基于标的资产的类期权式对冲策略
期货日报
使用浮动波动率复制期权较固定波动率的对冲效果好
目前国际市场上通常采用的避险工具有两种:期货和期权。期权与期货的最大区别在于,期权的买方拥有选择在到期日执行或放弃合约的权利。而期货合约一旦选择交割,买卖双方均无放弃合约的权利。
由于行权的差异,期货的收益与损失都是无限的,而期权的买方则是收益无限,损失有限。利用期权对现货头寸避险的好处在于,既能够规避价格下跌的风险,也没有放弃价格上涨获得收益的机会。
保护性卖权策略就是一种比较简单的避险策略,即投资者期初购买标的资产的同时,直接购买欧式卖权(看跌期权)的保险策略。由于目前我国期权工具缺位,保护性卖权策略很难实施,不过,通过期权复制的思想可以间接实施该策略。
如何复制期权
动态复制期权,实际上就是用标的资产的线性变化替代期权的非线性变化。也就是说,用期权价格的导数Delta去逼近其价格,但由于标的资产的价格在变化,使得期权价格的导数也在变化,因此这种替代只能维持很短一段时间,需要不断调整标的资产来维持对期权价格的逼近与模拟。
为了平滑价格波动对标的资产模拟期权的影响,我们采用根据期权Delta系数建立相应避险头寸的方法。Delta值是衡量标的资产价格变动时,期权价格的变化幅度,用公式表示:Delta=期权价格变化/标的资产价格变化。所谓的Delta,是用以衡量期权标的资产变动时,期权价格改变的百分比。
参考期权Delta系数避险的策略,相当于现货头寸持有人先向自己购买一个虚拟的看跌期权,然后在标的资产上使用Delta中性的避险策略对虚拟卖出期权的头寸进行对冲。例如,投资者持有20手看跌期权空头头寸,每手看跌期权多头头寸的Delta值为-0.4,头寸的Delta为+4,那么投资者可以通过持有4手相应标的资产空头来使整体的Delta值保持为0,从而规避20手看跌期权空头头寸的风险。
根据“Black-Scholes模型”(简称BS模型)公式,期权可以通过Delta策略进行复制,达到完美风险对冲的效果。然而在实际市场环境中,无交易成本、连续对冲是不现实的。在间断对冲的情况下,按照Delta策略构建的投资组合存在对冲误差。调整对冲误差必然会影响到对冲成本。对冲成本是因为有交易成本的存在,Delta对冲的频率与对冲成本成正比。提高对冲频率,虽然理论上对冲效果会更好,但对冲成本会随着对冲频率的提高而加大;降低对冲频率,尽管可以降低对冲成本,但理论上却增加了对冲成本。
现实中,间断对冲模型主要有固定时点对冲模型和区间对冲模型两种,具体如下:
固定时点对冲模型,即每过一固定时段,重新计算期权的Delta值,进而对期权的对冲比率进行调整。固定时点对冲模型因简单易懂、易操作性,在实务中应用较广,具体有如下两种模型:
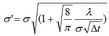
Leand模型。1985年Leand给出了在考虑交易成本条件下的对冲模型。该模型是在传统BS模型中,将波动率的计算公式加入一个调整因子,该调整因子与交易成本成正比。

其中,λ为按照交易金额计量的交易成本系数, Δt为对冲的时间间隔,以此调整后的
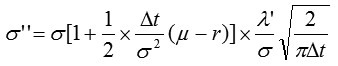
Wilmott模型。Wilmott发现在考虑了交易成本后,因不能连续对冲而产生新的风险。为此,他将BS模型中的波动率修改为:

其中,
区间对冲模型,即实时计算期权的Delta值,如果Delta值在可容忍的对冲区间(±Δδ)内,则不进行Delta对冲;如果δ值超出了可容忍的对冲区间,则进行Delta对冲。对冲比率有两种:一是一次性将δ值对冲到0;二是采用最小对冲比率,将δ值对冲到容忍区间的边界(±Δδ)。Whalley&Wilmott采用后者,得出区间对冲区间的计算公式:

