“2021-2025”、“2026-2030”、“2031-永续”。

其次。

关于茅台的折现率,由于茅台没有债务,而Re(投资者的必要收益率)表示投资者对茅台资产合理要求的最低收益率。理论上投资茅台股权的必要收益率为,无风险利率加风险溢价,保守估计美债收益率达到2%,我国国债收益率目前在3%左右,在这个基础之上加一定的风险溢价,我们可以取5%、7%、9%三档来计算。

不过巴菲特说过一段非常具有洞察力的话:“别担心沃顿商学院所教的风险。风险对我们来说是一个通过/不通过的信号。如果有风险,我们就不会继续。我们不用9%或者10%的折现率来折现未来的现金流。我们用的是美国国债收益率。我们只做我们非常确定的业务。你无法用高的折现率来弥补风险。”

我们为了保守起见,并不直接只用十年期国债到期收益率(当前为3%左右)进行折现,还是使用WACC取5%、7%、9%三档来计算。

再者。

我们分三段来讨论茅台的FCFE。由于茅台没有债务,因此我们不用讨论债权人的利息支出问题,即FCFE(股东自由现金流)=FCFF(公司自由现金流)=CFO(经营活动现金流净额)-CFI(资本支出)。

商业模式思考:在有些行业的利润分配之中,会发现有相当一部分是给金融行业打工了,典型如地产,巨额的有息负债形成了还款利息,部分房企的利息支出甚至超过了自己赚取的利润。

因此,低负债的业务模式,更能反应生意的给股东带来的收益情况,而且全部落在股东口袋里,更稳健。

综合考虑茅台在十四五期间的基酒、产能、提价、规划等,茅台的营收有望实现CAGR达到15%。“2026-2030”的第二阶段业绩,取决于从今年开始的基酒产能情况。2020年基酒基酒产能为7.5万吨,系列酒基酒未来5年可从2.5万吨增到5.6万吨,茅台酒产能可从5万吨增到9万吨(中华片区仍有4万吨产能规划),保守估计收入CAGR约为10%。而第三阶段营收增长仅假设为3%。

此外,过去多年茅台的净利润率在50%上下浮动,随着提价的预期,整体呈上升是大概率事件,但是保守起见,我们假设茅台的净利润率长期保持50%不变。

且茅台基本都是先打款再发货,基本没有资产减值、大量的预付款影响公司的现金流,净现比基本在1左右徘徊。因此我们将CFO取为归母净利润。

商业模式思考:我们更偏向于净现比长期在1左右徘徊的生意,这种说明公司的产品竞争力强,且业务波动不大,可预测性很强。对于账面利润长期明显高于经营活动现金流净额的,需要谨慎对待,因为这会导致利润流进资产负债表这个“不清不楚”的大熔炉之内,能不能最终变成现金流,存在很大的不确定性。

而在固定资产资本支出方面,由于茅台的产能近些年都在稳步提升,预计未来也将维持在这一速度,统计过去十年平均每年的CFI(资本支出)约为26亿元。

商业模式思考:资本市场中,有很多生意是苦哈哈的重资产投入的生意。往往前期需要投入巨量的资本,如汽车、光伏、锂电等,而且这些投入不仅在未来需要更新再投入,还可能面临技术革新而被淘汰的可能。

重资产投入会在每个会计年吞噬大量的经营现金流,而这门生意要想长期做下去,维持甚至扩大相应的重投入资产是必须的,这就导致股东的收益长期很难有可观的表现。

因此,我们更偏向于那些不需要投入很多资本的生意,比如茅台酒的生产并不需要投入太多高精尖的设备,都是一些附加值并不高的传统生产工艺设备。但茅台凭借着这些体量只需26亿左右就可以维持的固定资产,每年创造五百多亿的净利润。投入产出比是很高的。

最后。

通过模型计算,第一阶段的预估FCFE如下表所示:

第二阶段如下所示:

第三阶段的永续增长模型,为戈登永续增长模型:

则茅台在2030年的价值为V=D0(1+g)/(r-g)=D1/(r-g)。若WACC=5%,则Vt=8.02万亿;若WACC=7%,则Vt=4.01万亿;若WACC=9%,则Vt=2.67万亿。

最后,综合三个阶段的假设,我们将r分为三档,进行估值,最终结果如下:

可见这个模型在告诉投资茅台的投资者,折现率对于茅台的估值影响确实非常大,这就是DCF的“问题”之一,所以需要找到一个合适且保守的折现率。但是就目前全球的利率水平,以及茅台的确定性,7%的折现率并不算非常低。美国国债收益率长期低于2%,2.7万亿的市值长期看并不算高。

需要强调的是,由于DCF估值法前提假设条件多,参数条件敏感等原因,以上仅为花街君课堂探讨,不构成茅台任何估值预测建议。

加载中...