其中,
为期权价值对δ的敏感性, h是对冲主体的风险偏好系数。
期权复制的理论依据
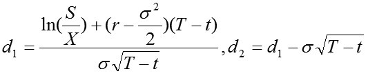
期权复制的理论依据需要从BS定价公式讲起,下面是无息标的资产的看涨期权与看跌期权的理论价格:

其中S为标的资产价格,X为交割价格,r为无风险利率,T为到期时间,σ是波动率,C是看涨期权,P是看跌期权。

如果用几何布朗运动来描述标的资产价格的变动,可得出:

其中,St 是标的资产价格,μ是标的资产的期望收益率,σ是标的资产的波动率,Wt是Wiener过程,是一个随机过程。
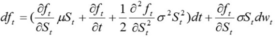
基于标的资产St 的衍生品的价格为ft ,那么,其价格变动可以表示为:

在以上两个等式中,只有Wiener过程是随机项,那么在市场无套利的假设下,可以构建一个瞬时无风险交易组合Π来消除随机项:

其中
,是衍生品价格相对于标的资产价格的一阶导数。这样的组合不含随机项,也就是说它是无风险的。那么,根据市场无套利假设,这样的证券组合必须与其他短期无风险证券具有相同的瞬时收益率,也就是无风险收益率。
通过对上面组合头寸的变性,可以构造这样一个组合,即由一个股票的多头头寸与一部分现金流的空头构成:

并且,二者在任意一个时间点的价值之和都刚好等于一份看涨期权的价值。换言之,可以通过部分标的资产的头寸,以及一部分现金流来复制看跌期权。
影响复制成本的因素
复制的实际效果取决于复制成本和复制精度,本文主要讨论影响期权复制成本的几个因素:调仓频率、交易成本、Gamma、波动率、基差,以及对期权模拟费用的影响与可以采取的应对方法。
调仓频率。Delta是衡量标的资产价格变动时,期权价格的变化幅度。Gamma衡量标的资产价格变动时,期权Delta值的变化幅度。我们在对冲时一般用日终对冲,然后观察Gamma的变化,如果实值期权Gamma变动很大,那么就加大对冲频率,但成本也会增加。当然,对冲时也可以用现货对冲和期货对冲,二者的成本不一样,用期货对冲,资金占用较少。因此在中长期套保中,动态Delta中性对冲策略的交易成本可能较高,应注意选择触发调整的阈值。我们还可以通过区间对冲模型来调整调仓频率,这样可以大大降低交易成本。
交易成本。备兑期权策略可能需要保证金,应注意预留足够保证金以防范风险。复制期权的成本与理论上的BS公式权利金相近,但由于调仓频率不同、行情形成路径不同等因素,复制期权的最大成本为理论权利金的2倍,最小成本在理论权利金的1/3左右。利用股指期货对股票组合进行避险时,会遇到追缴保证金的问题,当期货价格和现货价格同时上涨时,期货账户因亏损会面临追缴保证金的风险,因此必须预留一部分资金来对期货头寸进行保护,这样就会大大降低资金的利用率。
波动率。波动率是表示股票价格变化快慢的一个指标。就期权来说,波动率包含两个意思:一是标的资产价格的历史波动率;二是隐含在期权价格中的标的资产价格的波动率,这个波动率是投资者对期权存续期内标的资产价格波动的一个预测,所以也叫隐含波动率。
历史波动率是标的资产价格在最近一段时间内价格变化的标准差,即:

其中Pt为t时刻价格,N为样本长度。在实际计算中,N可以取不同的数值,以计算在不同时间区间内的波动率,当然,取值越大,波动率的变化越平缓。
隐含波动率是隐含在期权价格中的标的资产价格的波动率。由于期权价格与隐含波动率直接存在非线性关系,而这种非线性关系主要是由正态分布函数造成的,因此把正态分布函数用多项式近似,就可得到期权价格与隐含波动率直接的线性关系,从而直接求出隐含波动率。Brenner和Subrahmanyam模型(1988),Corrado和Miller模型(1996),Li模型(2005)分别对隐含波动进行了研究。
波动率的变化直接影响期权对冲策略的最终效果,一般而言,期权对冲策略在标的资产价格下降过程中收益率较高。但是,现实中很难提前准确预判波动率,因此有必要讨论波动率可能带来的模拟偏差与相应的解决方法,主要包括以下三方面内容:一是波动率错估的严重性,波动率的估计值偏高或偏低对模拟费用的影响;二是防止波动率错估带来的风险,可以根据波动率的历史值,不断调整数据得到新的波动率;三是计算隐含波动率。
测试波动率高估或低估一定幅度对复制费用带来的影响,发现波动率低估会导致期权复制费用稍微降低,波动率高估会导致期权复制费用稍微增加,然而,无论是高估还是低估,都会很大幅度上增大复制费用的波动,这对复制期权来说非常不利。
为了防止波动率错估的风险,我们选取历史数据收益率的标准差作为波动率时,可以使准确度更高一些。同时,还可以通过Leand模型和Wilmott模型来调整波动率的准确度。在这里,我们还可以使用隐含波动率,最后通过数据测试哪种波动率最好。
基差。以上讨论了几个影响期权复制费用的因素,在复制看涨期权时需要买入标的资产,而复制看跌期权需要卖出标的资产。由于卖出标的资产需要通过融资的方式卖出,不仅融资利率高,而且融资渠道及数量也没保证,因此需要通过期货替代现货复制期权,这样一来,基差就成为很大的一个风险源。负基差对复制看涨期权有利,而正基差对复制看跌期权有利,但不管怎样,近些年基差的变动有很大的随机性,这对复制期权来说风险很大。
不断调整波动率的对冲策略
我们选取沪深300指数作为标的,选择2011年1月4日到2011年9月23日的数据计算其收益率标准差作为波动率,无风险利率设定为3%。选择2011年8月24日到2011年9月23日的实际交易数据,复制期限为20个交易日的看跌期权,Delta每天调整一次。表1是动态复制期权的调整细节,每次再平衡时间点,根据当时的指数计算出期权的Delta(即复制期权所需要持有的指数头寸),累计的借入资金需要付出的利息,以及累计的资金流出,期末,按照指数的持仓量与当前的累计资金净流出计算出模型期权的费用。
由BS公式计算出看跌期权的价格为61.266,根据表1展示的复制看跌期权的流程,计算出看涨期权的模拟价格为66.0624。由此可以看出,复制是有效的。
表1:固定波动率为0.189961复制看跌期权

选取固定区间长度,及时更新数据,计算其收益率标准差作为波动率。我们分别计算出2011年8月24日至2011年9月23日的波动率分别为:0.189961,0.192934,0.192875,0.193826,0.193838,0.19259,0.192509,0.192774,0.194465,0.193759,0.189928,0.190169,0.188026,0.184189,0.183529,0.18377,0.183092,0.183859,0.182775,0.186627,0.189552,0.189658。根据动态波动率复制的看跌期权的价格为65.9307,其准确度比使用固定波动率复制的看跌期权价格的准确度要高。
表2:动态波动率复制看跌期权

以上介绍了复制看跌期权的常用方法,使用沪深300指数的历史数据,分别采用固定波动率和浮动波动率对固定时点Delta对冲策略进行实证,并计算追踪误差检验此策略的有效性,发现使用浮动波动率对冲的效果要好些,这为券商和机构投资者提供了一种可行的动态对冲策略。
版权声明:本网所有内容,凡来源:“期货日报”的所有文字、图片和音视频资料,版权均属期货日报所有,任何媒体、网站或个人未经本网协议授权不得转载、链接、转贴或以其他方式复制发布/发表。已经本网协议授权的媒体、网站,在下载使用时必须注明"稿件来源:期货日报",违者本网将依法追究责任。